• 中国科技期刊卓越行动计划项目资助期刊
  • 中国精品科技期刊
  • 首都科技期刊卓越行动计划
  • EI
  • Scopus
  • CAB Abstracts
  • Global Health
  • 北大核心期刊
  • DOAJ
  • EBSCO
  • 中国核心学术期刊RCCSE A+
  • 中国科技核心期刊CSTPCD
  • JST China
  • FSTA
  • 中国农林核心期刊
  • 中国开放获取期刊数据库COAJ
  • CA
  • WJCI
  • 食品科学与工程领域高质量科技期刊分级目录第一方阵T1
中国精品科技期刊2020
郑明亮,郑诨龙,孟春,等. 海藻酸钠裂解酶酶活测定方法研究J. 食品工业科技,2021,42(7):246−251. doi: 10.13386/j.issn1002-0306.2020050180.
引用本文: 郑明亮,郑诨龙,孟春,等. 海藻酸钠裂解酶酶活测定方法研究J. 食品工业科技,2021,42(7):246−251. doi: 10.13386/j.issn1002-0306.2020050180.
ZHENG Mingliang, ZHENG Hunlong, MENG Chun, et al. Study on the Test of Sodium Alginate Lyase Activity J. Science and Technology of Food Industry, 2021, 42(7): 246−251. (in Chinese with English abstract). doi: 10.13386/j.issn1002-0306.2020050180.
Citation: ZHENG Mingliang, ZHENG Hunlong, MENG Chun, et al. Study on the Test of Sodium Alginate Lyase Activity J. Science and Technology of Food Industry, 2021, 42(7): 246−251. (in Chinese with English abstract). doi: 10.13386/j.issn1002-0306.2020050180.

海藻酸钠裂解酶酶活测定方法研究

Study on the Test of Sodium Alginate Lyase Activity

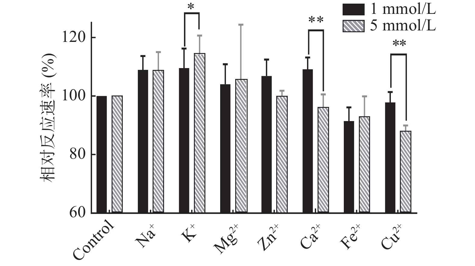
  • 摘要: 应用酶反应动力学原理对海藻酸钠裂解酶酶活测定反应体系和反应条件进行系统研究,以改进海藻酸钠裂解酶的测定方法。本实验采用紫外吸收法测定酶活,改良后的酶活测定方法为:300 μL底物溶液(海藻酸钠2.2%,KCl 5 mmol/L,0.1 mol/L Na2HPO4-NaH2PO4缓冲液,pH7.0)加入50 μL稀释至2.4~30 U/mL的酶液,于37 ℃水浴静置反应20 min后用冰浴终止反应,反应液稀释20倍后在235 nm处测定吸光度。每份底物溶液均需用新枪头移取以提高精密度,使移液误差小于2%。本酶活测定方法的相对标准偏差小于5%。

     

    Abstract: Based on the principle of enzyme reaction kinetics, the reaction system and conditions for the test of enzyme activity of sodium alginate lyase were studied in order to improve the test method of sodium alginate lyase. In this experiment, the enzyme activity was measured by ultraviolet absorption method, and the improved method was as follows: 300 μL of substrate solution (sodium alginate 2.2%, KCl 5 mmol/L, 0.1 mol/L Na2HPO4-NaH2PO4 buffer, pH7.0) and 50 μL of enzyme solution diluted to 2.4~30 U/mL was mixed and reacted in a 37 ℃ water bath for 20 minutes, and then the reaction was terminated with an ice bath. After the reaction solution was diluted 20 times, the absorbance was measured at 235 nm. Each substrate solution need to be removed with a new pipette tip to improve the precision, and the pipette error was less than 2%. The relative standard deviation of this enzyme activity determination method was less than 5%.

     

/

返回文章
返回