• 中国科技期刊卓越行动计划项目资助期刊
  • 中国精品科技期刊
  • EI
  • Scopus
  • CAB Abstracts
  • Global Health
  • 北大核心期刊
  • DOAJ
  • EBSCO
  • 中国核心学术期刊RCCSE A+
  • 中国科技核心期刊CSTPCD
  • JST China
  • FSTA
  • 中国农林核心期刊
  • 中国开放获取期刊数据库COAJ
  • CA
  • WJCI
  • 食品科学与工程领域高质量科技期刊分级目录第一方阵T1
中国精品科技期刊2020
薛懿威,王玉,王缓,等. 基于高光谱的绿茶加工原料生化成分检测模型建立[J]. 食品工业科技,2023,44(10):280−289. doi: 10.13386/j.issn1002-0306.2020070110.
引用本文: 薛懿威,王玉,王缓,等. 基于高光谱的绿茶加工原料生化成分检测模型建立[J]. 食品工业科技,2023,44(10):280−289. doi: 10.13386/j.issn1002-0306.2020070110.
XUE Yiwei, WANG Yu, WANG Huan, et al. Establishment of a Hyperspectral Spectroscopy-Based Biochemical Component Detection Model for Green Tea Processing Materials[J]. Science and Technology of Food Industry, 2023, 44(10): 280−289. (in Chinese with English abstract). doi: 10.13386/j.issn1002-0306.2020070110.
Citation: XUE Yiwei, WANG Yu, WANG Huan, et al. Establishment of a Hyperspectral Spectroscopy-Based Biochemical Component Detection Model for Green Tea Processing Materials[J]. Science and Technology of Food Industry, 2023, 44(10): 280−289. (in Chinese with English abstract). doi: 10.13386/j.issn1002-0306.2020070110.

基于高光谱的绿茶加工原料生化成分检测模型建立

Establishment of a Hyperspectral Spectroscopy-Based Biochemical Component Detection Model for Green Tea Processing Materials

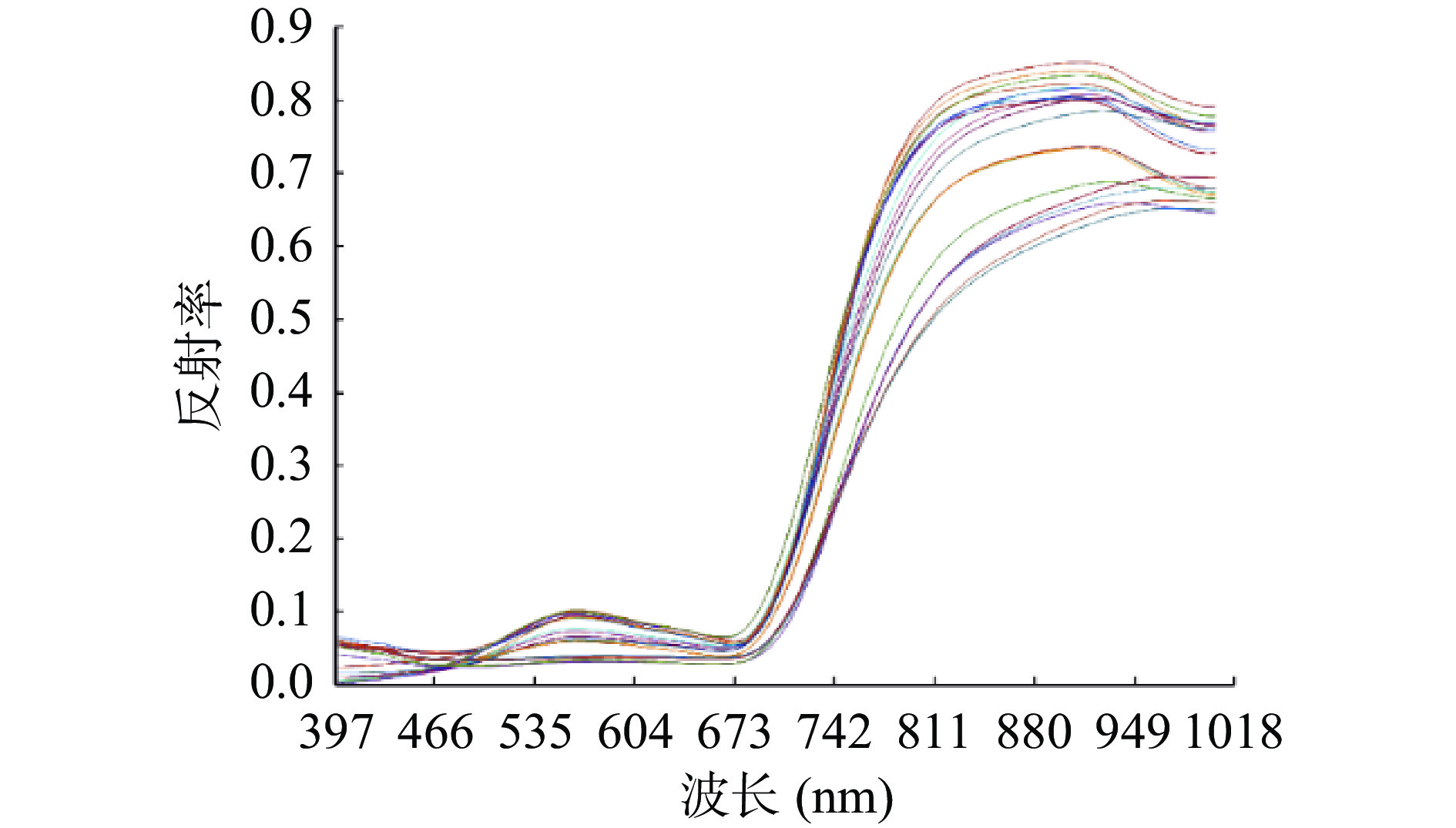
  • 摘要: 目的:建立高光谱技术快速检测绿茶加工原料生化成分的方法。方法:用高光谱相机对加工过程中的茶叶原料进行实时拍摄,获取茶叶原料的光谱数据;对样本的含水率、游离氨基酸、茶多酚以及咖啡碱的含量进行检测;光谱数据预处理后,利用无信息变量消除法(uninformative variable elimination,UVE)、竞争性自适应重加权法(competitive adaptive reweighted sampling,CARS)、连续投影算法(successive projections algorithm,SPA)三种特征提取方法与偏最小二乘(partial least-squares,PLS)、支持向量机(support vector machine,SVM)和随机森林(random forest,RF)三种机器学习模型分别组合进行建模分析,预测茶叶原料中的含水率、游离氨基酸、茶多酚和咖啡碱的含量。结果:茶叶原料的含水率、游离氨基酸、茶多酚和咖啡碱最佳组合模型分别为UVE-RF、CARS-SVM、UVE-SVM、UVE-PLS,决定系数(coefficient of determination,R2)分别为0.99、0.92、0.97、0.87,交互验证均方根误差(root mean square error of cross validation,RMSECV)分别为0.7615%、0.723 μg·g−1、0.3701%、0.1197%,相对分析误差(relative percent difference,RPD)分别为10.2093%、25.446 μg·g−1、3.5851%、2.5284%。结论:相关性高,建模误差合理,模型效果优秀,可以有效检测加工过程中茶叶原料的生化成分。该方法不仅无损,而且快速准确,有望在茶叶加工中得到广泛应用。

     

    Abstract: Objective: To establish a method for rapid detection of biochemical components of green tea processing materials by hyperspectral technique. Methods: The hyperspectral camera was employed to capture real-time images of the tea raw materials during the processing procedure in order to collect the spectral data of the tea raw materials. The samples' moisture content, free amino acids, tea polyphenols, and caffeine content were all found. After spectral data preprocessing, three feature extraction methods, uninformative variable elimination (UVE), competitive adaptive reweighted sampling (CARS), and successive projections algorithm (SPA) and partial least-squares (PLS), support vector machine (SVM) and random forest (RF) were combined to predict the water content, free amino acids, polyphenols and caffeine content of tea raw materials. Result: The best combination models of water content, free amino acids, tea polyphenols and caffeine of tea raw materials were UVE-RF, CARS-SVM, UVE-SVM and UVE-PLS, with the coefficient of determination (R2) of 0.99, 0.92, 0.97 and 0.87, and the root mean square error of cross validation (RMSECV) of 0.7615%, 0.723 μg·g−1, 0.3701% and 0.1197%, respectively, the relative percent difference (RPD) was 10.2093%, 25.446 μg·g−1, 3.5851% and 2.5284%, respectively. Conclusion: High correlation, appropriate modeling error, outstanding model effect, and the ability to accurately identify the biochemical components of raw materials throughout processing are all characteristics of the model. This technique is not only quick and precise but also non-destructive. In the processing of tea, it is anticipated to be widely employed.

     

/

返回文章
返回