• 中国科技期刊卓越行动计划项目资助期刊
  • 中国精品科技期刊
  • EI
  • Scopus
  • CAB Abstracts
  • Global Health
  • 北大核心期刊
  • DOAJ
  • EBSCO
  • 中国核心学术期刊RCCSE A+
  • 中国科技核心期刊CSTPCD
  • JST China
  • FSTA
  • 中国农林核心期刊
  • 中国开放获取期刊数据库COAJ
  • CA
  • WJCI
  • 食品科学与工程领域高质量科技期刊分级目录第一方阵T1
中国精品科技期刊2020
童薏霖,范方媛,田宇倩,等. 白茶感官滋味特征属性及相关贡献组分研究J. 食品工业科技,2022,43(7):286−293. doi: 10.13386/j.issn1002-0306.2021060260.
引用本文: 童薏霖,范方媛,田宇倩,等. 白茶感官滋味特征属性及相关贡献组分研究J. 食品工业科技,2022,43(7):286−293. doi: 10.13386/j.issn1002-0306.2021060260.
TONG Yilin, FAN Fangyuan, TIAN Yuqian, et al. Taste-Characteristic Attributes and Related Contribution Compounds of White TeaJ. Science and Technology of Food Industry, 2022, 43(7): 286−293. (in Chinese with English abstract). doi: 10.13386/j.issn1002-0306.2021060260.
Citation: TONG Yilin, FAN Fangyuan, TIAN Yuqian, et al. Taste-Characteristic Attributes and Related Contribution Compounds of White TeaJ. Science and Technology of Food Industry, 2022, 43(7): 286−293. (in Chinese with English abstract). doi: 10.13386/j.issn1002-0306.2021060260.

白茶感官滋味特征属性及相关贡献组分研究

Taste-Characteristic Attributes and Related Contribution Compounds of White Tea

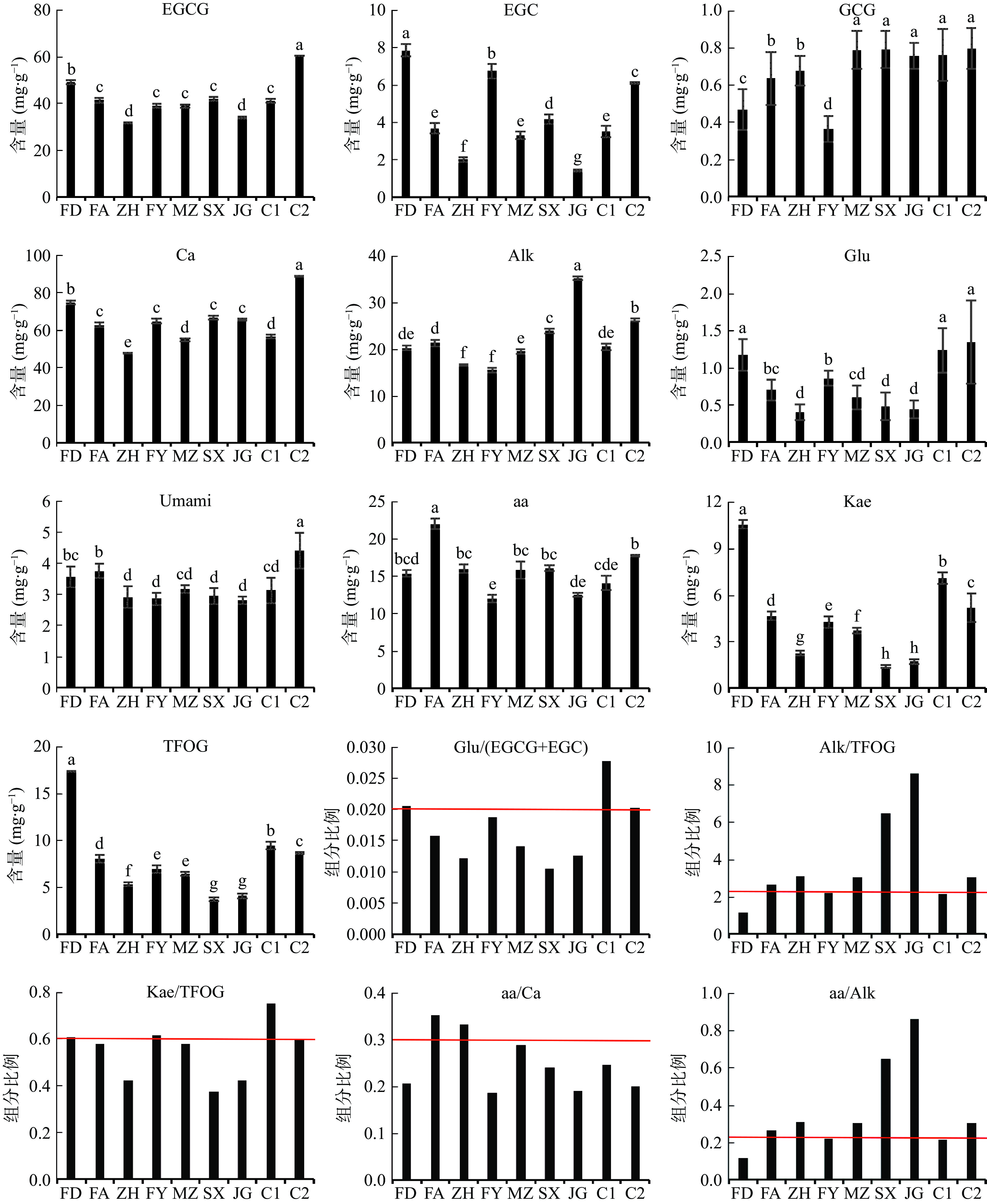
  • 摘要: 本研究针对代表性白茶样品,探究白茶的感官滋味特征属性及相关贡献组分。以福鼎大白茶、福安大白茶、春雨2号等9个代表茶树品种原料制成的白茶为研究对象,采用标准茶叶感官审评方法分析滋味特征属性、高效液相色谱法(HPLC)等定量检测滋味化学组分,结合化学计量学分析手段揭示特征属性与化学组分间的相关关系。本试验条件下,9类不同品种的白茶表现出清、鲜、甘、醇、厚、浓6种主要滋味特征属性。谷氨酸含量与白茶鲜味感呈正相关(R=0.525)。滋味属性清与较高的谷氨酸与表没食子儿茶素没食子酸酯、表没食子儿茶素总和的比值(Glu/(EGCG+EGC))呈较强正相关(R=0.695),与山奈苷总量与黄酮醇苷总量比值(Kae/TFOG)呈正相关(R=0.452)。同时茶汤中较高的氨基酸总量/儿茶素总量比值(aa/Ca>0.30)和氨基酸总量/生物碱总量比值(aa/Alk>0.90)对白茶醇、厚滋味特征有较大贡献。

     

    Abstract: This study focused on the taste-characteristic attributes of representative white teas and related taste-chemical compositions. In this study, the white tea made from 9 representive cultivars were taken as research objects, including Fuding Dabaicha, Fuan Dabaicha, Chun Yu2 etc. Sensory evaluation according to the national standard was used for taste-characteristic attributes analysis, high-performance liquid chromatography(HPLC) and other techniques were used for chemical detection, and chemometrics analysis was used to explore the relationship between taste-characteristic attributes and chemical compositions. In this study, 9 types of white teas of different cultivars reflected six main taste-characteristic attributes: Clear, fresh, sweet, mellow, thick, and strong. Glutamic acid was correlated with the umami taste attribute in white tea samples(R=0.525) positively. The fresh taste was positive correlated with ratio of glutamate to the sum of epigallocatechin gallate and epigallocatechin(Glu/(EGCG+EGC)) strongly(R=0.695). And the ratio of total kaempferide to total flavonol glycoside(Kae/TFOG) was positively correlated with the fresh taste(R=0.452). Meanwhile, the high ratio of total amino acids to total catechins(aa/Ca>0.30) and ratio of total amino acids to total alkaloids(aa/Alk>0.90) contributing to the mellow and thick taste in the samples greatly.

     

/

返回文章
返回