• 中国科技期刊卓越行动计划项目资助期刊
  • 中国精品科技期刊
  • 首都科技期刊卓越行动计划
  • EI
  • Scopus
  • CAB Abstracts
  • Global Health
  • 北大核心期刊
  • DOAJ
  • EBSCO
  • 中国核心学术期刊RCCSE A+
  • 中国科技核心期刊CSTPCD
  • JST China
  • FSTA
  • 中国农林核心期刊
  • 中国开放获取期刊数据库COAJ
  • CA
  • WJCI
  • 食品科学与工程领域高质量科技期刊分级目录第一方阵T1
中国精品科技期刊2020
费忠南,万民熙,樊飞,等. 雨生红球藻喷雾干燥工艺的建立与放大J. 食品工业科技,2022,43(5):209−216. doi: 10.13386/j.issn1002-0306.2021060274.
引用本文: 费忠南,万民熙,樊飞,等. 雨生红球藻喷雾干燥工艺的建立与放大J. 食品工业科技,2022,43(5):209−216. doi: 10.13386/j.issn1002-0306.2021060274.
FEI Zhongnan, WAN Minxi, FAN Fei, et al. Establishment and Scale-up of Spray Drying Technology for Haematococcus pluvialisJ. Science and Technology of Food Industry, 2022, 43(5): 209−216. (in Chinese with English abstract). doi: 10.13386/j.issn1002-0306.2021060274.
Citation: FEI Zhongnan, WAN Minxi, FAN Fei, et al. Establishment and Scale-up of Spray Drying Technology for Haematococcus pluvialisJ. Science and Technology of Food Industry, 2022, 43(5): 209−216. (in Chinese with English abstract). doi: 10.13386/j.issn1002-0306.2021060274.

雨生红球藻喷雾干燥工艺的建立与放大

Establishment and Scale-up of Spray Drying Technology for Haematococcus pluvialis

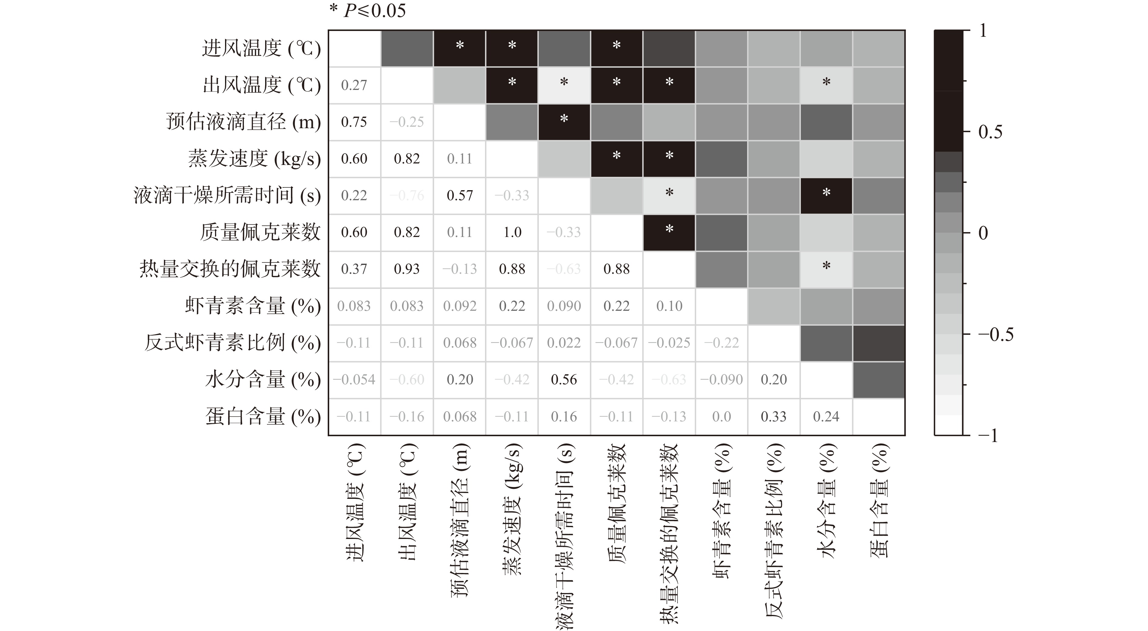
  • 摘要: 为了建立具有应用价值的雨生红球藻喷雾干燥工艺,本文使用采收后的雨生红球藻藻泥为原料,进行中试(蒸发能力25 kg·h−1)和生产规模(蒸发能力250 kg·h−1)实验,建立并放大了雨生红球藻的喷雾干燥工艺。结果表明,在中试规模下,进风温度在130~180 ℃范围内对藻粉理化指标没有显著的影响;出风温度在50~75 ℃范围内对藻粉虾青素含量和蛋白质含量没有影响,但会显著影响(P<0.05)藻粉水分含量;进料总固形物质量分数会显著影响(P<0.05)喷雾干燥的能耗、生产效率和藻粉得率,最优的进料总固形物质量分数为14.60%;通过相关性分析确定影响雨生红球藻藻粉理化指标的关键性参数是可以通过出风温度调节的液滴干燥所需时间和热量的佩克莱数;最终,通过优化出风温度,实现了雨生红球藻粉喷雾干燥工艺的放大,达到37.04 kg·h−1的藻粉生产效率和98.57%的藻粉得率。该工艺具有较好的应用价值,可实现雨生红球藻粉的规模化生产。

     

    Abstract: In order to establish a drying method for Haematococcus pluvialis with great application value, the spray drying conditions for harvested H. pluvialis in the pilot-scale (evaporation capacity of 25 kg·h−1) and production scale (evaporation capacity of 250 kg·h−1) were optimized and amplified. The results showed that inlet temperatures ranging from 130 to 180 ℃ had no significant effect on the physicochemical indexes in the pilot-scale. When the outlet air temperature in the pilot scale increased from 50 to 75 ℃, the moisture content increased, but no obvious variations in astaxanthin content and protein content were found. The total solid mass fraction could significantly affect the energy consumption, production efficiency and yield of spray drying, and the optimal total solid mass fraction for spray drying was 14.60%. The key factors affecting the quality of algae powder were the drying time for droplets and the peclet number for heat, both of which could be adjusted by the outlet temperature. The scale-up of the spray drying process of H. pluvialis powder was finally achieved by optimizing the outlet air temperature, with the production efficiency of 37.04 kg·h−1 and the yield of 98.57%. The process had commercial application value, and realized the scale production of H. pluvialis powder.

     

/

返回文章
返回