• 中国科技期刊卓越行动计划项目资助期刊
  • 中国精品科技期刊
  • 首都科技期刊卓越行动计划
  • EI
  • Scopus
  • CAB Abstracts
  • Global Health
  • 北大核心期刊
  • DOAJ
  • EBSCO
  • 中国核心学术期刊RCCSE A+
  • 中国科技核心期刊CSTPCD
  • JST China
  • FSTA
  • 中国农林核心期刊
  • 中国开放获取期刊数据库COAJ
  • CA
  • WJCI
  • 食品科学与工程领域高质量科技期刊分级目录第一方阵T1
中国精品科技期刊2020
钟芳洁,周炳贤,冯棋琴,等. 复合天然保鲜剂制备及对树仔菜保鲜效果研究J. 食品工业科技,2022,43(3):308−316. doi: 10.13386/j.issn1002-0306.2021050157.
引用本文: 钟芳洁,周炳贤,冯棋琴,等. 复合天然保鲜剂制备及对树仔菜保鲜效果研究J. 食品工业科技,2022,43(3):308−316. doi: 10.13386/j.issn1002-0306.2021050157.
ZHONG Fangjie, ZHOU Bingxian, FENG Qiqin, et al. Study on Preparation of Compound Natural Preservative and Its Effect on Preservation of Sauropus androgynus(L.) Merr. DOI: 10.13386/j.issn1002-0306.2021050157
Citation: ZHONG Fangjie, ZHOU Bingxian, FENG Qiqin, et al. Study on Preparation of Compound Natural Preservative and Its Effect on Preservation of Sauropus androgynus(L.) Merr. DOI: 10.13386/j.issn1002-0306.2021050157

复合天然保鲜剂制备及对树仔菜保鲜效果研究

Study on Preparation of Compound Natural Preservative and Its Effect on Preservation of Sauropus androgynus(L.) Merr.

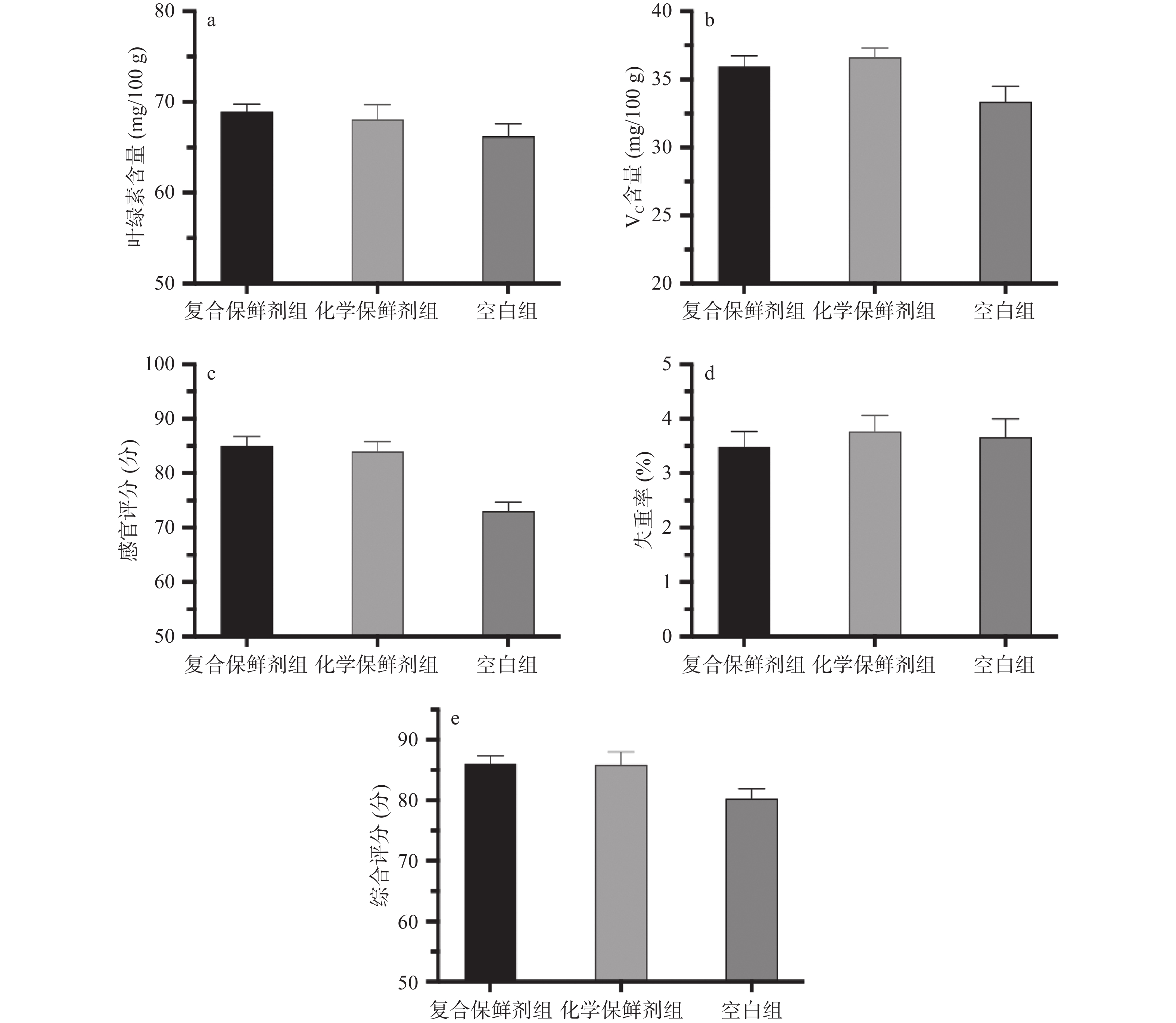
  • 摘要: 为了筛选出适于树仔菜的复合天然保鲜剂,本实验以海南树仔菜为实验材料,在单因素实验的基础上进行正交试验,考察壳聚糖、茶树油纳米乳液、茶皂素复配溶液处理对储存期间树仔菜叶绿素含量、VC含量、感官品质及失重率的影响。再以蒸馏水处理组作对照,比较最佳配方的复合天然保鲜剂与传统化学保鲜剂(二氧化氯)对树仔菜的保鲜效果。结果表明,复合保鲜剂最佳配方为茶皂素2 mg/mL、茶树油纳米乳液4 mg/mL、壳聚糖15 mg/mL,用该配方处理树仔菜,储存6 d,其叶绿素和VC损失较少,失重率低,能较好地保持其感官品质,保鲜效果的综合评分为86.05分。复合天然保鲜剂和化学保鲜剂的保鲜效果均明显优于对照组,且复合天然保鲜剂的保鲜效果略优于传统化学保鲜剂,尤其在保持叶绿素含量及减少失重方面效果更佳。本实验筛选的复合天然保鲜剂对树仔菜有良好的保鲜效果,在树仔菜的绿色保鲜上具有巨大的应用前景。

     

    Abstract: The study aimed to screen out the compound natural preservative suitable for Sauropus androgynus(L.) Merr.. In this experiment, the Hainan Sauropus androgynus(L.) Merr. was as experiment material, and three natural preservatives were investigated by L9(34) orthogonal test based on single factor experiment. The effects of chitosan, tea tree oil nanoemulsion and tea saponin solution on chlorophyll content, VC content, sensory quality and weight loss rate of Sauropus androgynus(L.) Merr. during storage were investigated. Then the distilled water treatment group was used as the control, the preservation effect was compared between the natural preservative and the traditional chemical preservative(chlorine dioxide). The results showed that the optimal compound preservative formula was tea saponin 2 mg/mL, tea tree oil nanoemulsion 4 mg/mL and chitosan solution 15 mg/mL. With this formula, the contents of chlorophyll and VC lost less, and the weight loss rate was low, and the sensory quality of Sauropus androgynus(L.) Merr. could be maintained well after 6 days storage. The comprehensive score of preservation effect was 86.05. The preservation effects of the compound natural preservative and the chemical preservative were better than that of the control group, and the preservation effect of compound natural preservative was slightly better than that of traditional chemical preservative, especially in maintaining chlorophyll content and reducing weight loss. The compound natural preservative selected in this experiment has a good effect on the preservation of Sauropus androgynus(L.) Merr.. And it has great application prospect as the green preservative of Sauropus androgynus(L.) Merr..

     

/

返回文章
返回