• 中国科技期刊卓越行动计划项目资助期刊
  • 中国精品科技期刊
  • 首都科技期刊卓越行动计划
  • EI
  • Scopus
  • CAB Abstracts
  • Global Health
  • 北大核心期刊
  • DOAJ
  • EBSCO
  • 中国核心学术期刊RCCSE A+
  • 中国科技核心期刊CSTPCD
  • JST China
  • FSTA
  • 中国农林核心期刊
  • 中国开放获取期刊数据库COAJ
  • CA
  • WJCI
  • 食品科学与工程领域高质量科技期刊分级目录第一方阵T1
中国精品科技期刊2020
骆贤亮,晏永球,冯凤琴. 牡蛎肽与人参提取物配伍提高雄性小鼠性功能及抗疲劳作用研究J. 食品工业科技,2022,43(1):366−374. doi: 10.13386/j.issn1002-0306.2021030384.
引用本文: 骆贤亮,晏永球,冯凤琴. 牡蛎肽与人参提取物配伍提高雄性小鼠性功能及抗疲劳作用研究J. 食品工业科技,2022,43(1):366−374. doi: 10.13386/j.issn1002-0306.2021030384.
LUO Xianliang, YAN Yongqiu, FENG Fengqin. Effect of Combined Oyster Peptide and Ginseng Extracts on Improvement of Sexual Function and Anti-fatigue in Male MiceJ. Science and Technology of Food Industry, 2022, 43(1): 366−374. (in Chinese with English abstract). doi: 10.13386/j.issn1002-0306.2021030384.
Citation: LUO Xianliang, YAN Yongqiu, FENG Fengqin. Effect of Combined Oyster Peptide and Ginseng Extracts on Improvement of Sexual Function and Anti-fatigue in Male MiceJ. Science and Technology of Food Industry, 2022, 43(1): 366−374. (in Chinese with English abstract). doi: 10.13386/j.issn1002-0306.2021030384.

牡蛎肽与人参提取物配伍提高雄性小鼠性功能及抗疲劳作用研究

Effect of Combined Oyster Peptide and Ginseng Extracts on Improvement of Sexual Function and Anti-fatigue in Male Mice

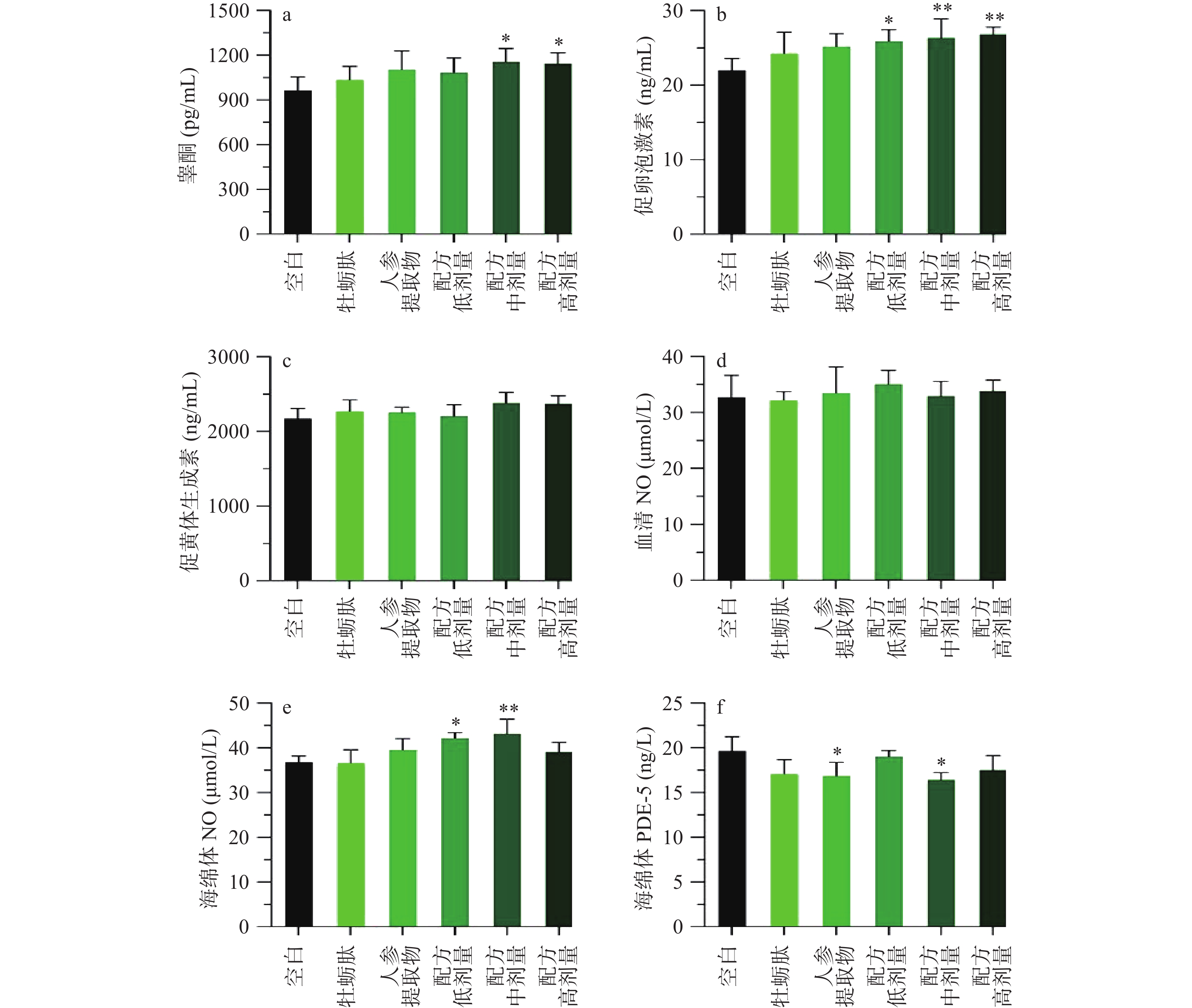
  • 摘要: 为初步探究牡蛎肽与人参提取物配伍对正常雄性小鼠性功能及运动疲劳的影响,本研究将ICR雄性小鼠随机分为6组,分别为空白组、牡蛎肽对照组(0.2 mg/g bw)、人参提取物对照组(0.2 mg/g bw)、3种剂量牡蛎肽与人参提取物配伍组(低、中、高剂量分别为0.1、0.2、0.6 mg/g bw),连续灌胃42 d,并在干预最后一天分别进行游泳和交配实验,测定抗疲劳及性功能相关生化指标。从性功能方面,与空白组相比,各处理组均不同程度增强小鼠交配能力(P<0.05);同等剂量配伍组小鼠交配能力较单组分对照组有所提升,但没有统计学差异(P>0.05);与空白组比较,中剂量配伍组使血清睾酮、促卵泡激素及阴茎海绵体中一氧化氮水平分别提高20.02%、19.92%和17.19%,显著降低海绵体中5型磷酸二酯酶含量(P<0.05),效果优于单组分对照组;免疫组化结果说明配伍组可不同程度上调睾丸组织中类固醇激素合成急性调节蛋白(StAR)和17β-羟类固醇脱氢酶(HSD17B3)的表达,但与空白组比较没有统计学差异(P>0.05)。从抗疲劳方面,中剂量配伍组显著降低乳酸(P<0.01)、尿素氮(P<0.05)和丙二醛含量(P<0.01),提高糖原含量(P<0.01),比单组分对照组的抗疲劳效果更明显。本研究发现牡蛎肽与人参提取物配伍在提高性功能及抗疲劳方面具有协同增效作用,有益于推动该领域功能食品产业发展。

     

    Abstract: This study aimed to explore the effects of the combination of oyster peptide and ginseng extracts (OPGE) on exercise fatigue and sexual function in normal male mice. In this experiment, ICR male mice were randomly divided into 6 groups, including control group, oyster peptide (0.2 mg/g bw, OP), ginseng extract (0.2 mg/g bw, GE), low dosage of OPGE (0.1 mg/g bw, OPGEL), medium dosage of OPGE (0.2 mg/gbw, OPGEM) and high dosage of OPGE (0.6 mg/g bw, OPGEH). All animals were treated continuously by oral gavage for 42 days, and then the swimming experiment and mating test were respectively performed on the last day of administration. Anti-fatigue and sexual function-related biochemical parameters were measured. The mating ability of mice was significantly enhanced in each treatment group compared with control group. The mating ability of OP and GE treated alone showed inferior to OPGEM administration, but without statistical difference. Compared with the control group, the serum levels of testosterone and follicle-stimulating hormone, the nitric oxide level in penis was increased by 20.02%, 19.92% and 17.19%, respectively, while the content of phosphodiesterases-5 in penis was decreased in OPGEM group. The results indicated that OPGEM administration presented the best effect on the promotion of sexual function among all groups (P<0.05). Besides, the expressions of steroid hormone synthesis acute regulatory protein (StAR) and 17β-hydroxysteroid dehydrogenase (HSD17B3) in the testis were up-regulated by OPGE administration, but without a statistical difference compared with the control group (P>0.05). Furthermore, the levels of lactic acid (P<0.01), urea nitrogen (P<0.05) and malondialdehyde (P<0.01) were decreased by the administration of OPGEM, while the content of glycogen was increased (P<0.01). In conclusion, OPGE presented a synergistic effect on anti-fatigue and improvement of sexual ability in normal male mice. The results are beneficial to promote the development of the functional food industry in the related field.

     

/

返回文章
返回