• 中国科技期刊卓越行动计划项目资助期刊
  • 中国精品科技期刊
  • 首都科技期刊卓越行动计划
  • EI
  • Scopus
  • CAB Abstracts
  • Global Health
  • 北大核心期刊
  • DOAJ
  • EBSCO
  • 中国核心学术期刊RCCSE A+
  • 中国科技核心期刊CSTPCD
  • JST China
  • FSTA
  • 中国农林核心期刊
  • 中国开放获取期刊数据库COAJ
  • CA
  • WJCI
  • 食品科学与工程领域高质量科技期刊分级目录第一方阵T1
中国精品科技期刊2020
李秀凉,倪庆圆,杨宸,等. 纳豆芽孢杆菌发酵菜用大豆中总黄酮的提取及其降血脂效果评价J. 食品工业科技,2021,42(7):223−230. doi: 10.13386/j.issn1002-0306.2020070003.
引用本文: 李秀凉,倪庆圆,杨宸,等. 纳豆芽孢杆菌发酵菜用大豆中总黄酮的提取及其降血脂效果评价J. 食品工业科技,2021,42(7):223−230. doi: 10.13386/j.issn1002-0306.2020070003.
LI Xiuliang, NI Qingyuan, YANG Chen, et al. Extraction of Total Flavonoids in Vegetable Soybean Fermented by Bacillus natto and Evaluation of Its Effect on Hypolipidemic EffectJ. Science and Technology of Food Industry, 2021, 42(7): 223−230. (in Chinese with English abstract). doi: 10.13386/j.issn1002-0306.2020070003.
Citation: LI Xiuliang, NI Qingyuan, YANG Chen, et al. Extraction of Total Flavonoids in Vegetable Soybean Fermented by Bacillus natto and Evaluation of Its Effect on Hypolipidemic EffectJ. Science and Technology of Food Industry, 2021, 42(7): 223−230. (in Chinese with English abstract). doi: 10.13386/j.issn1002-0306.2020070003.

纳豆芽孢杆菌发酵菜用大豆中总黄酮的提取及其降血脂效果评价

Extraction of Total Flavonoids in Vegetable Soybean Fermented by Bacillus natto and Evaluation of Its Effect on Hypolipidemic Effect

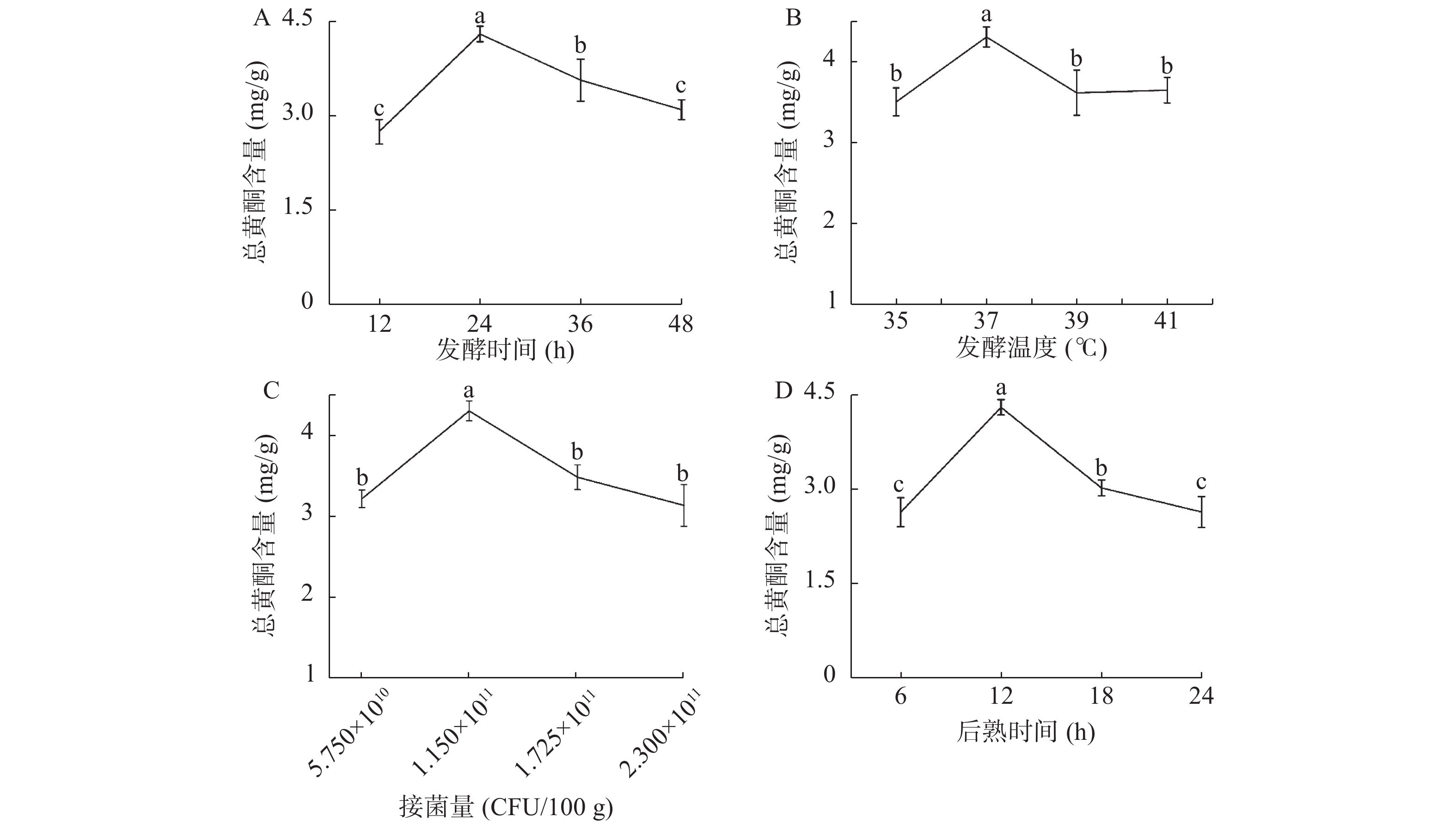
  • 摘要: 本研究以菜用大豆等外品为原料,通过纳豆枯草芽孢杆菌发酵来提高其总黄酮含量,为提高菜用大豆产品的附加值提供理论支持。实验利用纳豆芽孢杆菌对菜用大豆等外品进行发酵,以发酵产品中总黄酮含量为评价指标确定纳豆发酵的最优条件,通过D101型大孔树脂对提取的总黄酮进行纯化,采用芦丁比色法测定总黄酮含量。体内实验分为肥胖预防实验和缓解实验:以C57BJ/6L小鼠为模型,预防实验在饲喂高脂饲料的同时,灌胃总黄酮提取物溶液(50 mg/kg·d);缓解实验是利用高脂饲料建立起肥胖小鼠模型后,灌胃低、中、高剂量的总黄酮提取物溶液(分别为20、50和100 mg/kg·d)。通过小鼠体重、血脂以及促炎因子等指标评价总黄酮溶液的降脂效果。结果表明,菜用大豆发酵生产黄酮的最佳条件为:枯草芽孢杆菌接菌量为1.15 × 1011 CFU/100 g菜用大豆,发酵温度37 ℃,发酵时间24 h,后熟时间12 h,此时纳豆总黄酮得率为4.30 mg/g菜用大豆;测得该粗提物中黄酮含量为22.1%;预防实验组给予黄酮处理后,小鼠体重和Lee's指数与正常对照组相比均无显著差异(P >0.05)。缓解实验中高、中、低剂量黄酮提取物处理组小鼠血清中甘油三酯(TG)含量分别为313.10 ± 10.12、310.39 ± 31.76和310.1 ± 10.20 nmol/L,与正常对照组(330.80 ± 34.36 nmol/L)无显著差异(P>0.05);黄酮各组灌胃干预后,小鼠血清总胆固醇(TC)、白介素-6(IL-6)和肿瘤坏死因子-α(TNF-α)含量均较高脂模型组显著下降(P<0.05)。结论:利用纳豆芽孢杆菌发酵菜用大豆提高了其总黄酮含量,该黄酮提取物具有预防和缓解高脂饮食小鼠血脂升高的效果。

     

    Abstract: This paper used vegetable soybeans which were not qualified for export as raw materials to increase total flavonoid yield through Bacillus natto fermentation, thus providing theoretical support for increasing the added value of vegetable soybeans. Bacillus natto was used to ferment vegetable soybeans, and the total flavonoid content in the fermented product was used as criteria to determine the optimal fermentation conditions. The extracted total flavonoids were purified using D101 macroporous resin. The content of total flavonoids was determined by rutin colorimetric method. The in vivo experiments were divided into obesity preventive and alleviating tests using C57BJ/6L mice. Mice from the preventive experiment were fed high-fat diet while administered flavonoid extracts (50 mg/kg·d) through gavage; in alleviating groups, mice were administered total flavonoid extracts at low, medium and high doses (20, 50, and 100 mg/kg·d, respectively) through gavage after establishing obese mouse model with high-fat diet. The hypolipidemic effect of total flavonoids was evaluated through parameters such as mouse body weight, blood lipids and pro-inflammatory factors. Results showed that the optimal conditions for production of total flavonoids via fermentation were as follows: Bacillus natto was inoculated at 1.15 × 1011 CFU/100 g vegetable soybeans, which was subjected to fermentation at 37 ℃ for 24 h and post ripeness for another 12 h. The yield of total flavonoids was 4.30 mg/g vegetable soybean, with the content of flavonoids in the crude extract at 22.1%. In the prevention experiment, there were no significant differences in both the weight and Lee's index of the high-fat diet mice after gavage with total flavonoids compared with those of the normal control group (P >0.05). In the alleviating experiment, the serum triglyceride (TG) content of the mice treated with high, medium, and low-dose flavonoid extracts were 313.10 ± 10.12, 310.39 ± 31.76 and 310.10 ± 10.20 nmol/L, respectively, with no significant difference compared with that of the normal control group (330.80 ± 34.36 nmol/L) (P>0.05). After intragastric intervention with flavonoids, serum total cholesterol (TC), interleukin-6 (IL-6) and tumor necrosis factor-α (TNF-α) levels in mice showed a significant decrease compared with those of the higher fat control group (P<0.05). In summary, fermentation using Bacillus natto helped to increase the total flavonoid content in vegetable soybeans. The flavonoid extract showed the effect of both preventing and alleviating mouse hyperlipidemia.

     

/

返回文章
返回