• 中国科技期刊卓越行动计划项目资助期刊
  • 中国精品科技期刊
  • EI
  • Scopus
  • CAB Abstracts
  • Global Health
  • 北大核心期刊
  • DOAJ
  • EBSCO
  • 中国核心学术期刊RCCSE A+
  • 中国科技核心期刊CSTPCD
  • JST China
  • FSTA
  • 中国农林核心期刊
  • 中国开放获取期刊数据库COAJ
  • CA
  • WJCI
  • 食品科学与工程领域高质量科技期刊分级目录第一方阵T1
中国精品科技期刊2020
张保军,戈美玲,刘志红,等. 不同饲养环境、岁龄及部位大青山山羊肉风味前体物质的差异分析[J]. 食品工业科技,2022,43(3):291−297. doi: 10.13386/j.issn1002-0306.2021070272.
引用本文: 张保军,戈美玲,刘志红,等. 不同饲养环境、岁龄及部位大青山山羊肉风味前体物质的差异分析[J]. 食品工业科技,2022,43(3):291−297. doi: 10.13386/j.issn1002-0306.2021070272.
ZHANG Baojun, GE Meiling, LIU Zhihong, et al. Analysis on the Difference of Flavor Precursors of Daqingshan Goat Meat in Different Feeding Environments, Ages and Cuts[J]. Science and Technology of Food Industry, 2022, 43(3): 291−297. (in Chinese with English abstract). doi: 10.13386/j.issn1002-0306.2021070272.
Citation: ZHANG Baojun, GE Meiling, LIU Zhihong, et al. Analysis on the Difference of Flavor Precursors of Daqingshan Goat Meat in Different Feeding Environments, Ages and Cuts[J]. Science and Technology of Food Industry, 2022, 43(3): 291−297. (in Chinese with English abstract). doi: 10.13386/j.issn1002-0306.2021070272.

不同饲养环境、岁龄及部位大青山山羊肉风味前体物质的差异分析

Analysis on the Difference of Flavor Precursors of Daqingshan Goat Meat in Different Feeding Environments, Ages and Cuts

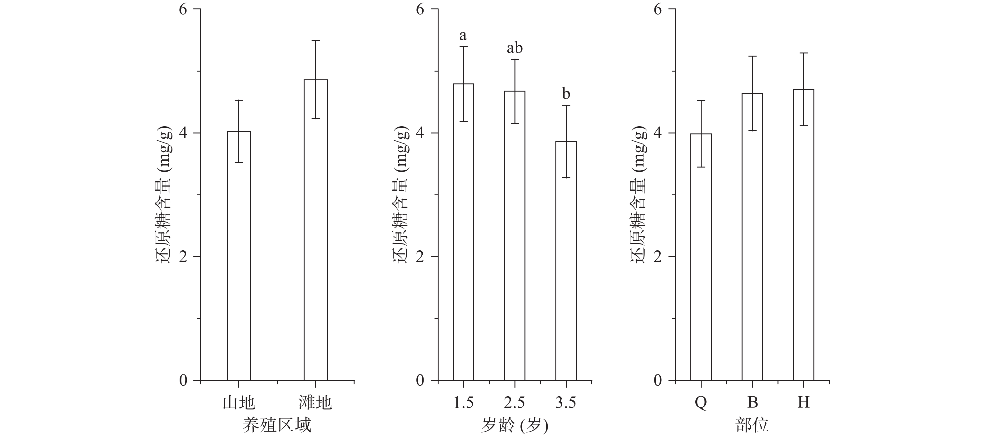
  • 摘要: 目的:探讨大青山山羊肉中风味前体物质的变化规律,为其肉质风味特性研究提供基础。方法:采用高效液相、气相色谱-质谱(GC-MS)等方法测定了两种饲养环境下(山地与滩地)、三个岁龄阶段(1.5、2.5、3.5岁龄)大青山山羊臂三头肌、背最长肌和股二头肌中还原糖、硫胺素、氨基酸及脂肪酸的含量。结果:饲养环境没有对还原糖和硫胺素含量造成显著性影响(P>0.05),岁龄对硫胺素含量有显著性影响(P<0.05);滩地组的所有氨基酸含量均显著高于山地组(P<0.05),除条件必需氨基酸外其余氨基酸在2.5岁龄显著低于1.5岁龄(P<0.05);山地组的短链脂肪酸、中链脂肪酸、长链脂肪酸显著高于滩地组(P<0.05),不同岁龄的中链脂肪酸和超长链脂肪酸无显著性差异(P>0.05),1.5岁龄阶段短链脂肪酸和长链脂肪酸分别显著高于和低于其他两个岁龄(P<0.05);部位对还原糖等四类风味前体物质均无显著影响(P>0.05)。结论:岁龄是造成大青山山羊肉风味前体物质差异的主要因素,饲养环境主要影响其氨基酸、脂肪酸的含量,部位则未对还原糖等四类风味前体物质产生影响。

     

    Abstract: Objective: Exploring the variation law of flavor precursors in Daqing goat meat, this paper provided a basis for the in-depth study of meat quality and flavor characteristics. Methods: The changes rule of meat flavor precursors, reducing sugar, thiamine, amino acids and fatty acids of triceps brachi, longissimus dorsi and biceps femoris at three years of age (1.5, 2.5 and 3.5 years) under two rearing environments (mountain and beach) were determined by high performance liquid chromatography and chromatography-mass spectrometry (GC-MS), etc. Results: In this experiment, the results showed that there was no significant difference in reducing sugar and thiamine between different feeding environments (P>0.05). Therefore there was significant difference in thiamine between different ages (P<0.05). The content of amino acids in the beach group was significantly higher than mountain group (P<0.05). Amino acids except conditionally essential amino acids at 2.5 years were significantly lower than 1.5 years (P<0.05). Fatty acids of short-chain, medium-chainand long-chain in mountainous areas group were significantly higher than beach areas groups, while there was no significant difference in medium-chain fatty acids and ultra-long-chain fatty acids among different ages groups. Short-chain fatty acids and long-chain fatty acids in 1.5 years old group were significantly higher and lower than other age groups (P<0.05), respectively. There were no significant effects of different cuts on reducing sugar and flavor precursors (P>0.05). Conclusions: Age is the main factor causing the difference of flavor precursors in Daqingshan goat meat. The feeding environment mainly affects the contents of amino acids and fatty acids, and the cuts have no effect on reducing sugar and other flavor precursors.

     

/

返回文章
返回