• 中国科技期刊卓越行动计划项目资助期刊
  • 中国精品科技期刊
  • 首都科技期刊卓越行动计划
  • EI
  • Scopus
  • CAB Abstracts
  • Global Health
  • 北大核心期刊
  • DOAJ
  • EBSCO
  • 中国核心学术期刊RCCSE A+
  • 中国科技核心期刊CSTPCD
  • JST China
  • FSTA
  • 中国农林核心期刊
  • 中国开放获取期刊数据库COAJ
  • CA
  • WJCI
  • 食品科学与工程领域高质量科技期刊分级目录第一方阵T1
中国精品科技期刊2020
冯宝龙,任海斌,段佳慧,等. 天然苦味分子识别及苦味阈值预测模型J. 食品工业科技,2022,43(4):24−32. doi: 10.13386/j.issn1002-0306.2021080020.
引用本文: 冯宝龙,任海斌,段佳慧,等. 天然苦味分子识别及苦味阈值预测模型J. 食品工业科技,2022,43(4):24−32. doi: 10.13386/j.issn1002-0306.2021080020.
FENG Baolong, REN Haibin, DUAN Jiahui, et al. Molecular Recognition and Threshold Prediction Model of Bitterness in Natural CompoundsJ. Science and Technology of Food Industry, 2022, 43(4): 24−32. (in Chinese with English abstract). doi: 10.13386/j.issn1002-0306.2021080020.
Citation: FENG Baolong, REN Haibin, DUAN Jiahui, et al. Molecular Recognition and Threshold Prediction Model of Bitterness in Natural CompoundsJ. Science and Technology of Food Industry, 2022, 43(4): 24−32. (in Chinese with English abstract). doi: 10.13386/j.issn1002-0306.2021080020.

天然苦味分子识别及苦味阈值预测模型

Molecular Recognition and Threshold Prediction Model of Bitterness in Natural Compounds

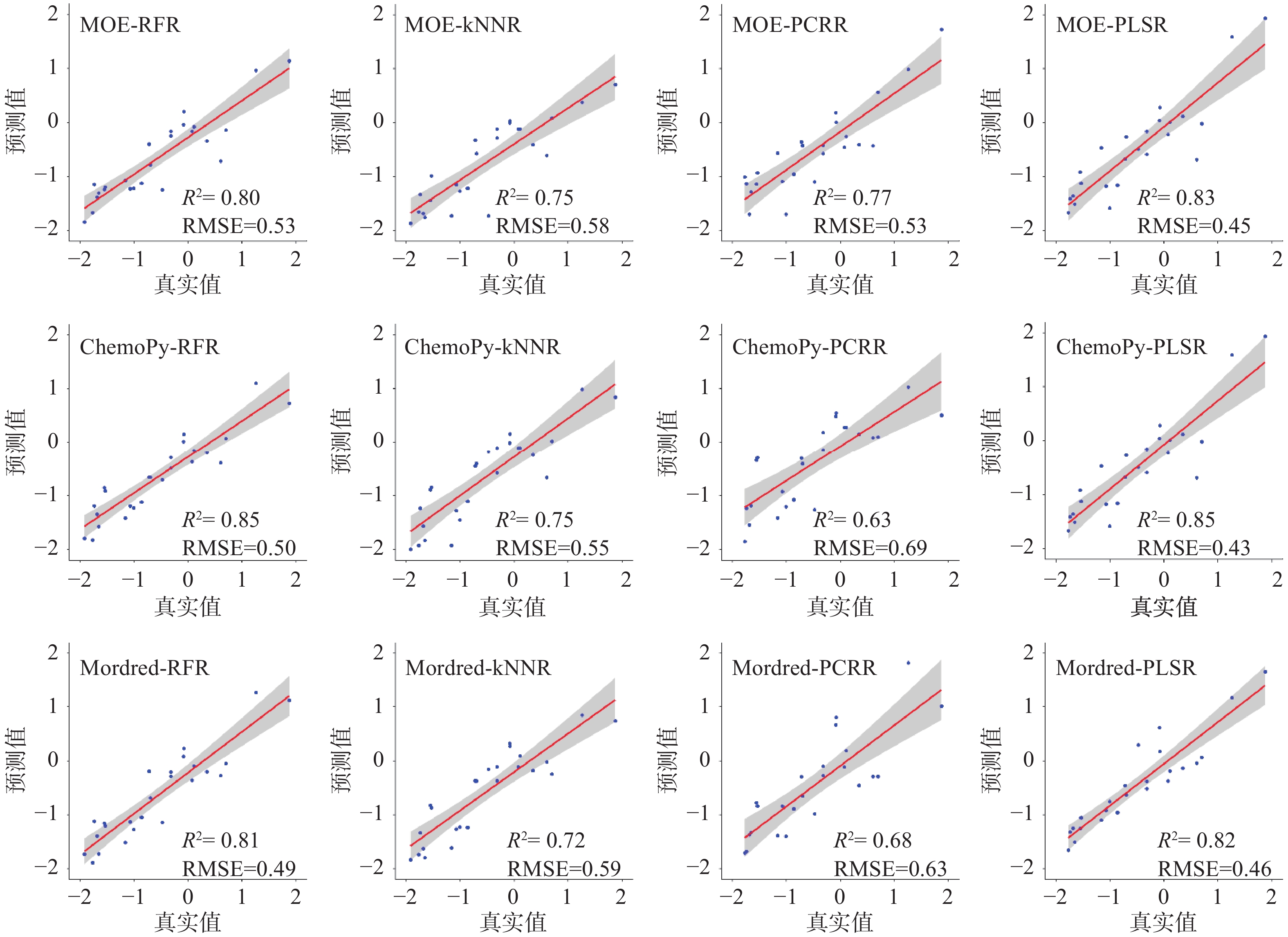
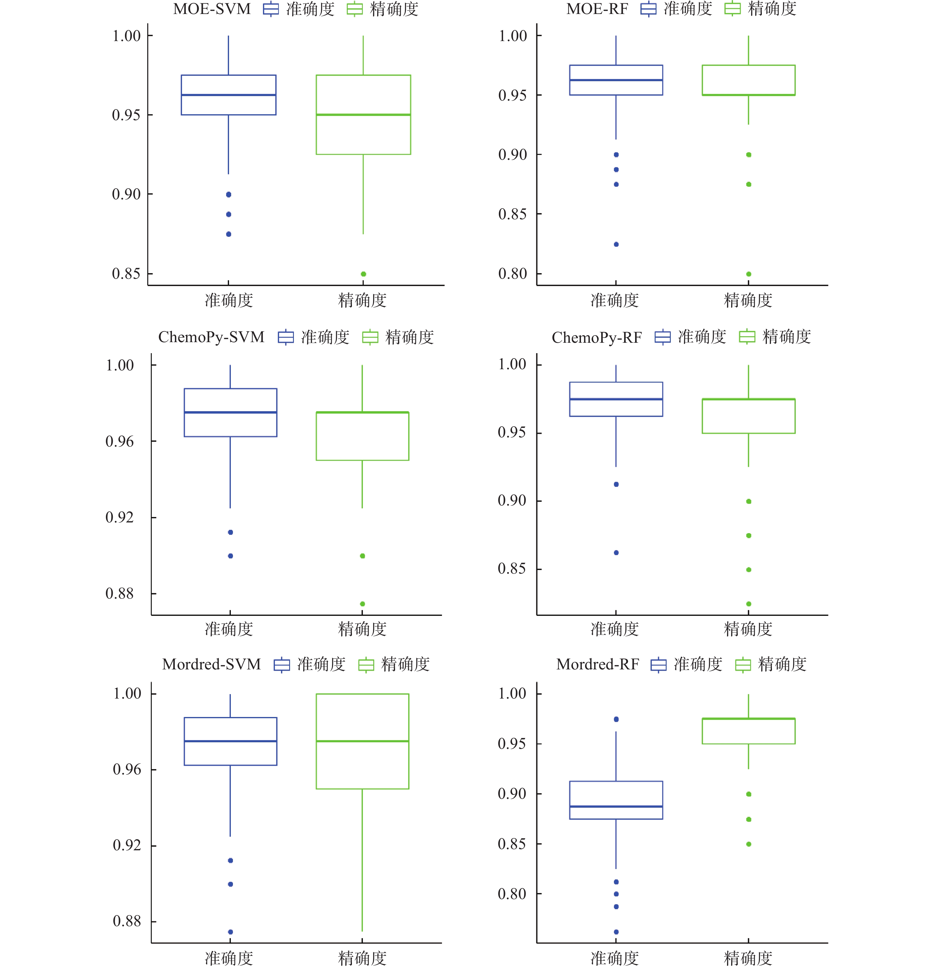
  • 摘要: 鉴定天然化合物中苦味物质和确定其苦味阈值对于食物中苦味分子的发掘和利用至关重要。基于构效关系识别苦味分子及预测苦味分子阈值是一种低成本快速的方法。本研究利用分子操作环境(Molecular Operating Environment, MOE)、Chemopy和Mordred生成2D描述符,利用支持向量机(Support Vector Machine, SVM)、随机森林(Random Forests, RF)算法建立苦味分子识别模型,利用偏最小二乘回归(Partial Least Squares Regression, PLSR)、随机森林回归(Random Forests Regression, RFR)、k-最近邻回归(k-Nearest Neighbor Regression, kNNR)、主成分回归(Principle Component Regression, PCR)算法建立苦味阈值预测模型。结果表明:MOE-RF模型能够较好地识别分子是否具有苦味,准确度为0.982;ChemoPy-PLSR模型的苦味阈值预测效果最好,决定系数为0.85,误差均方根为0.43,可将这两个模型联合使用来预测分子是否具有苦味及苦味阈值。

     

    Abstract: It is important to identify the bitter substances in natural compounds and determine their bitterness threshold for finding out the bitter molecules that affect the flavor of food and developing some foods with unique flavors. Identifying bitter molecules and predicting the threshold of bitter molecules based on the quantitative structure-activity relationship is a low-cost and rapid method. This research used Molecular Operating Environment (MOE), Chemopy and Mordred to generate 2D molecular descriptor to establish bitterness molecular recognition models with Support Vector Machine (SVM) and Random Forests (RF) algorithms. This study used above descriptors to establish bitterness threshold prediction models with Partial Least Squares Regression (PLSR), Random Forests Regression (RFR), k-Nearest Neighbor Regression (kNNR), and Principle Component Regression (PCR) algorithms. The results showed that the MOE-RF model had the highest accuracy of 0.982, the ChemoPy-PLSR model had the best bitterness prediction effect with a coefficient of determination of 0.85 and a root mean square error of 0.43. The two models would be combined to predict whether the molecule has bitterness and the threshold of bitterness or not.

     

/

返回文章
返回