• 中国科技期刊卓越行动计划项目资助期刊
  • 中国精品科技期刊
  • 首都科技期刊卓越行动计划
  • EI
  • Scopus
  • CAB Abstracts
  • Global Health
  • 北大核心期刊
  • DOAJ
  • EBSCO
  • 中国核心学术期刊RCCSE A+
  • 中国科技核心期刊CSTPCD
  • JST China
  • FSTA
  • 中国农林核心期刊
  • 中国开放获取期刊数据库COAJ
  • CA
  • WJCI
  • 食品科学与工程领域高质量科技期刊分级目录第一方阵T1
中国精品科技期刊2020
毕樱馨,刘咸筠,孟祥龙,等. 茶多酚EGCG通过调控miR-16-5p/含铜胺氧化酶1轴发挥对过氧化氢诱导的人心肌细胞凋亡的保护作用J. 食品工业科技,2022,43(7):376−383. doi: 10.13386/j.issn1002-0306.2021080256.
引用本文: 毕樱馨,刘咸筠,孟祥龙,等. 茶多酚EGCG通过调控miR-16-5p/含铜胺氧化酶1轴发挥对过氧化氢诱导的人心肌细胞凋亡的保护作用J. 食品工业科技,2022,43(7):376−383. doi: 10.13386/j.issn1002-0306.2021080256.
BI Yingxin, LIU Xianjun, MENG Xianglong, et al. Protective Effect of EGCG on Hydrogen Peroxide-induced Apoptosis of Human Cardiomyocyte via Regulating miR-16-5p/AOC1 AxisJ. Science and Technology of Food Industry, 2022, 43(7): 376−383. (in Chinese with English abstract). doi: 10.13386/j.issn1002-0306.2021080256.
Citation: BI Yingxin, LIU Xianjun, MENG Xianglong, et al. Protective Effect of EGCG on Hydrogen Peroxide-induced Apoptosis of Human Cardiomyocyte via Regulating miR-16-5p/AOC1 AxisJ. Science and Technology of Food Industry, 2022, 43(7): 376−383. (in Chinese with English abstract). doi: 10.13386/j.issn1002-0306.2021080256.

茶多酚EGCG通过调控miR-16-5p/含铜胺氧化酶1轴发挥对过氧化氢诱导的人心肌细胞凋亡的保护作用

Protective Effect of EGCG on Hydrogen Peroxide-induced Apoptosis of Human Cardiomyocyte via Regulating miR-16-5p/AOC1 Axis

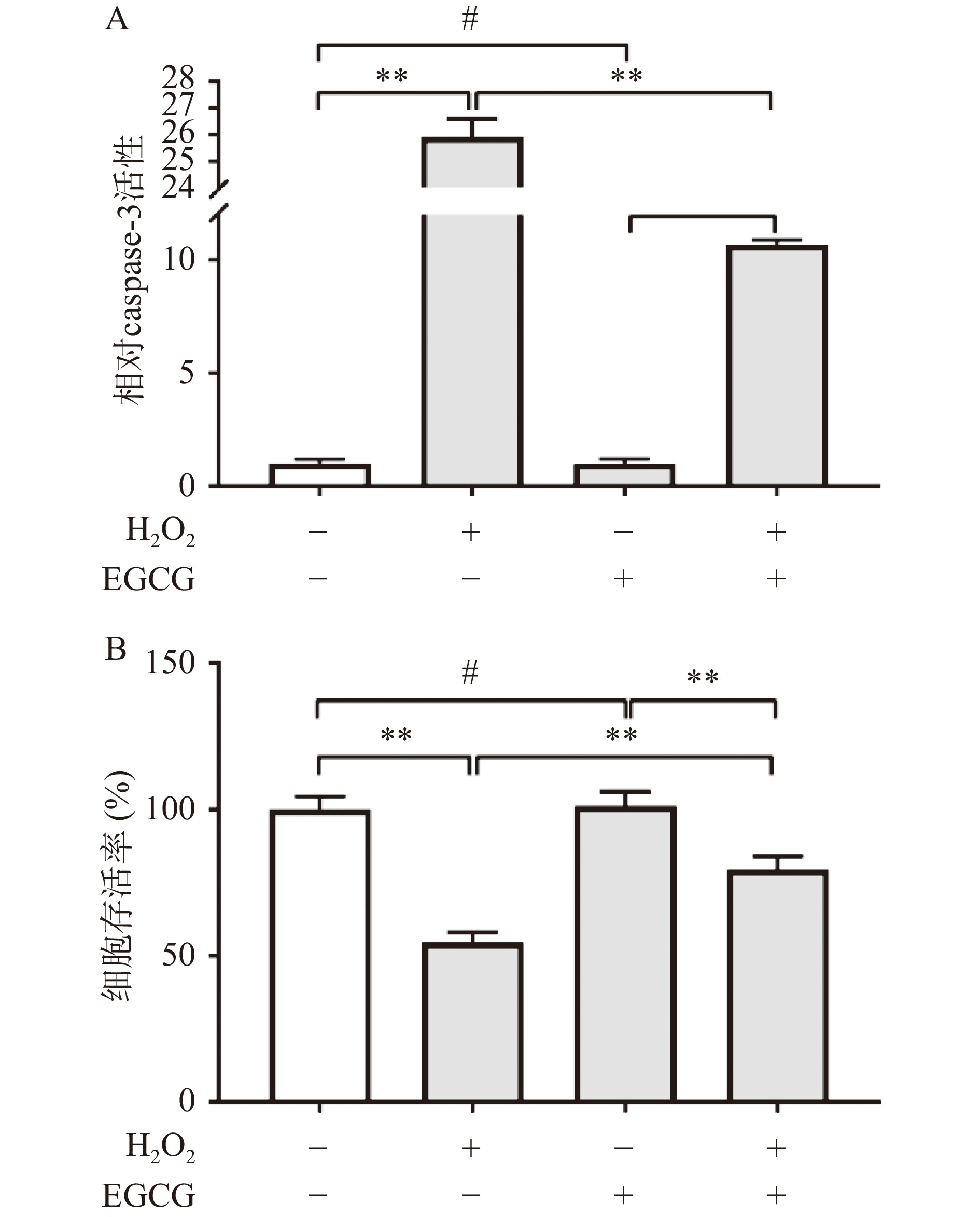
  • 摘要: 目的:探究茶多酚表没食子儿茶素没食子酸酯(EGCG)对过氧化氢(H2O2)诱导人心肌细胞HCM凋亡的保护作用中的分子机制。方法:利用H2O2建立HCM细胞凋亡模型;通过caspase-3活性检测实验评价细胞凋亡水平;利用CCK-8法检测药物的细胞毒性;qPCR和Western blot用于检测含铜胺氧化酶1(AOC1)和miR-16-5p的表达水平;通过细胞转染调控AOC1和miR-16-5p在HCM细胞中的表达;通过TargetScan预测以及双荧光素酶报告基因实验验证miR-16-5p和AOC1 mRNA 3'UTR区的结合关系以及结合位点。结果:EGCG处理后可以显著抑制H2O2诱导的HCM细胞凋亡(P<0.05);在凋亡细胞中,AOC1表达显著下降,EGCG可以显著上调AOC1的表达,而敲减AOC1显著逆转EGCG对凋亡的抑制(P<0.05);同时,在凋亡细胞中,miR-16-5p表达显著上升,EGCG可以显著抑制miR-16-5p的表达,而上调miR-16-5p显著逆转了EGCG对凋亡的抑制(P<0.05);上调miR-16-5p显著逆转了EGCG对凋亡细胞中AOC1表达的促进;最后,miR-16-5p可以靶向抑制AOC1的表达,而过表达AOC1显著逆转了miR-16-5p诱导的HCM细胞凋亡。结论:EGCG通过调控miR-16-5p/AOC1轴发挥了对H2O2诱导HCM细胞凋亡的保护作用,同时提示AOC1是保护心肌细胞损伤治疗的潜在新靶点。

     

    Abstract: Objective: To explore the molecular mechanism driving the tea polyphenol epigallocatechin-3-gallate (EGCG)-exerted protective effect on hydrogen peroxide (H2O2)-induced cell apoptosis of human cardiomyocyte HCM cell lines. Methods: HCM cells were stimulated with H2O2 to establish a vitro apoptosis model; the caspase-3 assay was used to assess the cell apoptosis of HCM cells; the CCK-8 assay was used to perform the cytotoxicity experiment; qPCR was used to detect the levels of AOC1 mRNA and miR-16-5p; Western blot was used to detect the protein level of AOC1; cells transfection was conducted to regulate the expression levels of AOC1 and miR-16-5p in HCM cells; TargetScan was used to predict the binding relationship and site between AOC1 mRNA 3’UTR and miR-16-5p, which was verified by the double luciferase reporter gene assay. Results: EGCG could significantly inhibit H2O2-induced apoptosis of HCM cells (P<0.05). In apoptotic cells, the expression of AOC1 was significantly decreased, and EGCG could significantly up-regulate the expression of AOC1, while knocking down AOC1 could significantly reverse the inhibition of EGCG on apoptosis (P<0.05). Meanwhile, the expression of miR-16-5p was significantly increased in apoptotic cells, and EGCG could significantly inhibit the expression of miR-16-5p, while up-regulation of miR-16-5p significantly reversed the inhibition of EGCG on apoptosis (P<0.05). Upregulation of miR-16-5p significantly reversed the promotion of AOC1 expression by EGCG in apoptotic cells. Finally, miR-16-5p can target inhibit the expression of AOC1, while over expression of AOC1 significantly reversed miR-16-5p-induced apoptosis of HCM cells. Conclusion: EGCG protected H2O2-induced apoptosis of HCM cells by regulating the miR-16-5p/AOC1 axis, which proposes AOC1 as a potential novel therapeutic target pro-tection against cardiomyocyte injury.

     

/

返回文章
返回