• 中国科技期刊卓越行动计划项目资助期刊
  • 中国精品科技期刊
  • 首都科技期刊卓越行动计划
  • EI
  • Scopus
  • CAB Abstracts
  • Global Health
  • 北大核心期刊
  • DOAJ
  • EBSCO
  • 中国核心学术期刊RCCSE A+
  • 中国科技核心期刊CSTPCD
  • JST China
  • FSTA
  • 中国农林核心期刊
  • 中国开放获取期刊数据库COAJ
  • CA
  • WJCI
  • 食品科学与工程领域高质量科技期刊分级目录第一方阵T1
中国精品科技期刊2020
安苗青,赖玉健,徐雅囡,等. 不同方式制备的猴头菇提取物对大鼠急性胃黏膜损伤保护作用对比J. 食品工业科技,2022,43(2):360−367. doi: 10.13386/j.issn1002-0306.2021040252.
引用本文: 安苗青,赖玉健,徐雅囡,等. 不同方式制备的猴头菇提取物对大鼠急性胃黏膜损伤保护作用对比J. 食品工业科技,2022,43(2):360−367. doi: 10.13386/j.issn1002-0306.2021040252.
AN Miaoqing, LAI Yujian, XU Yanan, et al. Comparison of Protective Effects of Hericium erinaceus Extracts Prepared by Different Methods on Acute Gastric Mucosal Injury in RatsJ. Science and Technology of Food Industry, 2022, 43(2): 360−367. (in Chinese with English abstract). doi: 10.13386/j.issn1002-0306.2021040252.
Citation: AN Miaoqing, LAI Yujian, XU Yanan, et al. Comparison of Protective Effects of Hericium erinaceus Extracts Prepared by Different Methods on Acute Gastric Mucosal Injury in RatsJ. Science and Technology of Food Industry, 2022, 43(2): 360−367. (in Chinese with English abstract). doi: 10.13386/j.issn1002-0306.2021040252.

不同方式制备的猴头菇提取物对大鼠急性胃黏膜损伤保护作用对比

Comparison of Protective Effects of Hericium erinaceus Extracts Prepared by Different Methods on Acute Gastric Mucosal Injury in Rats

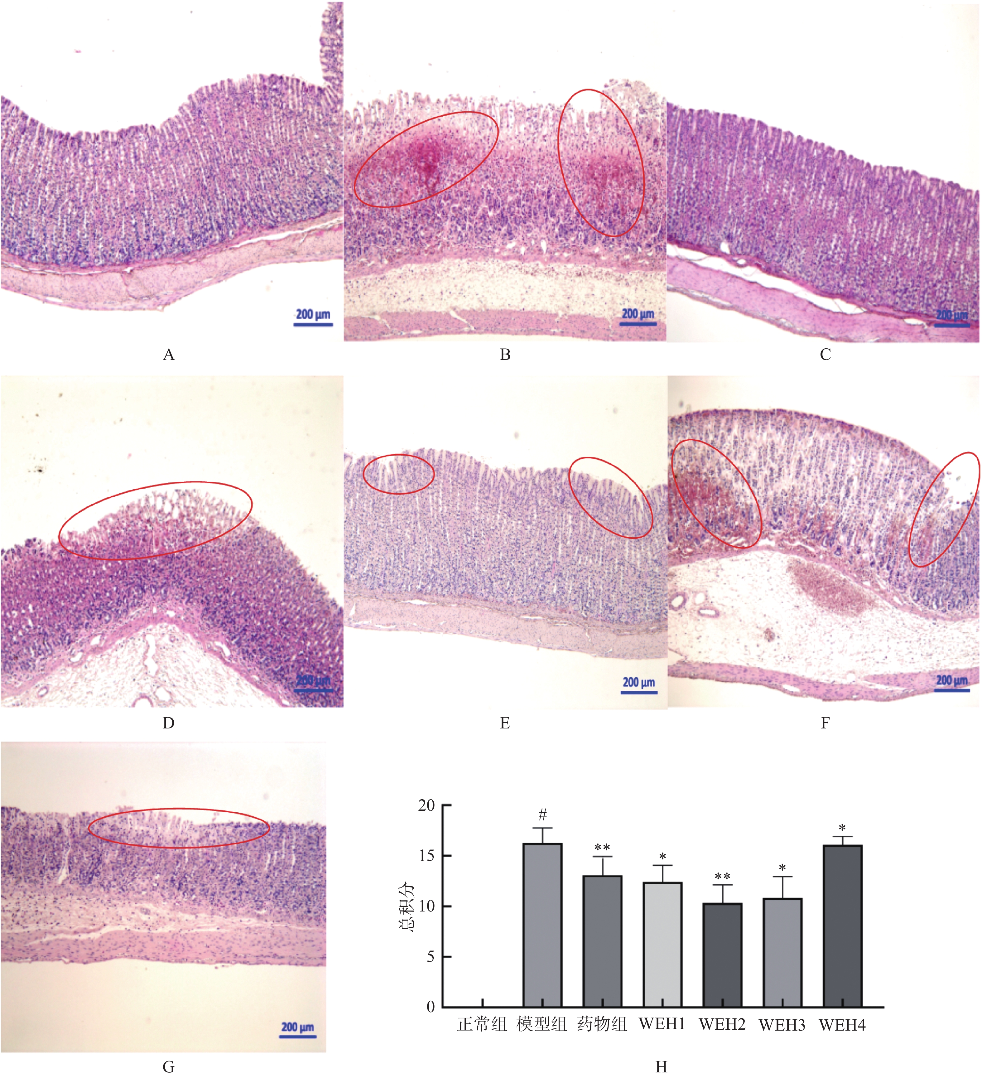
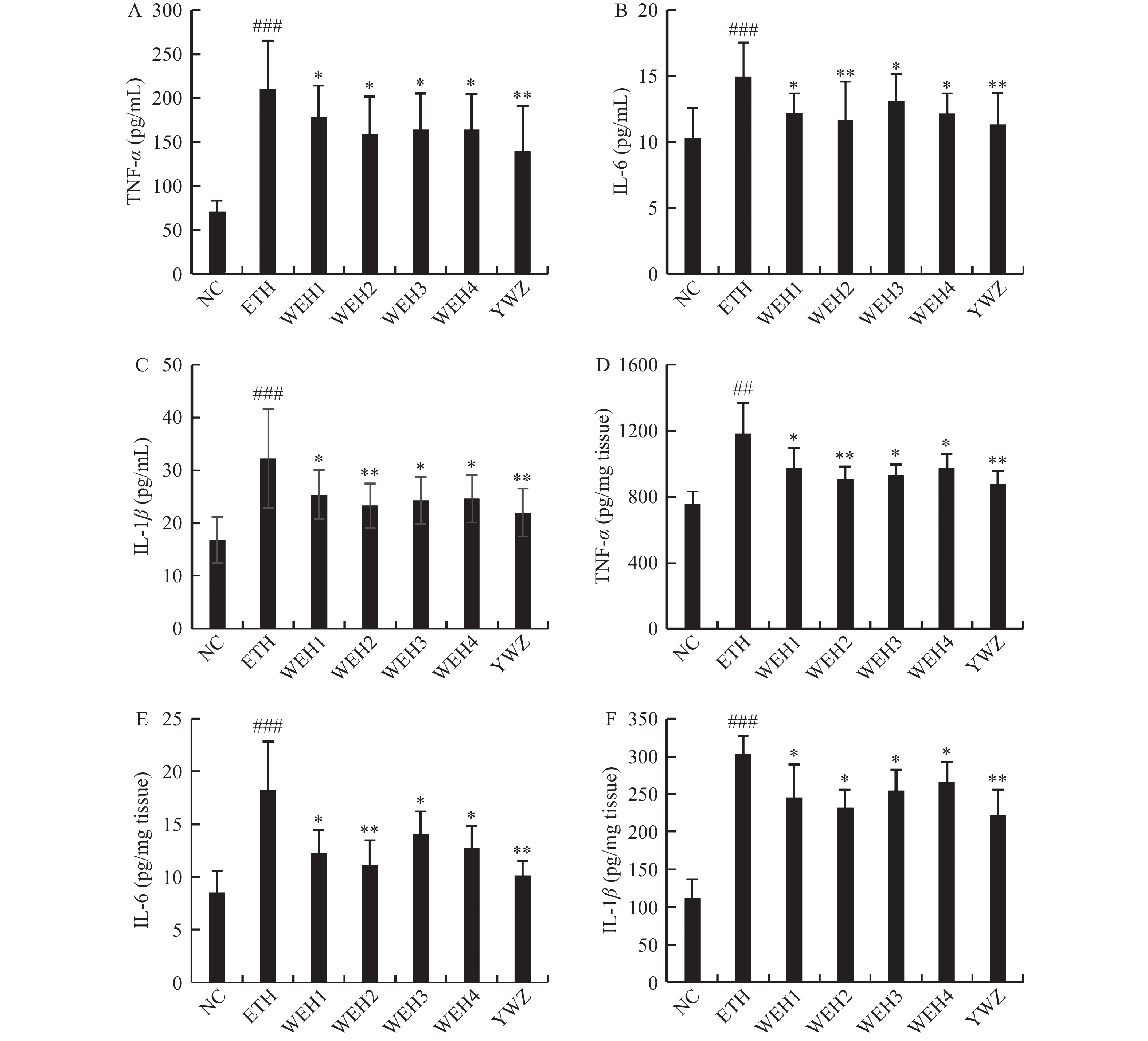
  • 摘要: 以无水乙醇为诱导剂,构建大鼠急性胃黏膜损伤模型,研究几种不同方式制备的猴头菇粗提物对无水乙醇诱导的急性胃黏膜损伤模型的保护作用。雌性SD大鼠随机分为7组(n=12):正常对照组(NC)、模型对照组(ETH)、猴头菇子实体多糖粗提物干预组(WEH1)、猴头菇菌丝体多糖粗提物干预组(WEH2)、猴头菇水提粗提物干预组(WEH3)、液态发酵水提粗提物干预组(WEH4)及枸橼酸铋钾颗粒药物组(YWZ)。各样品组根据体重变化调整样品灌胃剂量(10 mL/kg),样品给予167 mg/kg,枸橼酸铋钾颗粒(0.24 g/kg,含铋24.1 mg)连续灌胃30 d,正常对照组和模型组直接给予蒸馏水,采用无水乙醇5 mL/kg灌胃造模,通过对比胃粘膜组织切片损伤程度、炎症因子水平及抗氧化能力,结果显示:与模型组相比,试验组大鼠胃黏膜出血、充血、坏死及病变明显减轻,其病理总积分呈现显著性差异(P<0.05),超氧化物歧化酶(SOD)、谷胱甘肽(GSH)活性显著升高(P<0.05),丙二醛(MDA)含量、血清和胃组织中肿瘤坏死因子-α(TNF-α)、白细胞介素-6(IL-6)、白细胞介素-1β(IL-1β)炎症因子水平显著降低(P<0.05)。综上,几种猴头菇粗提物均对无水乙醇所诱导的大鼠胃黏膜损伤具有不同程度的保护作用,其中猴头菇菌丝体多糖粗提物的保护效果最佳,其作用机制可能与抗氧化作用和抗炎作用有关。该研究结果可为不同猴头菇提取物的功能产品开发及推广应用提供研究基础。

     

    Abstract: Using absolute ethanol as an inducer, a rat model of acute gastric mucosal injury was constructed, and the protective effects of Hericium erinaceus crude extract prepared in several different ways on the model of acute gastric mucosal injury induced by absolute ethanol were studied. Female SD rats were randomly divided into 7 groups (n=12): Normal control group (NC), model control group (ETH), Hericium erinaceus fruit body polysaccharide intervention group(WEH1), Hericium erinaceus mycelium polysaccharide intervention group (WEH2), Hericium erinaceus water extract intervention group (WEH3), liquid fermentation water extract intervention group (WEH4) and bismuth potassium citrate granule drug group (YWZ). In each sample groups, the gavage dose (10 mL/kg) of the sample was adjusted according to the weight change, and the sample was given 167 mg/kg, bismuth potassium citrate granules (0.24 g/kg, containing 24.1 mg of bismuth) for continuous intragastric administration for 30 days. Then the normal control group and the model group were directly given distilled water, and 5 mL/kg of absolute ethanol was used to make the model. The degree of injury of gastric mucosal tissue slices, the level of inflammatory factors and the antioxidant capacity were compared. Finally the results showed that comparing with the model group, the experimental group had significantly reduced gastric mucosal bleeding, congestion, necrosis, and pathology, and the total pathological scores were significantly different (P<0.05), the activities of superoxide dismutase (SOD) and glutathione (GSH) were significantly increased (P<0.05), the content of malondialdehyde (MDA), tumor necrosis factor-α in serum and gastric tissue (TNF-α), interleukin-6(IL-6), interleukin-1β (IL-1β) inflammatory factors levels were significantly reduced (P<0.05). So the tests showed that several Hericium erinaceus extracts had varying degrees of protection against gastric mucosal damage in rats induced by absolute ethanol, among of them, the Hericium erinaceus mycelium polysaccharide had the best protective effect, while its mechanism of action might be similar to that of anti- oxidation was related to anti-inflammatory effects. The research results could provide a research foundation for the development and promotion of functional products of different Hericium erinaceus extracts.

     

/

返回文章
返回