• 中国科技期刊卓越行动计划项目资助期刊
  • 中国精品科技期刊
  • 首都科技期刊卓越行动计划
  • EI
  • Scopus
  • CAB Abstracts
  • Global Health
  • 北大核心期刊
  • DOAJ
  • EBSCO
  • 中国核心学术期刊RCCSE A+
  • 中国科技核心期刊CSTPCD
  • JST China
  • FSTA
  • 中国农林核心期刊
  • 中国开放获取期刊数据库COAJ
  • CA
  • WJCI
  • 食品科学与工程领域高质量科技期刊分级目录第一方阵T1
中国精品科技期刊2020
胡迎丽,黄金福,杨建林,等. 松香基大孔吸附树脂对三七总皂苷的吸附特性研究J. 食品工业科技,2022,43(4):73−81. doi: 10.13386/j.issn1002-0306.2021060117.
引用本文: 胡迎丽,黄金福,杨建林,等. 松香基大孔吸附树脂对三七总皂苷的吸附特性研究J. 食品工业科技,2022,43(4):73−81. doi: 10.13386/j.issn1002-0306.2021060117.
HU Yingli, HUANG Jinfu, YANG Jianlin, et al. Adsorption Characteristics of Rosin-based Macroporous Adsorption Resin for Panax notoginseng SaponinJ. Science and Technology of Food Industry, 2022, 43(4): 73−81. (in Chinese with English abstract). doi: 10.13386/j.issn1002-0306.2021060117.
Citation: HU Yingli, HUANG Jinfu, YANG Jianlin, et al. Adsorption Characteristics of Rosin-based Macroporous Adsorption Resin for Panax notoginseng SaponinJ. Science and Technology of Food Industry, 2022, 43(4): 73−81. (in Chinese with English abstract). doi: 10.13386/j.issn1002-0306.2021060117.

松香基大孔吸附树脂对三七总皂苷的吸附特性研究

Adsorption Characteristics of Rosin-based Macroporous Adsorption Resin for Panax notoginseng Saponin

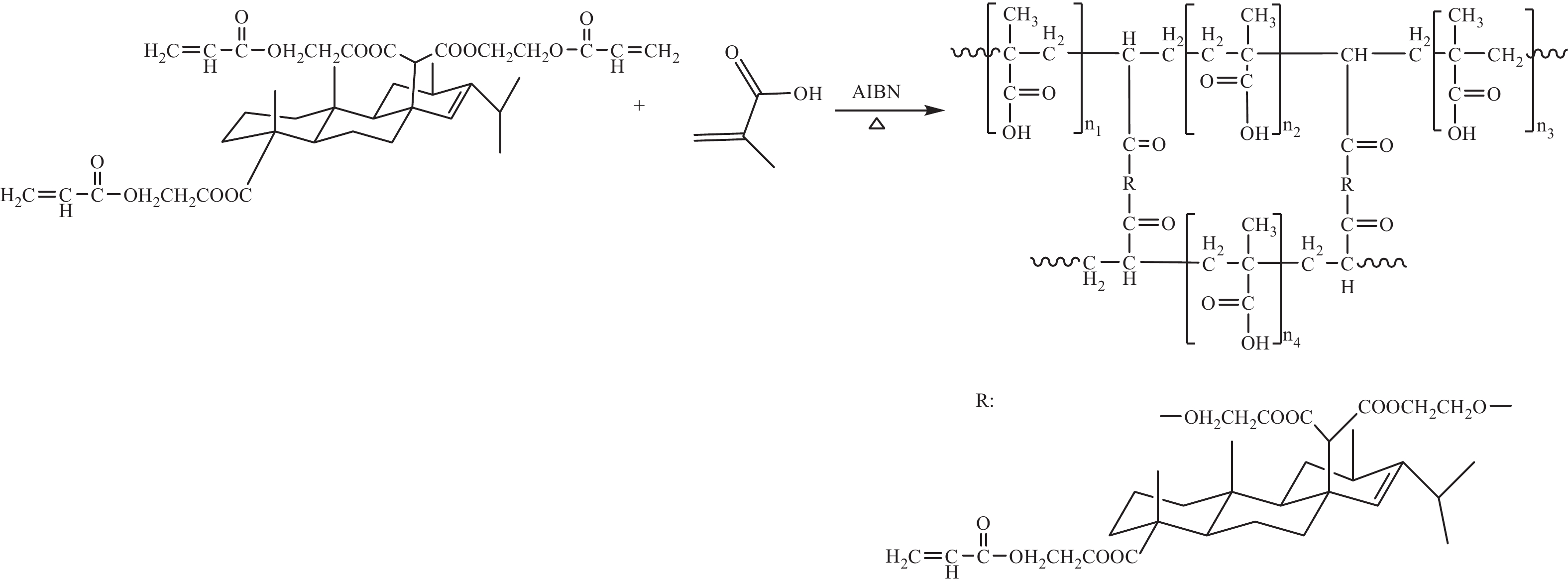
  • 摘要: 为了开发出一种分离纯化三七总皂苷的绿色新型吸附剂,本文合成了分别带有羧基(-COOH)、酯基(-OR)、羟基(-OH)的3种松香基大孔吸附树脂,采用静态吸附法对制备的三种松香基大孔树脂吸附性能进行初步筛选,优选最佳树脂并研究其对三七总皂苷的吸附机理。结果表明,以-COOH为功能基的大孔树脂吸附效果最优;其对三七总皂苷的吸附过程符合Langmuir模型,吸附动力学与准二级方程更吻合,吸附热力学参数ΔS为159.46 J·mol−1·K−1,ΔH为30.73 kJ·mol−1,表明吸附是熵驱动的自发吸热过程;用40%乙醇解吸三七总皂苷,其纯度可由粗提液的35.37%提升到74.56%,树脂重复使用10次后吸附量几乎没有变化;通过量子化学计算验证了以-COOH为功能基的大孔吸附树脂在吸附三七总皂苷时表现出的优异性能主要原因是氢键的作用;细胞毒性实验显示树脂安全环保,且安全性优于商业化树脂D-101。因此,制备的带有羧基的松香基大孔树脂适用于三七总皂苷的分离纯化,并具有一定的应用前景。

     

    Abstract: In this paper, three kinds of rosin-based macroporous adsorption resins with carboxyl group (-COOH), ester group (-OR) and hydroxyl group (-OH) were synthesized. The adsorption characteristics of the three resins for Panax notoginseng saponins were investigated by static adsorption method. The results showed that the adsorption effect of the macroporous resin with -COOH as functional group was the best, the adsorption process accorded with the Langmuir model, and the adsorption kinetics was more consistent with the quasi-second order equation, the adsorption thermodynamic parameters ΔS was 159.46 J·mol−1·K−1, ΔH was 30.73 kJ·mol−1, indicating that the adsorption was a spontaneous endothermic process driven by entropy. When Panax notoginseng saponins were desorbed with 40% ethanol, the purity of Panax notoginseng saponins could be increased from 35.37% to 74.56%. The adsorption capacity of the resin was almost unchanged after being reused for 10 times. Through quantum chemical calculation, it was proved that the excellent performance of the macroporous adsorption resin with-COOH as functional group in the adsorption of Panax notoginseng saponins was mainly due to the role of hydrogen bond. The cytotoxicity test showed that the resin was safe and environmentally friendly, and the safety of the resin was better than that of the commercial resin D-101. Therefore, the prepared rosin-based macroporous resin with carboxyl groups was suitable for the separation and purification of Panax notoginseng saponins, and had certain application prospects.

     

/

返回文章
返回