• 中国科技期刊卓越行动计划项目资助期刊
  • 中国精品科技期刊
  • 首都科技期刊卓越行动计划
  • EI
  • Scopus
  • CAB Abstracts
  • Global Health
  • 北大核心期刊
  • DOAJ
  • EBSCO
  • 中国核心学术期刊RCCSE A+
  • 中国科技核心期刊CSTPCD
  • JST China
  • FSTA
  • 中国农林核心期刊
  • 中国开放获取期刊数据库COAJ
  • CA
  • WJCI
  • 食品科学与工程领域高质量科技期刊分级目录第一方阵T1
中国精品科技期刊2020
朱谋,巩晓晨,刘冬阳,等. 人参皂苷Rb1对改善2型糖尿病大鼠糖脂代谢紊乱的作用J. 食品工业科技,2022,43(3):367−373. doi: 10.13386/j.issn1002-0306.2021050272.
引用本文: 朱谋,巩晓晨,刘冬阳,等. 人参皂苷Rb1对改善2型糖尿病大鼠糖脂代谢紊乱的作用J. 食品工业科技,2022,43(3):367−373. doi: 10.13386/j.issn1002-0306.2021050272.
ZHU Mou, GONG Xiaochen, LIU Dongyang, et al. Effect of Ginsenoside Rb1 on the Disorder of Glucose and Lipid Metabolism in Type 2 Diabetic MiceJ. Science and Technology of Food Industry, 2022, 43(3): 367−373. (in Chinese with English abstract). doi: 10.13386/j.issn1002-0306.2021050272.
Citation: ZHU Mou, GONG Xiaochen, LIU Dongyang, et al. Effect of Ginsenoside Rb1 on the Disorder of Glucose and Lipid Metabolism in Type 2 Diabetic MiceJ. Science and Technology of Food Industry, 2022, 43(3): 367−373. (in Chinese with English abstract). doi: 10.13386/j.issn1002-0306.2021050272.

人参皂苷Rb1对改善2型糖尿病大鼠糖脂代谢紊乱的作用

Effect of Ginsenoside Rb1 on the Disorder of Glucose and Lipid Metabolism in Type 2 Diabetic Mice

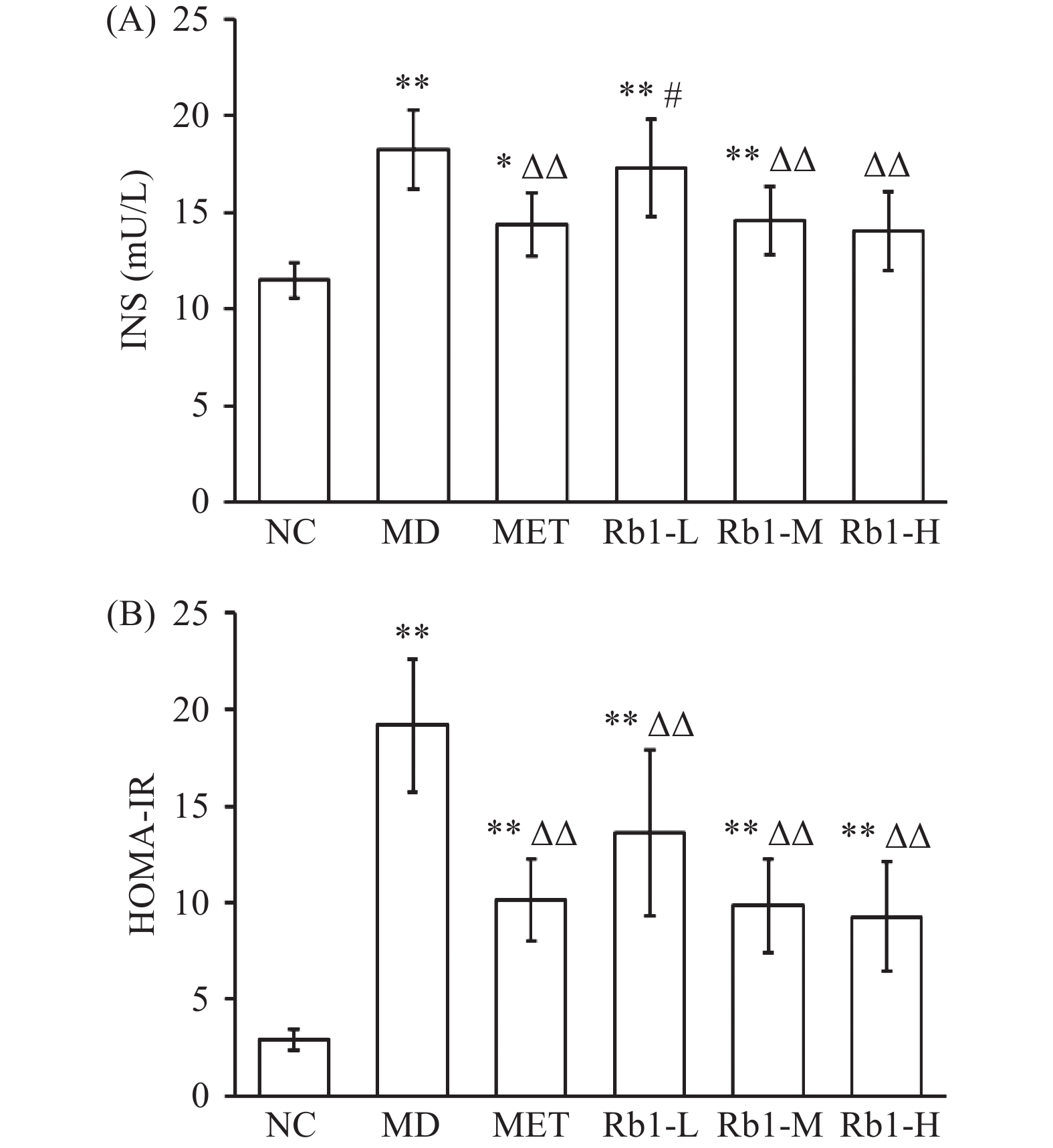
  • 摘要: 目的:研究人参皂苷Rb1(Ginsenoside Rb1)对2型糖尿病大鼠糖脂代谢紊乱、氧化应激和炎症反应的影响。方法:采用高糖高脂饮食诱导,腹腔注射链脲佐菌素(Streptozotocin,STZ)构建2型糖尿病大鼠模型。大鼠随机分成空白对照组、模型组、人参皂苷Rb1高、中、低剂量组(45、30、15 mg/kg)和阳性对照组。实验期间记录大鼠体重变化,测定空腹血糖(FBG);给药8周后进行口服葡萄糖耐量实验(OGTT);测定大鼠血清糖脂代谢生化指标;采用酶联免疫法测定血清胰岛素(INS)并计算胰岛素抵抗指数(HOMA-IR)、肝脏组织中丙二醛(MDA)、超氧化物歧化酶(SOD)、谷胱甘肽过氧化物酶(GSH-Px)和过氧化氢酶(CAT)水平;测定大鼠血清及肝脏组织肿瘤坏死因子α(TNF-α)和白介素6(IL-6)水平。结果:与模型组相比,人参皂苷Rb1给药组均可不同程度降低模型大鼠空腹血糖值,显著降低胰岛素水平和胰岛素抵抗指数(P<0.05);中、高剂量组可以显著降低血清TC、TG、LDL-C含量,HDL-C含量极显著增多(P<0.01);肝脏指标异常程度明显缓解,ALT、AST含量明显下降,有效降低MDA水平,CAT、SOD和GSH-Px活性明显增强;促炎因子TNF-α和IL-6含量极显著减少(P<0.01)。结论:人参皂苷Rb1可有效调节2糖尿病大鼠血清血脂水平紊乱,改善胰岛素抵抗,增强机体抗氧化能力,降低炎症反应,以中、高剂量为佳。

     

    Abstract: Objective: To study the effects of ginsenoside Rb1 on glucose and lipid metabolism disorder, oxidative stress and inflammatory reaction in type 2 diabetic rats. Methods: The rat model of type 2 diabetes was induced by high glucose and high fat diet and intraperitoneal injection of streptozotocin (STZ). Rats were randomly divided into blank control group, model group, ginsenoside Rb1 high, medium and low dose groups (45, 30 and 15 mg/kg) and positive control group. During the experiment, the changes of body weight and fasting blood glucose (FBG) were recorded; Oral glucose tolerance test (OGTT) was performed 8 weeks after administration. The serum insulin (INS), HOMA-IR, MDA, SOD, GSH-Px and CAT in liver tissue were measured by enzyme-linked immunosorbent assay (ELISA), and tumor necrosis factor α (TNF-α ) and interleukin-6 (IL-6) levels in serum and liver tissue were measured. Results: Compared with the model group, ginsenoside Rb1 group could reduce the fasting blood glucose, insulin level and insulin resistance index (P<0.05); The contents of TC, TG and LDL-C in serum were significantly decreased and the content of HDL-C was significantly increased in middle and high dose groups (P<0.01). The abnormal degree of liver index was significantly relieved, the content of ALT and AST decreased significantly, the level of MDA decreased effectively, and the activities of CAT, SOD and GSH-Px increased significantly. Proinflammatory factor TNF-α and IL-6 levels were significantly decreased (P<0.01). Conclusion: Ginsenoside Rb1 can effectively regulate the disorder of serum and lipid level, improve insulin resistance, enhance the body's antioxidant capacity, and reduce inflammation in 2-diabetic rats, with medium and high doses as the best.

     

/

返回文章
返回