• 中国科技期刊卓越行动计划项目资助期刊
  • 中国精品科技期刊
  • EI
  • Scopus
  • CAB Abstracts
  • Global Health
  • 北大核心期刊
  • DOAJ
  • EBSCO
  • 中国核心学术期刊RCCSE A+
  • 中国科技核心期刊CSTPCD
  • JST China
  • FSTA
  • 中国农林核心期刊
  • 中国开放获取期刊数据库COAJ
  • CA
  • WJCI
  • 食品科学与工程领域高质量科技期刊分级目录第一方阵T1
中国精品科技期刊2020
祝玉婷,胡志和,霍辰辰,等. 添加复配糖对凝固型酸奶品质的影响[J]. 食品工业科技,2022,43(12):268−282. doi: 10.13386/j.issn1002-0306.2021090082.
引用本文: 祝玉婷,胡志和,霍辰辰,等. 添加复配糖对凝固型酸奶品质的影响[J]. 食品工业科技,2022,43(12):268−282. doi: 10.13386/j.issn1002-0306.2021090082.
ZHU Yuting, HU Zhihe, HUO Chenchen, et al. Effect of Adding Compound Sugar on the Quality of Solidified Yogurt[J]. Science and Technology of Food Industry, 2022, 43(12): 268−282. (in Chinese with English abstract). doi: 10.13386/j.issn1002-0306.2021090082.
Citation: ZHU Yuting, HU Zhihe, HUO Chenchen, et al. Effect of Adding Compound Sugar on the Quality of Solidified Yogurt[J]. Science and Technology of Food Industry, 2022, 43(12): 268−282. (in Chinese with English abstract). doi: 10.13386/j.issn1002-0306.2021090082.

添加复配糖对凝固型酸奶品质的影响

Effect of Adding Compound Sugar on the Quality of Solidified Yogurt

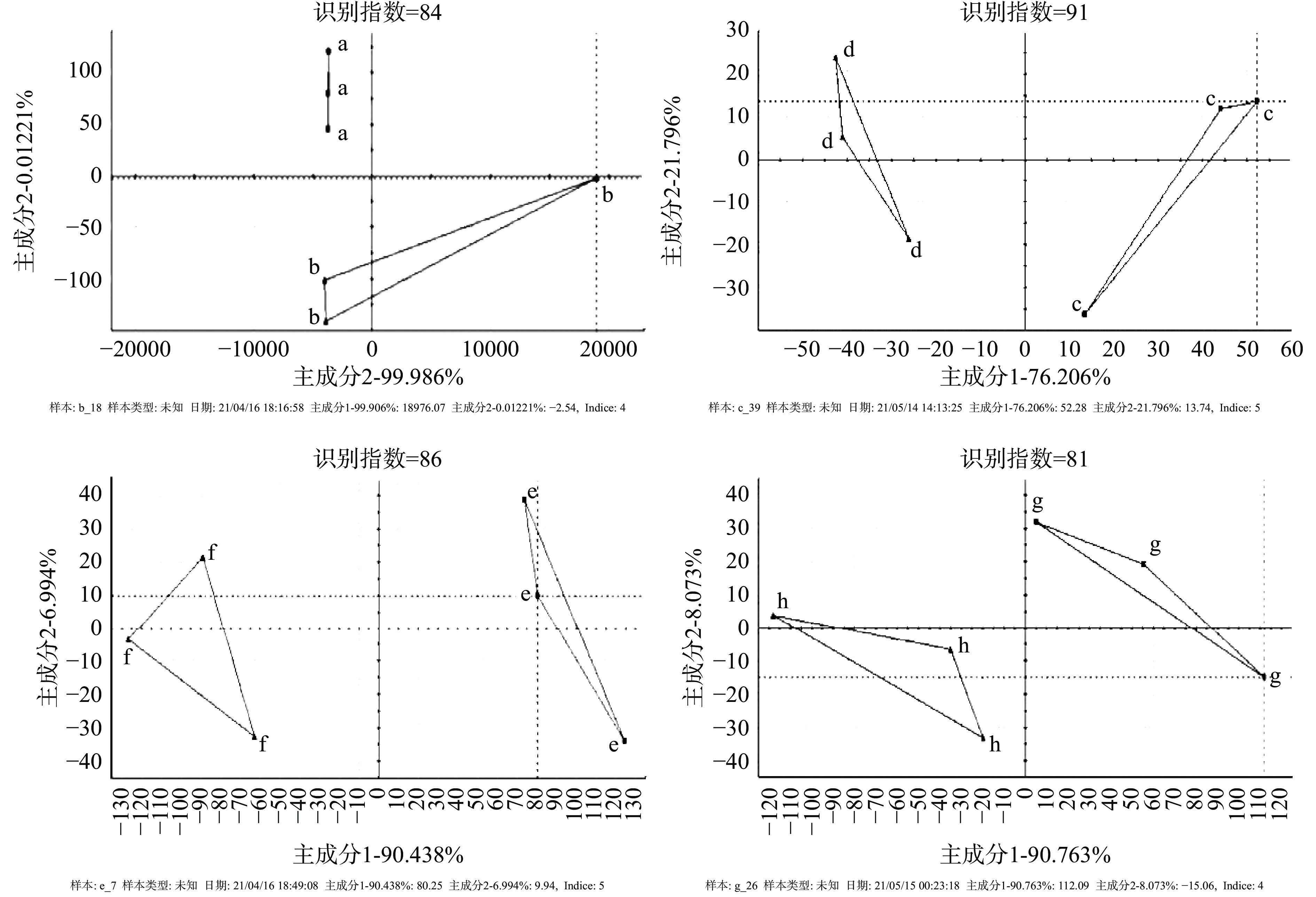
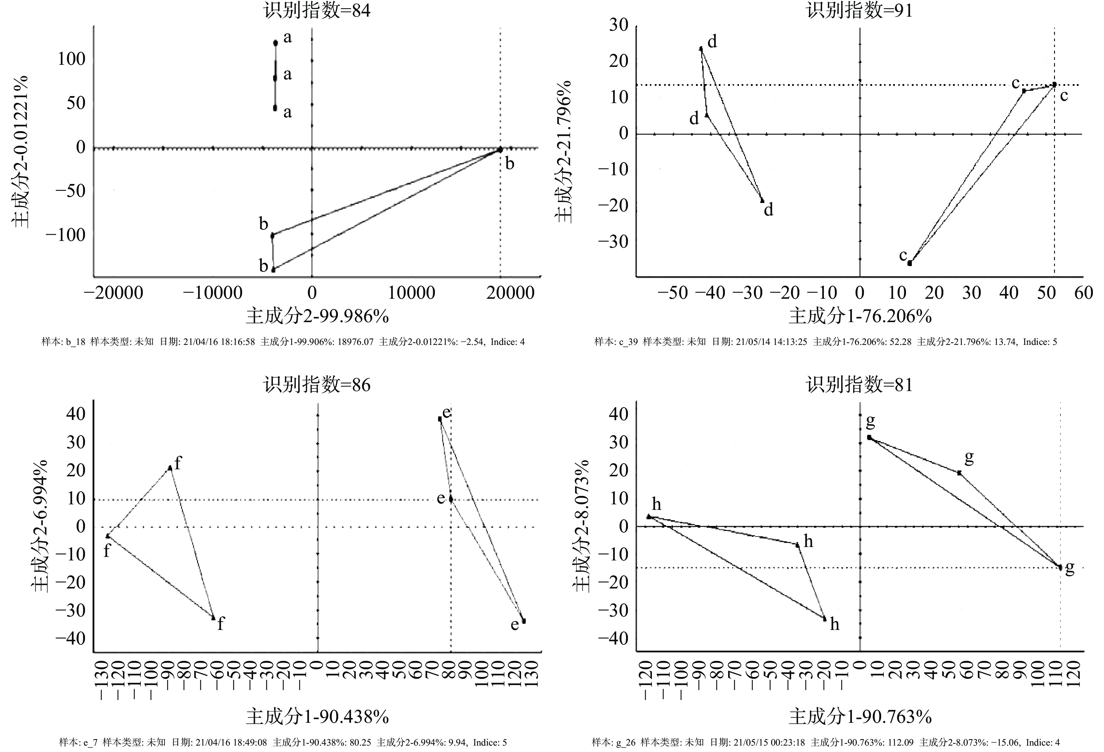
  • 摘要: 采用赤藓糖醇、罗汉果甜苷、甜菊糖苷以49.5:1:1进行复配混合作为蔗糖替代糖,同等甜度下复配糖与蔗糖比例为7.77:1。研究43 ℃发酵的添加复配糖的无蔗糖酸奶和添加同等甜度蔗糖的普通酸奶色、香、味等感官特性以及理化指标的差异性。利用电子眼、电子鼻、电子舌检测添加复配糖的无蔗糖酸奶和添加同等甜度蔗糖的普通酸奶的色、香、味,采用酚酞指示剂法、质构仪、流变仪、平板计数法测定添加复配糖的无蔗糖酸奶和添加同等甜度蔗糖的普通酸奶发酵过程中酸度、硬度、粘度、乳酸菌数量。结果表明:发酵结束时,添加复配糖的无蔗糖酸奶和添加同等甜度蔗糖的普通酸奶酸度范围在70.11°T~72.18°T,二者无显著性差异(P>0.05);发酵过程中,在1~5 h内,添加4%、8%、10%、12%的复配糖的无蔗糖酸奶较同等甜度的普通酸奶产酸速率快,且差异显著(P<0.05),而添加6%复配糖的无蔗糖酸奶在发酵1~3 h内较普通酸奶产酸速率显著增加(P<0.05),4~5 h内两种酸奶产酸速率无显著性差异(P>0.05)。在发酵1~3 h内,添加蔗糖的普通酸奶和添加同等甜度复配糖的无蔗糖酸奶硬度、粘度增加缓慢;发酵3~5 h,添加复配糖的无蔗糖酸奶硬度、粘度增加速度高于添加同等甜度蔗糖的普通酸奶组,差异显著(P<0.05)。在发酵过程中,相同甜度下,添加复配糖的无蔗糖酸奶的乳酸菌增殖较普通酸奶快,且存在显著性差异(P<0.05)。相同甜度的无蔗糖酸奶感官评分高于同等甜度的普通酸奶;蔗糖浓度为4%、10%、12%的普通酸奶较添加同等甜度复配糖的无蔗糖酸奶,在气味和色泽方面存在显著性差异(P<0.05),经挥发性成分分析,不同浓度的普通酸奶和无蔗糖酸奶共分别检测出31、44种挥发性成分,滋味无显著性差异(P>0.05);而蔗糖浓度6%、8%的普通酸奶较添加同等甜度复配糖的无蔗糖酸奶,在色泽和气味上无显著性差异(P>0.05),但在滋味上存在显著性差异(P<0.05)。因此,添加不同浓度蔗糖的普通酸奶和添加同等甜度复配糖的无蔗糖酸奶相比,具有显著性差异。

     

    Abstract: Erythritol, mogroside and stevioside were compounded and mixed in 49.5:1:1 to replace sucrose, and the ratio of compound sugar and sucrose under the same sweetness was 7.77:1. The differences of sensory characteristics and physical and chemical indexes between sucrose-free yoghurt with compound sugar and plain yoghurt with the same sweetness sucrose fermented at 43 ℃ were studied. The color, odour and taste of plain yogurt and sucrose-free yogurt were detected by electronic eye, electronic nose and electronic tongue, respectively. The acidity, hardness, viscosity and lactic acid bacteria were determined by phenolphthalein indicator, mass structure, rheometer and plate counting. The results indicated that the acidity range of sucrose-free yogurt with compound sugar and plain yogurt with the same sweetness sucrose ranged from 70.11°T to 72.18°T, and there was no significant difference between them (P>0.05). During the fermentation process, the acid production rate of sucrose-free yoghurt with compound sugar concentration of 4%, 8%, 10% and 12% was faster than that of plain yogurt with the same sweetness sucrose, and the difference was significant (P<0.05). The acid production rate of sucrose-free yogurt with compound sugar concentration of 6% was significantly higher than that of plain yogurt within 1 to 3 h of fermentation (P<0.05), and there was no significant difference in acid production rate between the two types of yogurt within 4~5 h (P>0.05). Within 1 to 3 h of fermentation, the hardness and viscosity of plain yogurt and sucrose-free yogurt with the same sweetness increased slowly. The increasing rate of hardness and viscosity of sugar-free yogurt was significantly higher than that of plain yogurt with the same sweetness (P<0.05). In the fermentation process, lactic acid bacteria proliferation of sucrose-free yogurt with the same sweetness was faster than that of plain yogurt, and there was a significant difference (P<0.05). The sensory score of sucrose-free yogurt was higher than that of plain yogurt with the same sweetness. The odour and color of plain yogurt with sucrose concentration of 4%, 10% and 12% were significantly different from that of sucrose-free yogurt with the same sweetness (P<0.05). The volatile component analysis results showed that 31 and 44 volatile components were detected in different plain yogurt and sucrose-free yogurt, respectively. And there was no significant difference in taste (P>0.05). In addition, there were no significant difference in color and smell between the plain yogurt with sucrose concentration of 6% and 8% and the sucrose-free yogurt with the same sweetness (P>0.05), but there were significant differences in taste (P<0.05). Therefore, plain yogurt was significantly different compared to the equivalent sweet sucrose-free yogurt.

     

/

返回文章
返回