• 中国科技期刊卓越行动计划项目资助期刊
  • 中国精品科技期刊
  • 首都科技期刊卓越行动计划
  • EI
  • Scopus
  • CAB Abstracts
  • Global Health
  • 北大核心期刊
  • DOAJ
  • EBSCO
  • 中国核心学术期刊RCCSE A+
  • 中国科技核心期刊CSTPCD
  • JST China
  • FSTA
  • 中国农林核心期刊
  • 中国开放获取期刊数据库COAJ
  • CA
  • WJCI
  • 食品科学与工程领域高质量科技期刊分级目录第一方阵T1
中国精品科技期刊2020
沈晓静,黄璐璐,聂凡秋,等. 云南小粒咖啡花多糖提取工艺优化及其抗氧化活性分析J. 食品工业科技,2022,43(4):238−245. doi: 10.13386/j.issn1002-0306.2021060237.
引用本文: 沈晓静,黄璐璐,聂凡秋,等. 云南小粒咖啡花多糖提取工艺优化及其抗氧化活性分析J. 食品工业科技,2022,43(4):238−245. doi: 10.13386/j.issn1002-0306.2021060237.
SHEN Xiaojing, HUANG Lulu, NIE Fanqiu, et al. Study on Optimization of Extraction Technology and Antioxidant Activity of Polysaccharides from Yunnan Coffea arabica FlowersJ. Science and Technology of Food Industry, 2022, 43(4): 238−245. (in Chinese with English abstract). doi: 10.13386/j.issn1002-0306.2021060237.
Citation: SHEN Xiaojing, HUANG Lulu, NIE Fanqiu, et al. Study on Optimization of Extraction Technology and Antioxidant Activity of Polysaccharides from Yunnan Coffea arabica FlowersJ. Science and Technology of Food Industry, 2022, 43(4): 238−245. (in Chinese with English abstract). doi: 10.13386/j.issn1002-0306.2021060237.

云南小粒咖啡花多糖提取工艺优化及其抗氧化活性分析

Study on Optimization of Extraction Technology and Antioxidant Activity of Polysaccharides from Yunnan Coffea arabica Flowers

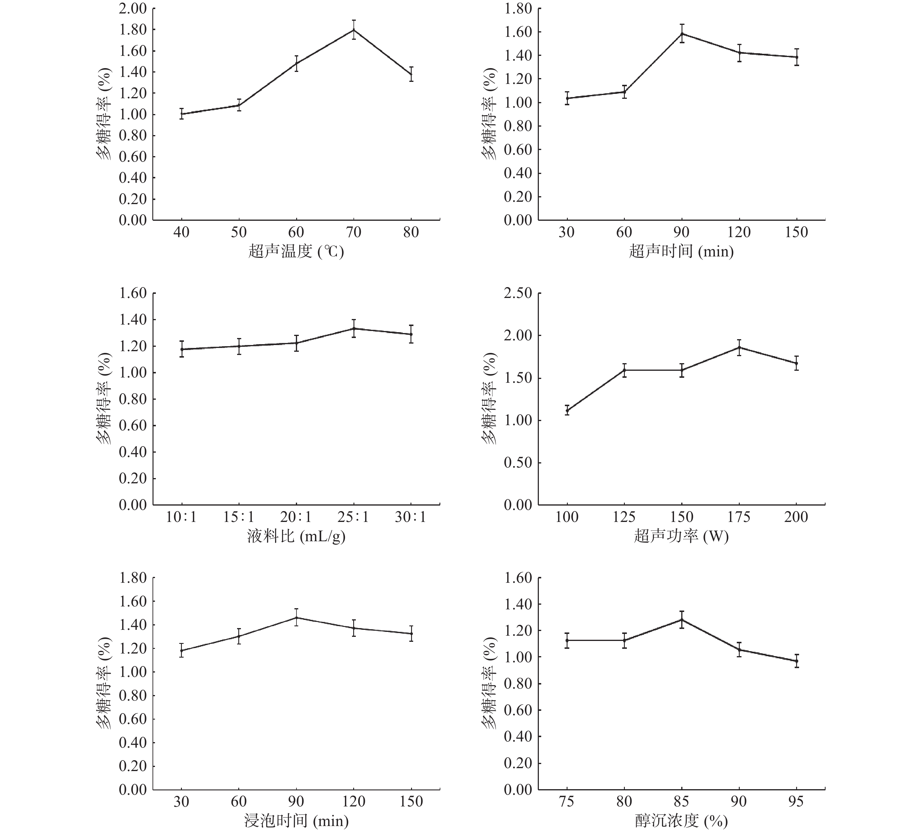
  • 摘要: 本文旨在优化咖啡花多糖(ACP)的提取工艺,并评价其抗氧化活性。以咖啡花多糖得率为评价指标,通过对超声温度、超声时间、液料比、超声功率、浸泡时间和醇沉浓度6个工艺条件对咖啡花多糖得率影响的考察,选取了影响较大的超声温度、超声时间和超声功率3个工艺条件进行响应面分析。再通过DPPH、ABTS+自由基清除实验和FRAP法评估其抗氧化能力。结果表明,超声提取咖啡花多糖的最佳工艺条件为超声温度69.5 ℃,超声时间93 min,超声功率175 W,液料比10:1 mL/g,浸泡时间30 min,乙醇浓度80%,该条件下多糖得率为2.292%。结果表明,咖啡花多糖的DPPH自由基清除能力IC50值为3.844 mg·mL−1;以Trolox当量来表示其ABTS+自由基清除能力为0.921 mmol Trolox/g ACP;以Fe2+当量来表示其还原能力为0.0565 mmol Fe2+/g ACP,咖啡花多糖具有一定的抗氧化活性。本研究将为咖啡副产品的综合利用与开发提供一定的参考理论依据。

     

    Abstract: To optimize the extraction technology and study antioxidant activity of polysaccharide from coffee flower (ACP), ultrasonic temperature, ultrasonic time, ratio of fluid-solid, ultrasonic power, sample immersion time and volume percentage of ethanol were investigated by using polysaccharide extraction yield as indicator. Then ultrasonic temperature, ultrasonic time and ultrasonic power were used as mainly influence factors, the extraction technology was optimized by response surface method. Antioxidant activity of ACP was investigated by DPPH· and ABTS+· scavenging effects, and FRAP assays. The results demonstrated that the ultrasonic extraction optimum technological conditions were: Ultrasonic temperature 69.5 ℃, ultrasonic time 93 min, ultrasonic power 175 W, ratio of fluid-solid 10:1 mL/g, sample immersion time 30 min, and volume percentage of ethanol 80%. Under the the yield of polysaccharides was 2.292%. The results indicated that the value of IC50 based on DPPH· scavenging effect of ACP was 3.844 mg·mL−1, the ABTS+· scavenging activity was 0.921 mmol Trolox/g ACP. The FRAP values of ACP by FRAP assay was 0.0565 mmol Fe2+/g ACP, which showed that ACP had weak antioxidant activity. This study would provide a theoretical basis for the comprehensive utilization and development of coffee by-products.

     

/

返回文章
返回