• 中国科技期刊卓越行动计划项目资助期刊
  • 中国精品科技期刊
  • 首都科技期刊卓越行动计划
  • EI
  • Scopus
  • CAB Abstracts
  • Global Health
  • 北大核心期刊
  • DOAJ
  • EBSCO
  • 中国核心学术期刊RCCSE A+
  • 中国科技核心期刊CSTPCD
  • JST China
  • FSTA
  • 中国农林核心期刊
  • 中国开放获取期刊数据库COAJ
  • CA
  • WJCI
  • 食品科学与工程领域高质量科技期刊分级目录第一方阵T1
中国精品科技期刊2020
王靖蕊,彭佳敏,代成,等. 基于光谱和分子模拟研究半乳甘露聚糖和人血清白蛋白的相互作用J. 食品工业科技,2022,43(2):42−49. doi: 10.13386/j.issn1002-0306.2021040093.
引用本文: 王靖蕊,彭佳敏,代成,等. 基于光谱和分子模拟研究半乳甘露聚糖和人血清白蛋白的相互作用J. 食品工业科技,2022,43(2):42−49. doi: 10.13386/j.issn1002-0306.2021040093.
WANG Jingrui, PENG Jiamin, DAI Cheng, et al. Study on the Interaction Mechanism between Galactomannan and Human Serum Albumin by Spectroscopy and Molecular DockingJ. Science and Technology of Food Industry, 2022, 43(2): 42−49. (in Chinese with English abstract). doi: 10.13386/j.issn1002-0306.2021040093.
Citation: WANG Jingrui, PENG Jiamin, DAI Cheng, et al. Study on the Interaction Mechanism between Galactomannan and Human Serum Albumin by Spectroscopy and Molecular DockingJ. Science and Technology of Food Industry, 2022, 43(2): 42−49. (in Chinese with English abstract). doi: 10.13386/j.issn1002-0306.2021040093.

基于光谱和分子模拟研究半乳甘露聚糖和人血清白蛋白的相互作用

Study on the Interaction Mechanism between Galactomannan and Human Serum Albumin by Spectroscopy and Molecular Docking

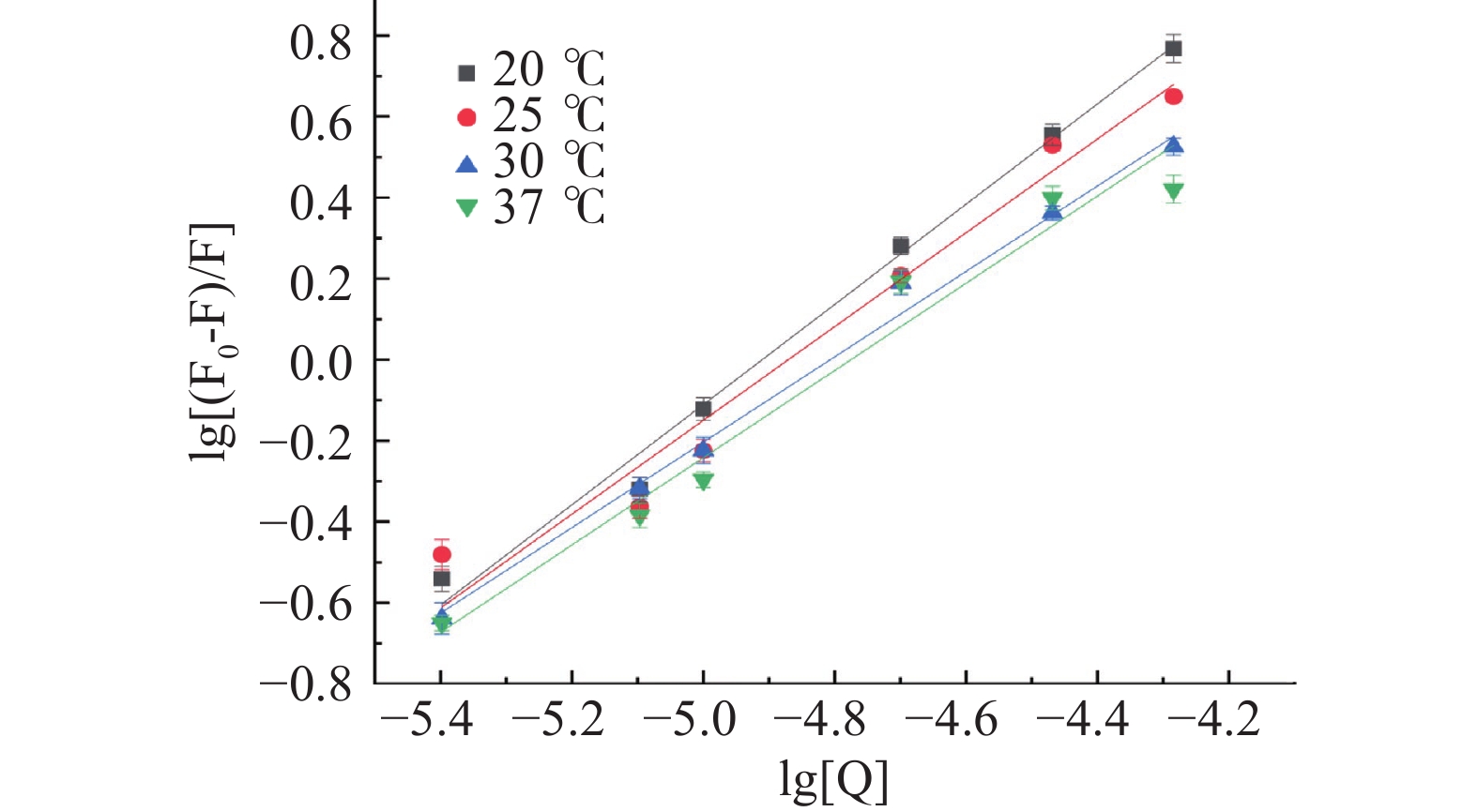
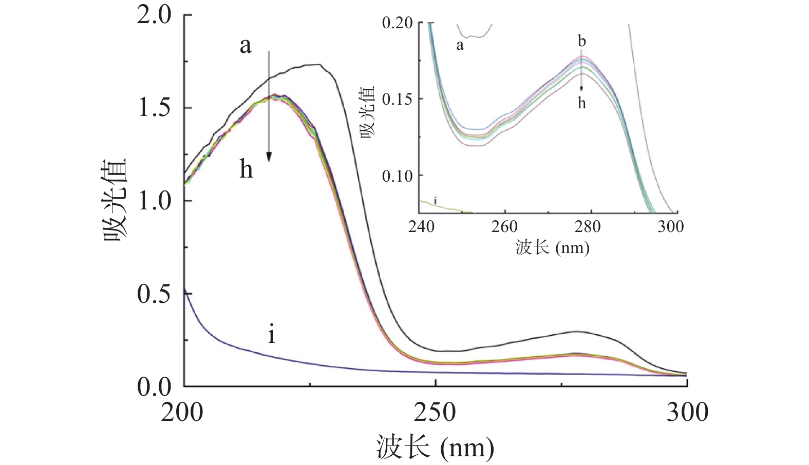
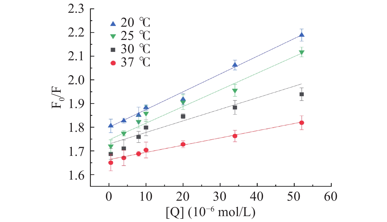
  • 摘要: 目的:研究半乳甘露聚糖对人血清白蛋白(HSA)光谱特性的影响及它们相互作用的机理。方法:本文利用光谱法判断半乳甘露聚糖和HSA的猝灭方式、结合位点数、结合作用力类型以及二级结构的变化,采用分子对接模拟技术得到结合作用力类型和长度,进一步研究半乳甘露聚糖和HSA相互作用的机制。结果:在半乳甘露聚糖的作用下,HSA内源荧光被有规律的猝灭,猝灭过程是自发进行的,机制为静态猝灭,结合位点数约为1,并且HSA的二级结构中α-螺旋含量减少了7.7%。分子对接结果表明,半乳甘露聚糖通过氢键和范德华力在HSA的亚结构域IIB中相互作用。结论:半乳甘露聚糖与HSA有较强的结合能力,并且结合是自发进行的。

     

    Abstract: Objective: To study the effect of galactomannan on the spectral characteristics of human serum albumin (HSA) and the mechanism of their interaction. Methods: Multispectroscopic analyses were used to determine the quenching method, number of binding sites, type of binding force, and changes in secondary structure between galactomannan and HSA. The type and length of binding force were obtained by molecular docking simulation, which further proved that the mechanism of interaction between galactomannan and HSA. Results: Under the action of galactomannan, the endogenous fluorescence of HSA was regularly quenched. The quenching process was spontaneous. The mechanism was static quenching. The number of binding sites was about 1, and the α-helix of HSA was reduced by 7.7%. The results of molecular docking showed that galactomannan interacted in HSA subdomain IIB through hydrogen bonds and van der Waals forces. Conclusions: The interaction between galactomannan and HSA was strong, and the binding was spontaneous.

     

/

返回文章
返回