• 中国科技期刊卓越行动计划项目资助期刊
  • 中国精品科技期刊
  • EI
  • Scopus
  • CAB Abstracts
  • Global Health
  • 北大核心期刊
  • DOAJ
  • EBSCO
  • 中国核心学术期刊RCCSE A+
  • 中国科技核心期刊CSTPCD
  • JST China
  • FSTA
  • 中国农林核心期刊
  • 中国开放获取期刊数据库COAJ
  • CA
  • WJCI
  • 食品科学与工程领域高质量科技期刊分级目录第一方阵T1
中国精品科技期刊2020
赵旭红,夏彩芬,周紫薇,等. 花青素对牛血清白蛋白的光谱特性及构象的影响[J]. 食品工业科技,2021,42(7):57−62. doi: 10.13386/j.issn1002-0306.2020060126.
引用本文: 赵旭红,夏彩芬,周紫薇,等. 花青素对牛血清白蛋白的光谱特性及构象的影响[J]. 食品工业科技,2021,42(7):57−62. doi: 10.13386/j.issn1002-0306.2020060126.
ZHAO Xuhong, XIA Caifen, ZHOU Ziwei, et al. Effects of Anthocyanins on Spectral Properties and Conformation of Bovine Serum Album[J]. Science and Technology of Food Industry, 2021, 42(7): 57−62. (in Chinese with English abstract). doi: 10.13386/j.issn1002-0306.2020060126.
Citation: ZHAO Xuhong, XIA Caifen, ZHOU Ziwei, et al. Effects of Anthocyanins on Spectral Properties and Conformation of Bovine Serum Album[J]. Science and Technology of Food Industry, 2021, 42(7): 57−62. (in Chinese with English abstract). doi: 10.13386/j.issn1002-0306.2020060126.

花青素对牛血清白蛋白的光谱特性及构象的影响

Effects of Anthocyanins on Spectral Properties and Conformation of Bovine Serum Album

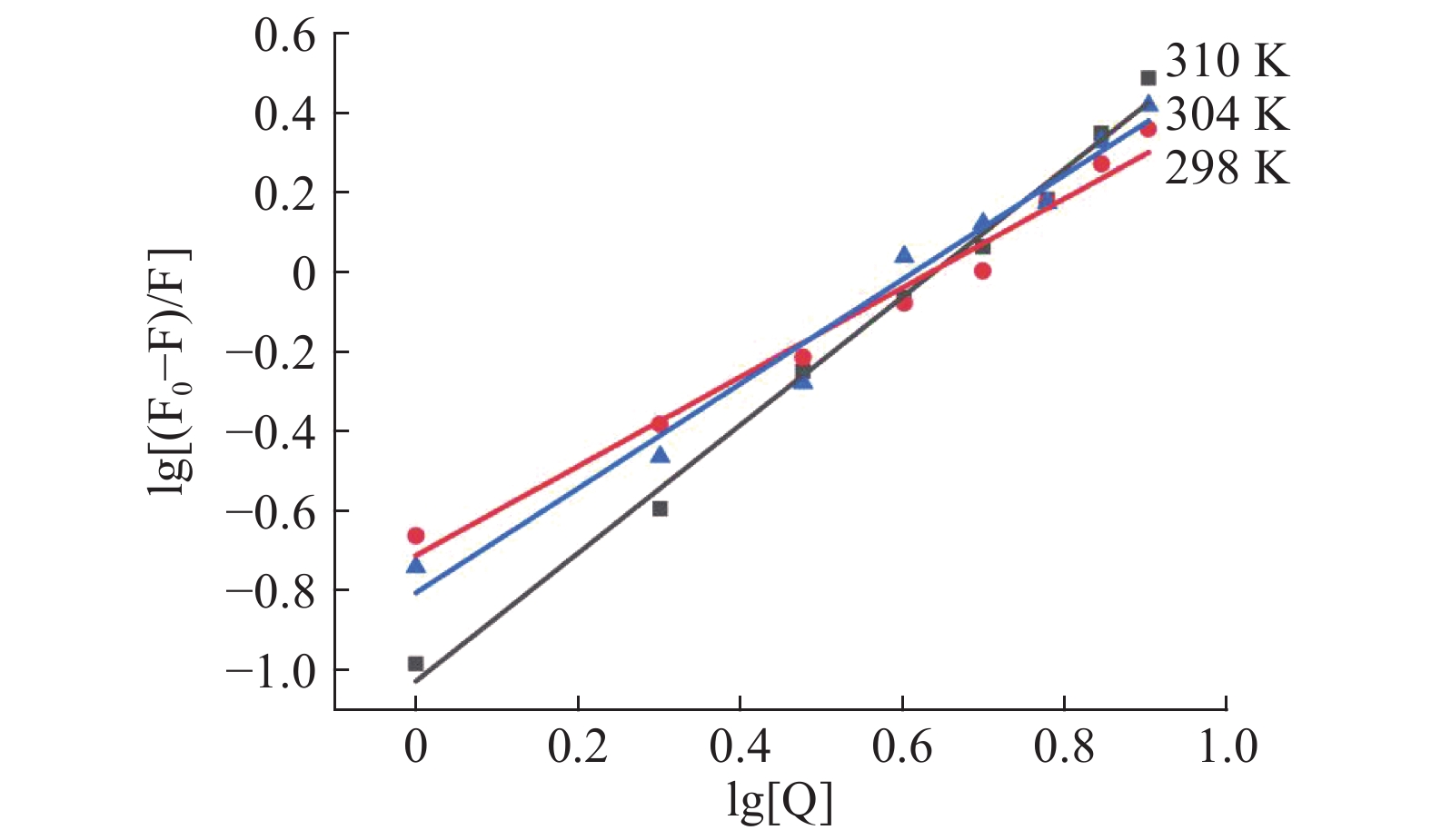
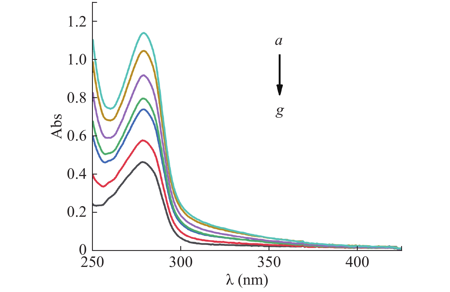
  • 摘要: 为研究模拟生理条件下花青素(ACN)对牛血清白蛋白(BSA)的光谱特性及对BSA功能构象的影响,本文采用荧光光谱法判定ACN对BSA的猝灭方式、结合位点数、结合位点、结合作用力类型以及是否发生非辐射能量转移;利用紫外-可见吸收光谱法、圆二色谱法、傅利叶红外吸收光谱法进一步表征了BSA构象变化。结果表明,在ACN的作用下,BSA内源荧光被有规律的猝灭,猝灭机制主要为形成ACN-BSA复合物的静态猝灭和非辐射能量转移。猝灭过程是自发进行的,结合位点数约为1,结合位点位于BSA亚结构域的site I,并使得BSA二级结构中α-螺旋含量减少了3.1%。ACN对BSA有较强的结合能力,并能使BSA构象发生变化。

     

    Abstract: The effect of spectral properties and conformation of bovine serum album (BSA) by anthocyanin (ACN) was studied under simulated physiological conditions. Fluorescence spectroscopy was used to determine the quenching mode, number of binding sites, binding force type and non - radiative energy transfer between ACN and BSA. And BSA conformational changes were characterized by means of UV-Vis absorption spectrometry, circular dichroism spectroscopy and Fourier infrared absorption spectroscopy.The results showed that BSA endogenous fluorescence was quenched regularly with ACN, and the quenching mechanism was static quenching of ACN-BSA complex and non - radiative energy transfer. The quenching process was spontaneous by hydrophobic force, and the binding-site number was about 1. Furthermore, the binding sites were located in site 1 in the subdomain of BSA, and the α-helix of BSA was reduced by 3.1% in the presence of ACN.The interaction of ACN and BSA is strong, which causes a conformational change of BSA.

     

/

返回文章
返回