• 中国科技期刊卓越行动计划项目资助期刊
  • 中国精品科技期刊
  • 首都科技期刊卓越行动计划
  • EI
  • Scopus
  • CAB Abstracts
  • Global Health
  • 北大核心期刊
  • DOAJ
  • EBSCO
  • 中国核心学术期刊RCCSE A+
  • 中国科技核心期刊CSTPCD
  • JST China
  • FSTA
  • 中国农林核心期刊
  • 中国开放获取期刊数据库COAJ
  • CA
  • WJCI
  • 食品科学与工程领域高质量科技期刊分级目录第一方阵T1
中国精品科技期刊2020
吴伟菁,仇菊,吴兰兰,等. 糖苷结构对苦荞黄酮促进葡萄糖在C2C12小鼠骨骼肌细胞中摄取作用的影响J. 食品工业科技,2021,42(24):320−326. doi: 10.13386/j.issn1002-0306.2021020219.
引用本文: 吴伟菁,仇菊,吴兰兰,等. 糖苷结构对苦荞黄酮促进葡萄糖在C2C12小鼠骨骼肌细胞中摄取作用的影响J. 食品工业科技,2021,42(24):320−326. doi: 10.13386/j.issn1002-0306.2021020219.
WU Weijing, QIU Ju, WU Lanlan, et al. Influences of Glycosidic Bonds in Flavonoids from Tartary Buckwheat on Glucose Uptake in C2C12 MyotubesJ. Science and Technology of Food Industry, 2021, 42(24): 320−326. (in Chinese with English abstract). doi: 10.13386/j.issn1002-0306.2021020219.
Citation: WU Weijing, QIU Ju, WU Lanlan, et al. Influences of Glycosidic Bonds in Flavonoids from Tartary Buckwheat on Glucose Uptake in C2C12 MyotubesJ. Science and Technology of Food Industry, 2021, 42(24): 320−326. (in Chinese with English abstract). doi: 10.13386/j.issn1002-0306.2021020219.

糖苷结构对苦荞黄酮促进葡萄糖在C2C12小鼠骨骼肌细胞中摄取作用的影响

Influences of Glycosidic Bonds in Flavonoids from Tartary Buckwheat on Glucose Uptake in C2C12 Myotubes

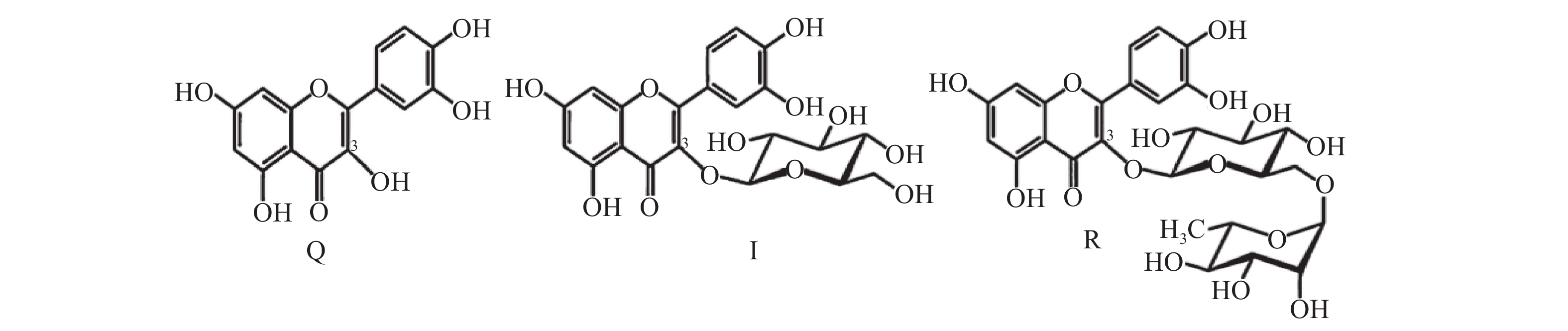
  • 摘要: 苦荞是芦丁含量最高的粮食作物,但不同的加工过程会导致芦丁降解为单糖苷结构的异槲皮素及其前体槲皮素,进而影响生物活性。本研究比较芦丁及其降解产物(槲皮素、异槲皮素)这三类含有不同糖苷结构的黄酮在C2C12小鼠骨骼肌细胞中促进葡萄糖摄取的功效差异,并探究其作用机制。研究结果表明,苦荞与水接触会导致苦荞中的核心黄酮组分-芦丁降解为槲皮素。芦丁及其降解产物(槲皮素、异槲皮素)均能有效促进C2C12细胞对葡萄糖的摄取,作用顺序为:槲皮素>异槲皮素>芦丁。糖苷键的增加会降低槲皮素促进骨骼肌细胞糖摄取的效果。芦丁和异槲皮素不能激活胰岛素依赖型信号通路中的IRS-1表达及AKT的磷酸化,但高浓度下(400 μmol/L),芦丁和异槲皮素可以通过非胰岛素依赖型的信号通路中的p-AMPK/p-ACC促进葡萄糖摄取作用,且异槲皮素的作用大于芦丁。槲皮素虽然抑制了IRS-1的表达及AKT的磷酸化,但槲皮素通过AMPK/ACC的磷酸化显著了促进C2C12细胞对葡萄糖的摄取。本研究揭示芦丁及其降解产物在细胞水平上的降血糖作用及机理的差异,对于充分理解苦荞黄酮降血糖机制提供了科学依据。

     

    Abstract: Tartary buckwheat has highest content of rutin in grains. Rutin can be degraded to isoquercetin and quercetin during processing, which may change its biological activities. This study compared the glucose uptake and mechanisms in C2C12 myotubes of rutin, quercetin and isoquecetin, which had different glycosidic bonds. Results showed that contact of water during processing led to degradation of rutin, which was the key flavonoid in tartary buckwheat. Rutin and its degraded products(quercetin and isoquercetin) effectively stimulated glucose uptake in C2C12 myotubes in the order: quercetin>isoquercetin>rutin. Therefore, substitution of sugar moiety to hydroxyl group in quercetin led to decrease of glucose uptake in C2C12 myotubes. Rutin and isoquercetin did not stimulate the expression of IRS-1 and p-AKT in the insulin-dependent pathway. At high concentration(400 μmol/L), rutin and isoquercetin stimulated glucose uptake and promoted the expression of phosphorylation of AMP-activated protein kinase(AMPK)/ acetyl-CoA carboxylase(ACC) in insulin-independent pathway in the order: isoquercetin>rutin. Quercetin inhibited expression of insulin receptor substract-1(IRS-1) and phosphorylation of AKT. However, quercetin significantly promoted expression of phosphorylation of AMPK/ACC, thus significantly increased the glucose uptake in C2C12 myotubes. Comparison of hypoglycemic effects and mechanisms among rutin and its degraded products were beneficial to reveal hypoglycemic effects of flavonoids from tartary buckwheat.

     

/

返回文章
返回