• 中国科技期刊卓越行动计划项目资助期刊
  • 中国精品科技期刊
  • 首都科技期刊卓越行动计划
  • EI
  • Scopus
  • CAB Abstracts
  • Global Health
  • 北大核心期刊
  • DOAJ
  • EBSCO
  • 中国核心学术期刊RCCSE A+
  • 中国科技核心期刊CSTPCD
  • JST China
  • FSTA
  • 中国农林核心期刊
  • 中国开放获取期刊数据库COAJ
  • CA
  • WJCI
  • 食品科学与工程领域高质量科技期刊分级目录第一方阵T1
中国精品科技期刊2020
王子欢,刘丹怡,郑嘉琛,等. 超高压条件下大豆分离蛋白美拉德反应及乳化性质J. 食品工业科技,2021,42(23):49−58. doi: 10.13386/j.issn1002-0306.2021020075.
引用本文: 王子欢,刘丹怡,郑嘉琛,等. 超高压条件下大豆分离蛋白美拉德反应及乳化性质J. 食品工业科技,2021,42(23):49−58. doi: 10.13386/j.issn1002-0306.2021020075.
WANG Zihuan, LIU Danyi, ZHENG Jiachen, et al. Preparation and Emulsifying Properties of Maillard Reaction Products of Soybean Protein Isolate under High Hydrostatic PressureJ. Science and Technology of Food Industry, 2021, 42(23): 49−58. (in Chinese with English abstract). doi: 10.13386/j.issn1002-0306.2021020075.
Citation: WANG Zihuan, LIU Danyi, ZHENG Jiachen, et al. Preparation and Emulsifying Properties of Maillard Reaction Products of Soybean Protein Isolate under High Hydrostatic PressureJ. Science and Technology of Food Industry, 2021, 42(23): 49−58. (in Chinese with English abstract). doi: 10.13386/j.issn1002-0306.2021020075.

超高压条件下大豆分离蛋白美拉德反应及乳化性质

Preparation and Emulsifying Properties of Maillard Reaction Products of Soybean Protein Isolate under High Hydrostatic Pressure

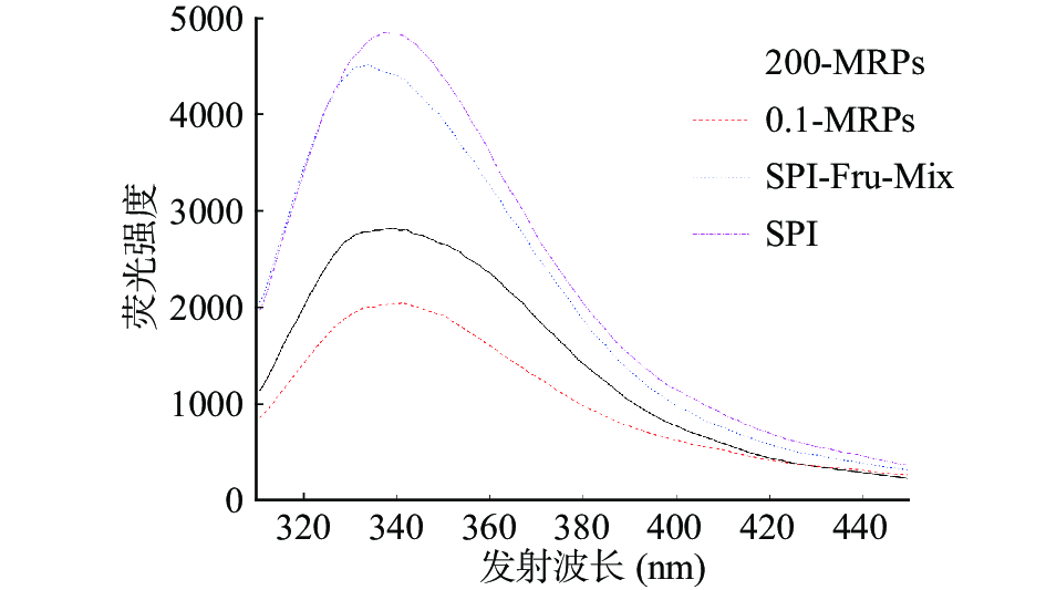
  • 摘要: 本文研究超高压(High Hydrostatic Pressure,HHP)条件下,不同压力(0.1、100、200、300 MPa)在60 ℃时,对大豆分离蛋白(Soybean Protein Islates,SPI)与果糖(Fructose,Fru)美拉德反应产物的影响。以接枝度及乳化活性为指标,并分析最佳条件下所得产物以及产物乳状液的结构性质。结果表明在压力200 MPa、质量比0.8:1、反应时间24 h、溶液pH 8.0条件下,产物的乳化活性及乳化稳定性均有提升,乳化活性为(85.36±0.04) m2/g,是SPI与Fru混合物的1.71倍,是SPI的2.17倍,乳化稳定性为(27.66±0.03) min,是SPI与Fru混合物的1.15倍,是SPI的1.40倍。凝胶电泳图分析表明糖分子以共价键的形式接入到SPI分子中。圆二色谱图分析得知在200 MPa的条件下改性SPI二级结构发生改变,内源荧光光谱分析表明在200 MPa的压力可以使SPI的空间结构发生改变。粒径、电位和激光共聚焦显微镜微观图均可表明200 MPa的压力对蛋白乳状液稳定性的提升。

     

    Abstract: In this paper, the effects of high hydrostatic pressure (HHP) on Maillard reaction products of soybean protein isolate (SPI) and fructose (Fructose, Fru) at 60 ℃ under different pressures (0.1, 100, 200, 300 MPa) were studied. The grafting degree and emulsifying activity were used as indicators, and the structural properties of the products under the optimal conditions were analyzed. The results showed that under the conditions of pressure being 200 MPa, mass ratio 0.8:1, reaction time 24 h, and solution pH8.0, the emulsifying activity and emulsifying stability of the product were improved. The emulsifying activity was (85.36±0.04) m2/g, 1.71 times higher than the SPI and Fru mixture, 2.17 times higher than the SPI, and the emulsifying stability was (27.66±0.03) min, 1.15 times higher than the SPI and Fru mixture, and 1.40 times higher than the SPI. SDS-PAGE indicated that the sugar molecules were inserted into the SPI molecule through covalent bonds. Circular dichroism analysis showed that the secondary structure of modified SPI changed under the condition of 200 MPa. Endogenous fluorescence analysis showed that the spatial structure of SPI could be changed under 200 MPa. The particle size, potential and laser scanning confocal microscope micrographs showed that the stability of protein emulsion was improved by 200 MPa pressure.

     

/

返回文章
返回