• 中国科技期刊卓越行动计划项目资助期刊
  • 中国精品科技期刊
  • EI
  • Scopus
  • CAB Abstracts
  • Global Health
  • 北大核心期刊
  • DOAJ
  • EBSCO
  • 中国核心学术期刊RCCSE A+
  • 中国科技核心期刊CSTPCD
  • JST China
  • FSTA
  • 中国农林核心期刊
  • 中国开放获取期刊数据库COAJ
  • CA
  • WJCI
  • 食品科学与工程领域高质量科技期刊分级目录第一方阵T1
中国精品科技期刊2020
张婉君,张兰. 3M PetrifilmTM快速测试片用于饮料中菌落总数的测定[J]. 食品工业科技,2022,43(1):311−319. doi: 10.13386/j.issn1002-0306.2021040301.
引用本文: 张婉君,张兰. 3M PetrifilmTM快速测试片用于饮料中菌落总数的测定[J]. 食品工业科技,2022,43(1):311−319. doi: 10.13386/j.issn1002-0306.2021040301.
ZHANG Wanjun, ZHANG Lan. Study on Total Plate Count Detection in Beverage by 3M PetrifilmTM Rapid Aerobic Count Plate[J]. Science and Technology of Food Industry, 2022, 43(1): 311−319. (in Chinese with English abstract). doi: 10.13386/j.issn1002-0306.2021040301.
Citation: ZHANG Wanjun, ZHANG Lan. Study on Total Plate Count Detection in Beverage by 3M PetrifilmTM Rapid Aerobic Count Plate[J]. Science and Technology of Food Industry, 2022, 43(1): 311−319. (in Chinese with English abstract). doi: 10.13386/j.issn1002-0306.2021040301.

3M PetrifilmTM快速测试片用于饮料中菌落总数的测定

Study on Total Plate Count Detection in Beverage by 3M PetrifilmTM Rapid Aerobic Count Plate

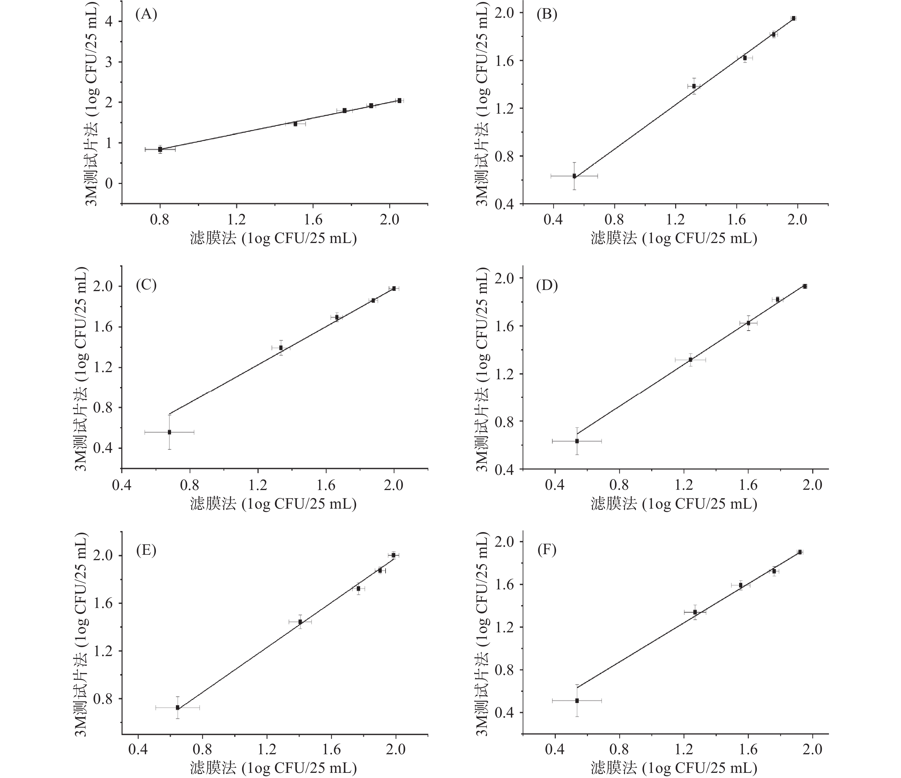
  • 摘要: 使用3M PetrifilmTM快速测试片法(3M测试法)和滤膜法对饮料中的菌落总数进行定量测定,分析两种方法的一致性程度。选用大肠埃希氏菌、金黄色葡萄球菌、爱媛类芽孢杆菌、枯草芽孢杆菌、Asia Siamensis、白色念珠菌和黑曲霉七种菌,对饮料样本进行人工接种并测试。实验结果显示,对于不同菌株及不同污染水平的测试,3M测试法和滤膜法的线性拟合度较好(决定系数R2均>0.95)。且3M测试片法结果回收率均>70%,RSD值(2.9%~34.3%)也均在2020《中国药典》的规定范围内,说明3M测试片法的准确度及精密度较好。对于细菌、真菌分别污染的专属性检验和不同批次的3M测试片的重复性测试中,3M测试片法的回收率>70%,且RSD值(3.6%~34.3%)均在可接受范围之内,表现出良好的专属性和重现性。使用相对正确度和精度剖面分析方法对3M测试片法和滤膜法的结果进行分析,结果显示两种方法具有较好的一致性和等效性。综合以上分析结果,3M测试片法可等效于滤膜法,进行饮料中的菌落总数测定。

     

    Abstract: The 3M PetriFilmTM rapid aerobic count plate method (3M test plate method) and filter membrane method were used to quantitatively determine the total number of bacterial colonies in the beverage, and the consistency of the two methods was analyzed. Seven kinds of bacteria including Escherichia coli, Staphylococcus aureus, Paenibacillus ehimensis, Bacillus subtilis, Asia Siamensis, Candida albicans and Aspergillus niger were used to artificially inoculate and test the beverage samples. The experimental results showed that for different strains and different pollution levels, the linear fitting degree of 3M test plate method and filter membrane method was better (determination coefficient R2>0.95). And the recovery rate of 3M test plate method was more than 70%, and the RSD values (2.9%~34.3%) were within the prescribed range of Pharmacopoeia of the People's Republic of China 2020, indicating that 3M test plate method had better accuracy and precision. For the specificity test of bacterial and fungal contamination and the repeatability test of different batches of 3M test plates, the recovery rate of 3M test plate method was more than 70%, and the RSD values (3.6%~34.3%) were within the acceptable range, showing good specificity and repeatability. The results of 3M test plate method and filter membrane method were analyzed by using relatively trueness and accuracy profileanalysis method. The results showed that the two methods had good consistency and equivalence. Based on the above analysis results, 3M test plate method is equivalent to filter membrane method to determine the total number of colonies in beverages.

     

/

返回文章
返回