• 中国科技期刊卓越行动计划项目资助期刊
  • 中国精品科技期刊
  • EI
  • Scopus
  • CAB Abstracts
  • Global Health
  • 北大核心期刊
  • DOAJ
  • EBSCO
  • 中国核心学术期刊RCCSE A+
  • 中国科技核心期刊CSTPCD
  • JST China
  • FSTA
  • 中国农林核心期刊
  • 中国开放获取期刊数据库COAJ
  • CA
  • WJCI
  • 食品科学与工程领域高质量科技期刊分级目录第一方阵T1
中国精品科技期刊2020
周楠,黄钧,文平,等. 季节及制曲工艺对麸醋曲微生物群落结构及代谢组分的影响J. 食品工业科技,2022,43(1):155−162. doi: 10.13386/j.issn1002-0306.2021050223.
引用本文: 周楠,黄钧,文平,等. 季节及制曲工艺对麸醋曲微生物群落结构及代谢组分的影响J. 食品工业科技,2022,43(1):155−162. doi: 10.13386/j.issn1002-0306.2021050223.
ZHOU Nan, HUANG Jun, WEN Ping, et al. Effects of Seasons and Daqu- making Process on the Microbial Community Structure and Metabolites of Bran CuquJ. Science and Technology of Food Industry, 2022, 43(1): 155−162. (in Chinese with English abstract). doi: 10.13386/j.issn1002-0306.2021050223.
Citation: ZHOU Nan, HUANG Jun, WEN Ping, et al. Effects of Seasons and Daqu- making Process on the Microbial Community Structure and Metabolites of Bran CuquJ. Science and Technology of Food Industry, 2022, 43(1): 155−162. (in Chinese with English abstract). doi: 10.13386/j.issn1002-0306.2021050223.

季节及制曲工艺对麸醋曲微生物群落结构及代谢组分的影响

Effects of Seasons and Daqu- making Process on the Microbial Community Structure and Metabolites of Bran Cuqu

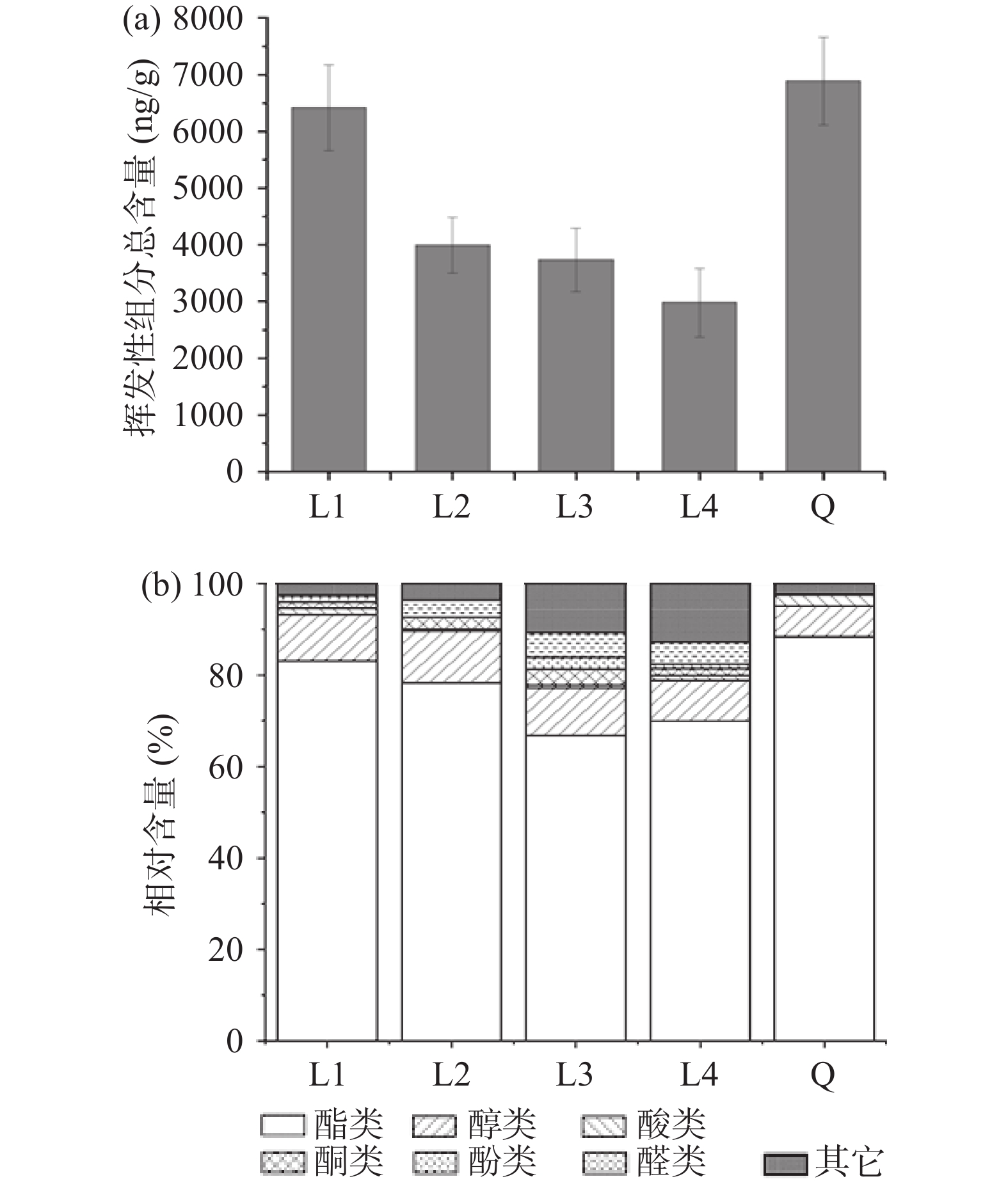
  • 摘要: 本文描述了以传统麸醋曲为对象,生产季节及工艺对其微生物群落及代谢组分的影响规律。基于Illumina MiSeq测序平台和色谱技术的研究结果表明,季节及工艺均显著影响了醋曲的微生物多样性及代谢组分。春(L1)曲和夏(L2)曲真菌和细菌的物种数量均高于秋(L3)曲和冬(L4)曲的。春曲和夏曲的真菌群落结构相似,二者的挥发性组分轮廓的相似度也较高。曲霉属(Aspergillus)是L醋曲最主要的优势真菌属,其丰度在L1曲高达70.74%。在所有醋曲中,春曲的糖化力和液化力均为最高。L1的糖化力、液化力及有机酸总含量均显著高于千禾春(Q)曲的,其群落结构间差异显著,而Q曲中苯乙醇合成的相关酶表达程度高于L1曲的。该研究结果为醋曲的生产工艺优化及科学管理提供了理论依据。

     

    Abstract: In the present study, the effects of the seasons and technique on the microbial community and metabolites of traditional bran Cuqu were investigated by the Illumina MiSeq platform and chromatography technology, respectively. These results showed that both significantly impacted the community diversities and metabolic constituents. The abundances of the fungal and bacterial community in Cuqu manufactured in spring (L1) and summer (L2) were higher than those in the other two seasons, i.e., autumn (L3) and winter (L4). Besides, the fungal community structure of spring-Cuqu was similar to that of summer-Cuqu, so was the volatile profile displayed. Of them, Aspergillus in the L type of Cuqu was dominant and its abundance in L1 Cuqu was 70.74%. Moreover, the liquefying and saccharifying activity of L1 Cuqu were the highest among these samples. The liquefying activity, saccharifying activity, and total organic acid content of L1 Cuqu were significantly higher than those of Q Cuqu. Besides, there were significant differences in microbial community structures between them. The enzymes related to the biosynthesis of phenethyl alcohol in Q Cuqu showed a higher expression level than those in L1. The results of this study might provide a theoretical foundation for the optimization of the production process and scientific management of Cuqu.

     

/

返回文章
返回