• 中国科技期刊卓越行动计划项目资助期刊
  • 中国精品科技期刊
  • 首都科技期刊卓越行动计划
  • EI
  • Scopus
  • CAB Abstracts
  • Global Health
  • 北大核心期刊
  • DOAJ
  • EBSCO
  • 中国核心学术期刊RCCSE A+
  • 中国科技核心期刊CSTPCD
  • JST China
  • FSTA
  • 中国农林核心期刊
  • 中国开放获取期刊数据库COAJ
  • CA
  • WJCI
  • 食品科学与工程领域高质量科技期刊分级目录第一方阵T1
中国精品科技期刊2020
杨爽,肖瑜. 蛹虫草固态发酵对玉米粉加工性质及消化性的影响J. 食品工业科技,2021,42(11):122−127. doi: 10.13386/j.issn1002-0306.2020090057.
引用本文: 杨爽,肖瑜. 蛹虫草固态发酵对玉米粉加工性质及消化性的影响J. 食品工业科技,2021,42(11):122−127. doi: 10.13386/j.issn1002-0306.2020090057.
YANG Shuang, XIAO Yu. Effect of Solid-state Fermentation with Cordyceps Militaris on Processing and Digestive Properties of Corn Flour J. Science and Technology of Food Industry, 2021, 42(11): 122−127. (in Chinese with English abstract). doi: 10.13386/ j.issn1002-0306.2020090057.
Citation: YANG Shuang, XIAO Yu. Effect of Solid-state Fermentation with Cordyceps Militaris on Processing and Digestive Properties of Corn Flour J. Science and Technology of Food Industry, 2021, 42(11): 122−127. (in Chinese with English abstract). doi: 10.13386/ j.issn1002-0306.2020090057.

蛹虫草固态发酵对玉米粉加工性质及消化性的影响

Effect of Solid-state Fermentation with Cordyceps Militaris on Processing and Digestive Properties of Corn Flour

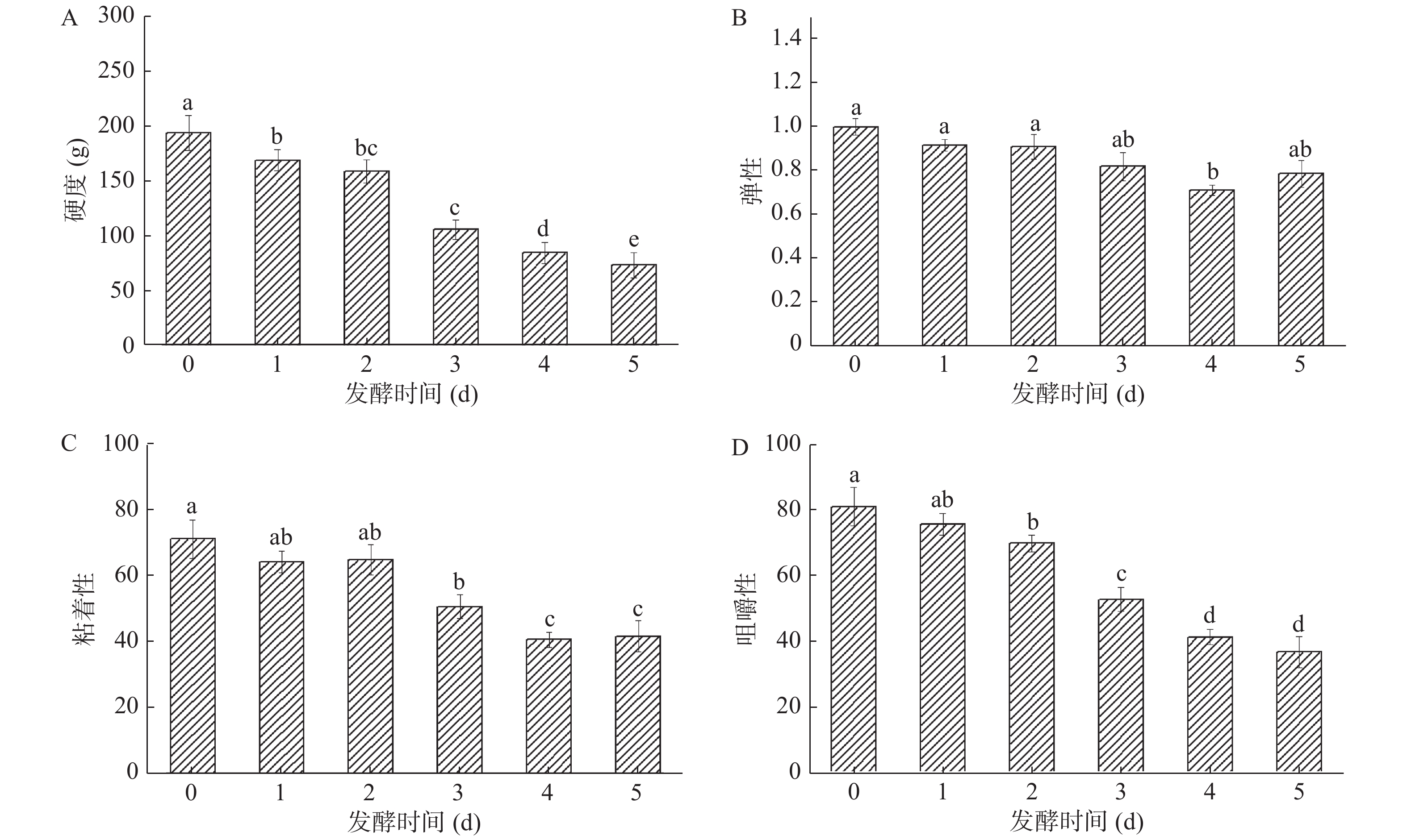
  • 摘要: 利用蛹虫草固态发酵法对玉米粉性质进行改良。测定发酵前后玉米粉的理化性质,利用快速粘度分析仪和质构仪测定发酵前后玉米粉加工性质,来探究蛹虫草发酵对玉米粉性质的影响。研究结果表明,发酵0~2 d理化成分变化不显著(P>0.05),2 d后发生明显变化,至发酵第3 d,总淀粉含量降低了11.7%,直链淀粉增加了29.8%;经固态发酵后,水溶指数增加了87.7%,吸水指数降低了28.2%;固态发酵可改善玉米粉的糊化特性和质构特性,到发酵的第3 d,峰值粘度降低了47.3%,回生值下降了34.9%,凝胶硬度和咀嚼性分别降低了45.4%和34.8%,提高了玉米主食制品适口性。蛹虫草固态发酵后的玉米粉具有更高的营养价值,到发酵的第3 d,可溶性蛋白、必需氨基酸,分别增加了52.3%和26%;慢消化淀粉及抗性淀粉分别提高至原来的1.83和1.41倍。通过本研究所得玉米粉的改良方法,可改善玉米粉的加工性能和淀粉消化性,为蛹虫草在玉米主食制品品质改良方面提供一定参考。

     

    Abstract: In this study, the solid-state fermentation with Cordyceps militaris was used to modified the properties of corn flour. The physicochemical composition of corn flour and fermented corn flour were investigated. The processing properties of corn flour and fermented corn flour were determined by rapid visio analyser and textural property analyser, respectively. The results showed that there were no significant changes in the physicochemical composition of samples after 0~2 day of fermentation (P>0.05), but significant changes occurred after 2 day of fermentation. The results showed that the total starch decreased by 11.7% after 3 day of fermentation, and the amylose increased by 29.8%. The water-solubility index increased by 87.7%, while the water-absorption index decreased by 28.2%. Solid-state fermentation could improve the gelatinization and texture properties of corn flour. The peak viscosity, setback, hardness and chew ability of samples after 3 day of fermentation decreased by 47.3%, 34.9%, 45.4% and 34.8%, respectively.These results indicated the solid-state fermentation could improve the palatability of corn staple food products.The fermented corn flour had higher nutritional value. The soluble protein and essential amino acid increased by 52.3% and 26%, respectively. The slow digestion starch and resistant starch increased to 1.83 and 1.41 times respectively after 3 day of fermentation. The modified method of corn meal obtained in this study could improve the processing property and starch digestibility of corn flour, and provided reference for Cordyceps militaris in the quality improvement of staple food products.

     

/

返回文章
返回