• 中国科技期刊卓越行动计划项目资助期刊
  • 中国精品科技期刊
  • 首都科技期刊卓越行动计划
  • EI
  • Scopus
  • CAB Abstracts
  • Global Health
  • 北大核心期刊
  • DOAJ
  • EBSCO
  • 中国核心学术期刊RCCSE A+
  • 中国科技核心期刊CSTPCD
  • JST China
  • FSTA
  • 中国农林核心期刊
  • 中国开放获取期刊数据库COAJ
  • CA
  • WJCI
  • 食品科学与工程领域高质量科技期刊分级目录第一方阵T1
中国精品科技期刊2020
张关涛,张东杰,李娟,等. 纳米纤维素的制备及其在食品包装材料中应用的研究进展J. 食品工业科技,2022,43(3):430−437. doi: 10.13386/j.issn1002-0306.2021020094.
引用本文: 张关涛,张东杰,李娟,等. 纳米纤维素的制备及其在食品包装材料中应用的研究进展J. 食品工业科技,2022,43(3):430−437. doi: 10.13386/j.issn1002-0306.2021020094.
ZHANG Guantao, ZHANG Dongjie, LI Juan, et al. Research Progress of Fabrication of Nano-Cellulose and Its Application in Food Packaging MaterialsJ. Science and Technology of Food Industry, 2022, 43(3): 430−437. (in Chinese with English abstract). doi: 10.13386/j.issn1002-0306.2021020094.
Citation: ZHANG Guantao, ZHANG Dongjie, LI Juan, et al. Research Progress of Fabrication of Nano-Cellulose and Its Application in Food Packaging MaterialsJ. Science and Technology of Food Industry, 2022, 43(3): 430−437. (in Chinese with English abstract). doi: 10.13386/j.issn1002-0306.2021020094.

纳米纤维素的制备及其在食品包装材料中应用的研究进展

Research Progress of Fabrication of Nano-Cellulose and Its Application in Food Packaging Materials

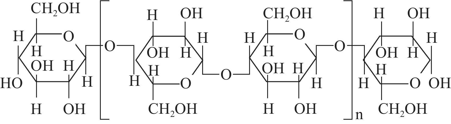
  • 摘要: 纳米纤维素作为包装材料的填充成分,可以提高材料的力学性能和阻隔性能,并可改善复合材料的热学性能及降解性能。本文简要介绍了纤维素及纳米纤维素,重点阐述了纳米纤维素的制备方法(化学法、生物法和物理机械法等)及其在食品包装材料中的应用(保鲜及抗菌包装材料、活性包装材料和高阻隔包装材料等)。最后,对纳米纤维素在食品包装材料领域的研究发展方向进行了展望,以期为食品包装材料的发展提供理论支持。

     

    Abstract: As a filling component of packaging materials, nano-cellulose can improve the mechanical properties and barrier properties of the materials, and can improve the thermal properties and degradation properties of composite materials. This article briefly introduces cellulose and nano-cellulose, focusing on the preparation methods of nano-cellulose (chemical method, biological method and physical mechanical method, etc.) and its application in food packaging materials (preservative and antibacterial packaging materials, active packaging materials and high barrier packaging materials, etc.). Finally, the research and development direction of nano-cellulose in the field of food packaging materials is prospected, with a view to provide theoretical support for the development of food packaging materials.

     

/

返回文章
返回