• 中国科技期刊卓越行动计划项目资助期刊
  • 中国精品科技期刊
  • 首都科技期刊卓越行动计划
  • EI
  • Scopus
  • CAB Abstracts
  • Global Health
  • 北大核心期刊
  • DOAJ
  • EBSCO
  • 中国核心学术期刊RCCSE A+
  • 中国科技核心期刊CSTPCD
  • JST China
  • FSTA
  • 中国农林核心期刊
  • 中国开放获取期刊数据库COAJ
  • CA
  • WJCI
  • 食品科学与工程领域高质量科技期刊分级目录第一方阵T1
中国精品科技期刊2020
杨锟,车一鸣,黄斯琦,等. 石榴花游离型和结合型多酚提取物抗氧化活性探究J. 食品工业科技,2021,42(22):290−296. doi: 10.13386/j.issn1002-0306.2021030110.
引用本文: 杨锟,车一鸣,黄斯琦,等. 石榴花游离型和结合型多酚提取物抗氧化活性探究J. 食品工业科技,2021,42(22):290−296. doi: 10.13386/j.issn1002-0306.2021030110.
YANG Kun, CHE Yiming, HUANG Siqi, et al. Antioxidant Activity of Free and Bound Polyphenols from Pomegranate FlowersJ. Science and Technology of Food Industry, 2021, 42(22): 290−296. (in Chinese with English abstract). doi: 10.13386/j.issn1002-0306.2021030110.
Citation: YANG Kun, CHE Yiming, HUANG Siqi, et al. Antioxidant Activity of Free and Bound Polyphenols from Pomegranate FlowersJ. Science and Technology of Food Industry, 2021, 42(22): 290−296. (in Chinese with English abstract). doi: 10.13386/j.issn1002-0306.2021030110.

石榴花游离型和结合型多酚提取物抗氧化活性探究

Antioxidant Activity of Free and Bound Polyphenols from Pomegranate Flowers

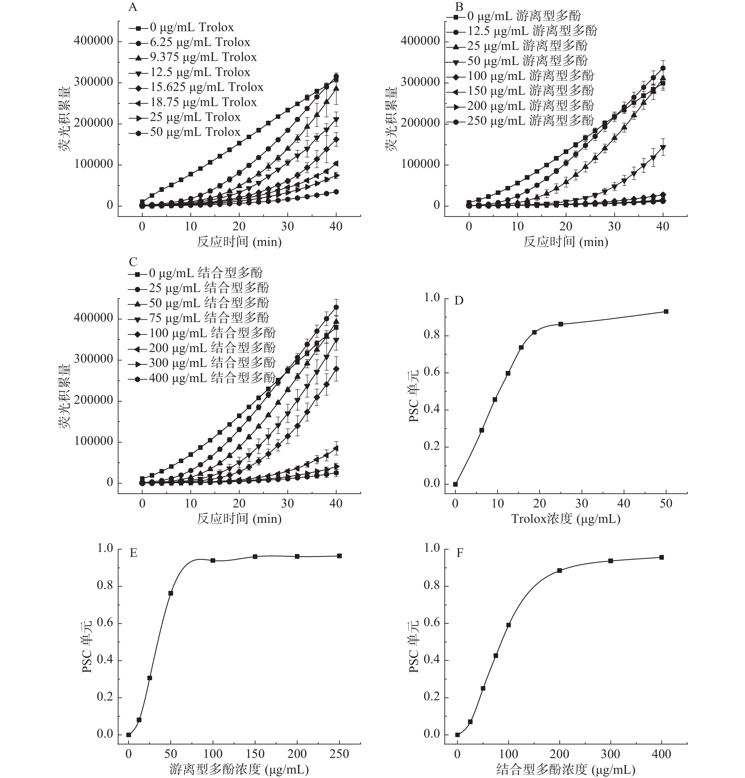
  • 摘要: 提取石榴花中游离型和结合型多酚粗提物,探究两种多酚提取物的抗氧化能力。采用Folin-Ciocalteu法测定粗提物总酚含量,利用5种体外抗氧化法测定其抗氧化活性。结果显示:游离型多酚粗提物多酚含量显著高于结合型多酚粗提物(P<0.05);吸收过氧自由基能力(oxygen radical absorbance capacity,ORAC)和清除过氧自由基能力(peroxyl radical scavenging capacity,PSC)测定中,两种多酚粗提物具有与水溶性维E相似的明显荧光动力学特征与剂量依赖趋势,游离型多酚粗提物抗氧化能力强于结合型多酚粗提物(P<0.05),水溶性维生素E抗氧化能力显著强于两种多酚粗提物(P<0.05);游离型多酚粗提物DPPH自由基清除能力(DPPH radical scavenging activity,DRSA)、总氧自由基清除能力(trolox equivalent antioxidant capacity,TEAC)和还原力能力(reducing power,RP)均强于结合型多酚粗提物(P<0.05),但两种多酚粗提物的抗氧化能力均低于阳性对照维生素C(P<0.05)。研究表明:石榴花游离型和结合型多酚粗提物均具有一定抗氧化活性,且游离型抗氧化能力优于结合型,此研究可为天然抗氧化剂的开发和利用提供一定理论依据。

     

    Abstract: To analyze the antioxidant activities of free polyphenolics and bound polyphenolics from pomegranate flowers, two crude polyphenolic extracts were prepared. The total phenolic contents of the crude extracts were determined by Folin-Ciocalteu method and the antioxidant activities were determined by five in vitro antioxidant methods. Results showed that the total phenolic content of the free polyphenolic extract was significantly higher than that of the bound part(P<0.05). Results from the oxygen radical absorbance capacity(ORAC) and peroxyl radical scavenging capacity(PSC) showed that two polyphenolic extracts, similar to Trolox, had an obvious character of fluorescence kinetics and a dose-dependent tendency; the antioxidant capacity of free polyphenolic extract was stronger than the bound part(P<0.05). The free polyphenolic extract had better DPPH radical scavenging activity(DRSA), trolox equivalent antioxidant capacity(TEAC), and reducing power(RP) than the bound part(P<0.05), but the antioxidant capacities of two extracts was significantly lower than vitamin C(P<0.05). Both of the extracts from pomegranate flowers had certain antioxidant activity. Moreover, compared with the bound part, the free polyphenolic extract had better antioxidant activities. The current study could provide a theoretical basis for the development and utilization of natural antioxidant.

     

/

返回文章
返回