• 中国科技期刊卓越行动计划项目资助期刊
  • 中国精品科技期刊
  • 首都科技期刊卓越行动计划
  • EI
  • Scopus
  • CAB Abstracts
  • Global Health
  • 北大核心期刊
  • DOAJ
  • EBSCO
  • 中国核心学术期刊RCCSE A+
  • 中国科技核心期刊CSTPCD
  • JST China
  • FSTA
  • 中国农林核心期刊
  • 中国开放获取期刊数据库COAJ
  • CA
  • WJCI
  • 食品科学与工程领域高质量科技期刊分级目录第一方阵T1
中国精品科技期刊2020
姜宗伯,徐军,石芬,等. 羟丙基甲基纤维素和黄原胶浓度对初榨椰子油乳液及其模板油凝胶构建的影响J. 食品工业科技,2022,43(7):102−109. doi: 10.13386/j.issn1002-0306.2021070166.
引用本文: 姜宗伯,徐军,石芬,等. 羟丙基甲基纤维素和黄原胶浓度对初榨椰子油乳液及其模板油凝胶构建的影响J. 食品工业科技,2022,43(7):102−109. doi: 10.13386/j.issn1002-0306.2021070166.
JIANG Zongbo, XU Jun, SHI Fen, et al. Effects of Hydroxypropyl Methylcellulose and Xanthan Gum Concentrations on Virgin Coconut Oil Emulsion and Construction of Template OleogelJ. Science and Technology of Food Industry, 2022, 43(7): 102−109. (in Chinese with English abstract). doi: 10.13386/j.issn1002-0306.2021070166.
Citation: JIANG Zongbo, XU Jun, SHI Fen, et al. Effects of Hydroxypropyl Methylcellulose and Xanthan Gum Concentrations on Virgin Coconut Oil Emulsion and Construction of Template OleogelJ. Science and Technology of Food Industry, 2022, 43(7): 102−109. (in Chinese with English abstract). doi: 10.13386/j.issn1002-0306.2021070166.

羟丙基甲基纤维素和黄原胶浓度对初榨椰子油乳液及其模板油凝胶构建的影响

Effects of Hydroxypropyl Methylcellulose and Xanthan Gum Concentrations on Virgin Coconut Oil Emulsion and Construction of Template Oleogel

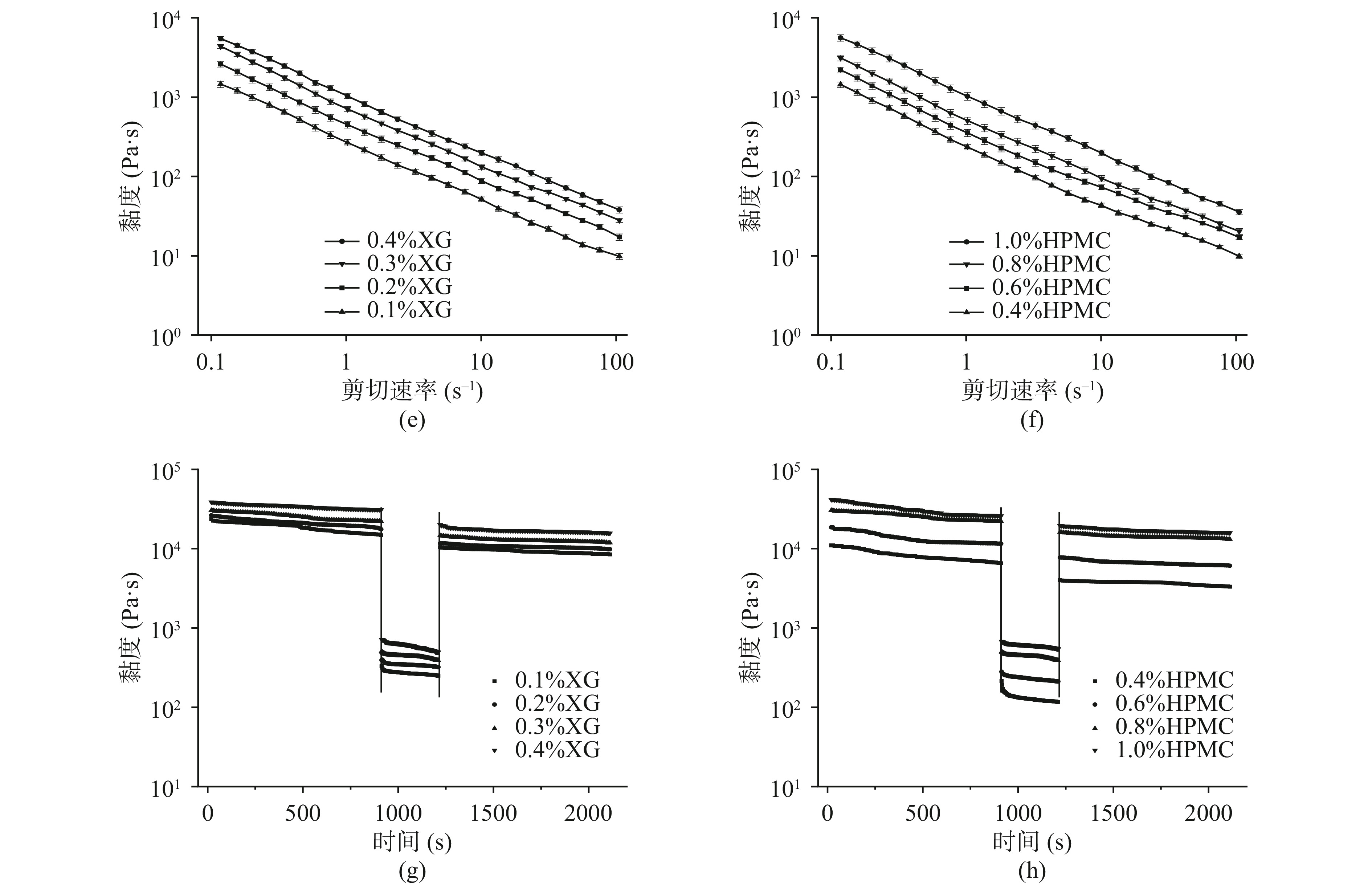
  • 摘要: 本实验采用乳液模板法制备了不同羟丙基甲基纤维素(HPMC)和黄原胶(XG)浓度的初榨椰子油凝胶,对所得乳状液和油凝胶进行了粒径分析、微观结构观察、流变测定、油损失和X-射线衍射(XRD)分析,探讨HPMC和XG浓度对初榨椰子油凝胶形成和物理性能的影响。微观结构和粒径分析结果表明:高浓度HPMC具有较好的乳化性能,获得油滴粒径较小的稳定乳液;XG浓度变化对油滴粒径的影响不显著。流变学结果表明:随着HPMC或XG浓度的增加,乳状液和油凝胶的机械强度也得到提高,所有油凝胶都表现出对时间的依赖性和结构的回复性。油损失结果表明:HPMC浓度的增加对油凝胶损失的影响尤为明显,变化幅度从19.6%降低为3.6%;XG浓度的增加也使油损失从9.62%降低为4.4%。但HPMC和XG浓度的变化对油凝胶的XRD图谱影响不明显。本实验为初榨椰子油凝胶的构建提供了理论基础,也为其实际应用提供了参考。

     

    Abstract: In this study, virgin coconut oil gels with different hydroxypropyl methylcellulose (HPMC) and xanthan gum (XG) concentrations were prepared by the emulsion template method. The particle size distribution, microstructure observation, rheological behavior, oil retention and crystallinity were used to investigate the influence of HPMC and XG concentration on the formation and physical properties of virgin coconut oil emulsion and oleogel. The particle size analysis and microstructure results showed that high-concentration HPMC had better emulsification performance, and a stable emulsion with smaller oil droplet size was obtained. The change of XG concentration had no significant effect on the oil droplet size. The rheological results showed that the mechanical strength of emulsions and oleogels increased with the increase of HPMC or XG concentration, and all oleogels showed a time-dependent and structural recovery. The oil loss results showed that the increase in HPMC concentration had a particularly significant impact on the oleogel oil loss, the change range was reduced from 19.6% to 3.6%. The increase in XG concentration also reduced the oil loss from 9.62% to 4.4%. However, the change of HPMC and XG concentration had no significant effect on the XRD pattern of oleogels. This study provides a theoretical basis for the construction of virgin coconut oil gel, and also provides a reference for its practical application.

     

/

返回文章
返回