• 中国科技期刊卓越行动计划项目资助期刊
  • 中国精品科技期刊
  • 首都科技期刊卓越行动计划
  • EI
  • Scopus
  • CAB Abstracts
  • Global Health
  • 北大核心期刊
  • DOAJ
  • EBSCO
  • 中国核心学术期刊RCCSE A+
  • 中国科技核心期刊CSTPCD
  • JST China
  • FSTA
  • 中国农林核心期刊
  • 中国开放获取期刊数据库COAJ
  • CA
  • WJCI
  • 食品科学与工程领域高质量科技期刊分级目录第一方阵T1
中国精品科技期刊2020
张乐道,吕俊丽,李俊芳,等. 加水温度和蒸制时间对莜麦面面条水分状态和质构特性的影响J. 食品工业科技,2021,42(12):19−23. doi: 10.13386/j.issn1002-0306.2020080201.
引用本文: 张乐道,吕俊丽,李俊芳,等. 加水温度和蒸制时间对莜麦面面条水分状态和质构特性的影响J. 食品工业科技,2021,42(12):19−23. doi: 10.13386/j.issn1002-0306.2020080201.
ZHANG Ledao, LV Junli, LI Junfang, et al. Effects of Water Temperature and Steaming Time on Water State and Textural Characteristics of Naked Oats Noodles J. Science and Technology of Food Industry, 2021, 42(12): 19−23. (in Chinese with English abstract). doi: 10.13386/j.issn1002-0306.2020080201.
Citation: ZHANG Ledao, LV Junli, LI Junfang, et al. Effects of Water Temperature and Steaming Time on Water State and Textural Characteristics of Naked Oats Noodles J. Science and Technology of Food Industry, 2021, 42(12): 19−23. (in Chinese with English abstract). doi: 10.13386/j.issn1002-0306.2020080201.

加水温度和蒸制时间对莜麦面面条水分状态和质构特性的影响

Effects of Water Temperature and Steaming Time on Water State and Textural Characteristics of Naked Oats Noodles

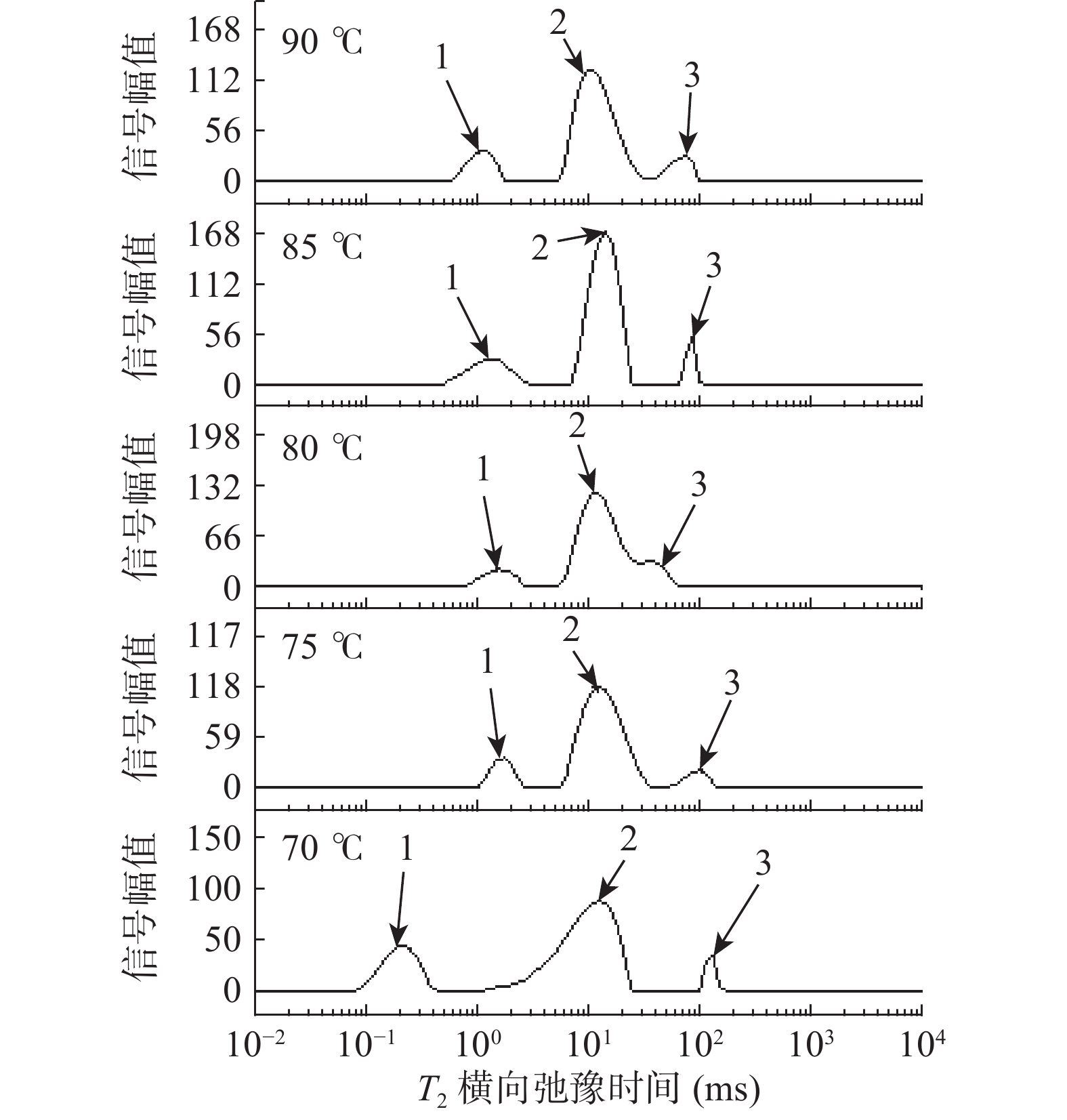
  • 摘要: 本文探讨加水温度和蒸制时间对莜麦面面条水分状态和质构特性的影响,旨在找到莜麦面面条制作工艺的关键参数。利用低场核磁共振技术和食品物性仪得到面条的水分状态和质构特性参数,研究了加水温度和蒸制时间对莜麦面面条水分状态和质构特性的影响。结果表明:加水温度和蒸制时间不改变面条中水分的主要存在形式,且水分的主要存在形式是弱结合水;提高加水温度使面条中深层结合水减少并向弱结合水和自由水方向迁移。加水温度由70 ℃升高到90 ℃的过程中,自由水含量先增加后减小,A23由5.14%增加到11.2%后减小至10.4%。当蒸制时间从6 min增加到10 min时,A22值和A23值先升高后降低,A22和A23最大值分别为77.85%和10.67%,且对应的蒸制时间均为9 min。当加水温度从70 ℃升高到90 ℃时,硬度、黏着性、回复性逐渐减小,弹性、黏聚性逐渐增大,咀嚼性先减小后增大。当蒸制时间从6 min升高到10 min时,硬度、黏着性、咀嚼性、回复性先增大后减小,弹性、黏聚性先减小后增大。本研究结果为莜麦面面条的规模化生产提供一定的理论依据。

     

    Abstract: The effects of water temperature and steaming time on water state and textural characteristics of naked oats noodles were discussed in this paper, and the aim of this paper was to found critical parameters of naked oats noodles making technology. Water temperature and steaming time were the two critical important parameters for naked oats noodles making. The water state and the texture properties of noodles were obtained by low-field nuclear magnetic resonance and the textural analyzer, respectively. The effects of water temperature and steaming time on the water state and texture properties of naked oats noodles were studied. The results showed that the change of water temperature and steaming time could not change the main form of water in noodles, and the main form of water was weakly bound water, and the increasing of water temperature led to the decrease of the bound water in noodles and make the binding water migrated to the weak binding water and free water. In the process of water temperature rising from 70 ℃ to 90 ℃, the free water content increased first and then decreased, A23 increased from 5.14% to 11.2% and then decreased to 10.4%. When the steaming time increased from 6 min to 10 min, the value of A22 and A23 increased first and then decreased, the maximum value of A22 and A23 was 77.85% and 10.67%, respectively, and the steaming time corresponding to the maximum value of A22 and A23 was 9 min. When water temperature increased from 70 ℃ to 90 ℃, the hardness, adhesiveness, and resilience were gradually decreasing, the springiness and cohesiveness were gradually increasing, and the chewiness was decreasing first and then increasing. When the steaming time increased from 6 min to 10 min, the hardness, adhesiveness, chewiness, and resilience were increasing first and then decreasing, springiness and cohesiveness were decreasing first and then increasing. The results of this paper would provide the theoretical basis for the large-scale production of naked oats noodles.

     

/

返回文章
返回