• 中国科技期刊卓越行动计划项目资助期刊
  • 中国精品科技期刊
  • 首都科技期刊卓越行动计划
  • EI
  • Scopus
  • CAB Abstracts
  • Global Health
  • 北大核心期刊
  • DOAJ
  • EBSCO
  • 中国核心学术期刊RCCSE A+
  • 中国科技核心期刊CSTPCD
  • JST China
  • FSTA
  • 中国农林核心期刊
  • 中国开放获取期刊数据库COAJ
  • CA
  • WJCI
  • 食品科学与工程领域高质量科技期刊分级目录第一方阵T1
中国精品科技期刊2020
叶晓楠,曾慧慧,刘思琦,等. 酸枣提取物的抗氧化及抗衰老作用J. 食品工业科技,2022,43(9):389−395. doi: 10.13386/j.issn1002-0306.2021090192.
引用本文: 叶晓楠,曾慧慧,刘思琦,等. 酸枣提取物的抗氧化及抗衰老作用J. 食品工业科技,2022,43(9):389−395. doi: 10.13386/j.issn1002-0306.2021090192.
YE Xiaonan, ZENG Huihui, LIU Siqi, et al. Antioxidant and Anti-aging Activity of Ziziphus jujuba ExtractJ. Science and Technology of Food Industry, 2022, 43(9): 389−395. (in Chinese with English abstract). doi: 10.13386/j.issn1002-0306.2021090192.
Citation: YE Xiaonan, ZENG Huihui, LIU Siqi, et al. Antioxidant and Anti-aging Activity of Ziziphus jujuba ExtractJ. Science and Technology of Food Industry, 2022, 43(9): 389−395. (in Chinese with English abstract). doi: 10.13386/j.issn1002-0306.2021090192.

酸枣提取物的抗氧化及抗衰老作用

Antioxidant and Anti-aging Activity of Ziziphus jujuba Extract

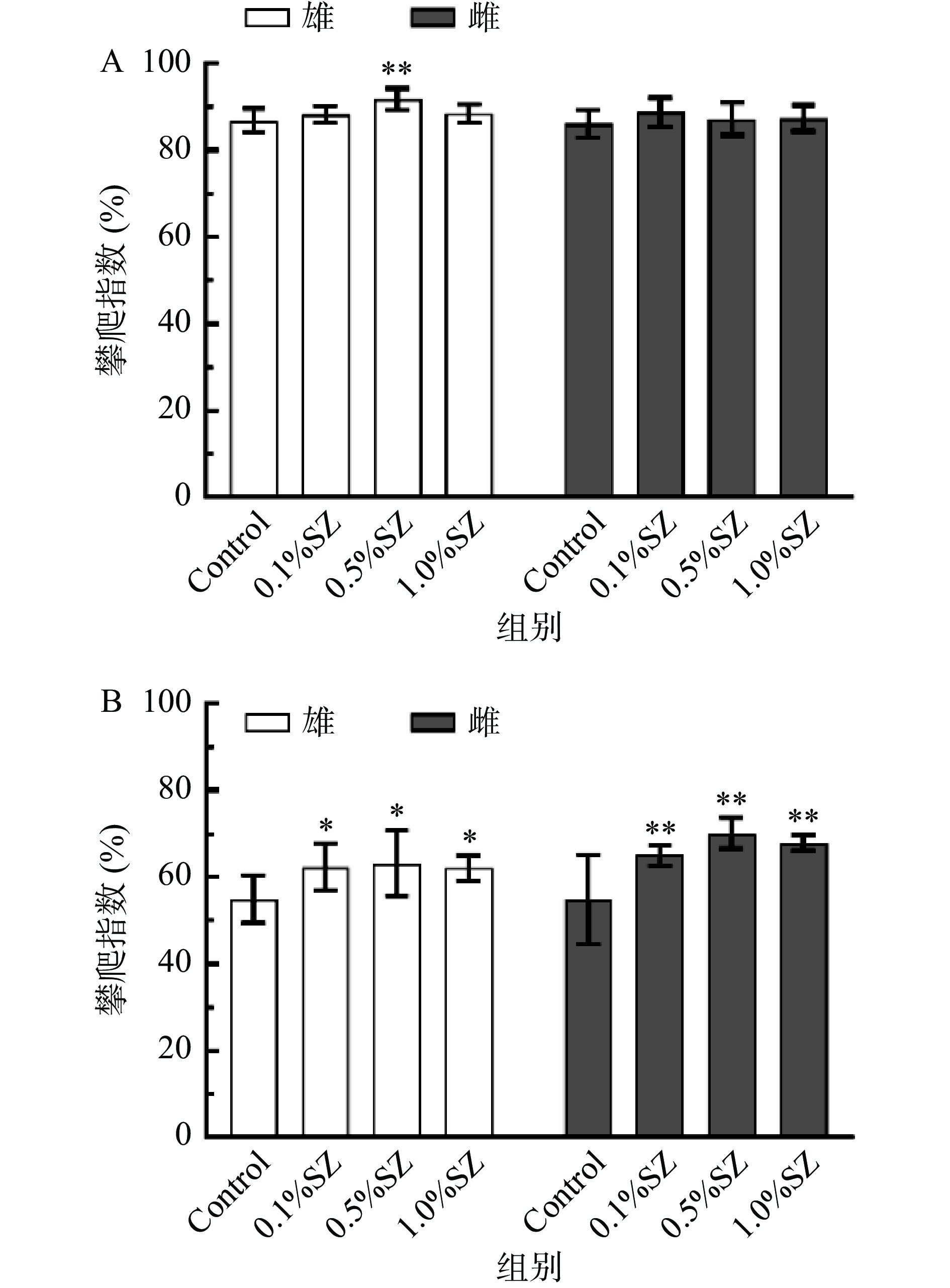
  • 摘要: 目的:研究酸枣提取物体外和体内抗氧化及抗衰老作用。方法:对不同质量浓度酸枣提取物(0.05、0.10、0.20、0.40、0.60、0.80、1.00 mg/mL)进行1,1-二苯基-2-三硝基苯肼(DPPH)自由基清除率、羟自由基清除率及Fe3+还原能力测定,评价酸枣提取物体外抗氧化活性;以不同质量分数(0.1%、0.5%、1.0%)酸枣提取物饲喂果蝇,通过果蝇寿命实验、逆重力爬行实验以及测定果蝇体内超氧化物歧化酶(Superoxide dismutase,SOD)活力、丙二醛(Malonic dialdehyde,MDA)含量、过氧化氢酶(Catalase,CAT)活力,评价酸枣提取物体内抗氧化及抗衰老作用。结果:体外实验结果显示,酸枣提取物对DPPH自由基、羟自由基均有不同程度的清除作用,其半数清除浓度(IC50)值分别为:0.44、1.40 mg/mL,对Fe3+具有还原能力。体内实验结果显示,与空白组相比,1.0%酸枣提取物组雌、雄果蝇平均寿命分别显著延长了9.61%和13.91%(P<0.01);增强30 d雌、雄果蝇逆重力爬行能力(P<0.05或P<0.01),降低雌、雄果蝇体内MDA含量(P<0.05或P<0.01),提高雌、雄果蝇体内SOD和CAT活力(P<0.05或P<0.01)。结论:酸枣提取物具有较好的体内外抗氧化作用和潜在抗衰老作用。

     

    Abstract: Objective:To illustrate the antioxidant and anti-aging activity of Ziziphus jujuba extract in vivo and in vitro. Methods: The antioxidant activity of Ziziphus jujuba extract (0.05、0.10、0.20、0.40、0.60、0.80、1.00 mg/mL) was determined by DPPH free radical scavenging rate, ·OH radical clearance rate and Fe3+ reducing antioxidant power assayed in vitro. Three different doses of Ziziphus jujuba extract (0.1%、0.5%、1.0%) were given to the Drosophila melanogaster through the culture to study the in vivo antioxidant and anti-aging activity by testing the lifespans, negative geotaxis ability, SOD activity, MAD content and CAT activity. Results: The results of in vitro antioxidant activity showed that the Ziziphus jujuba extract could scavenge DPPH and OH free radicals in vitro, and its IC50 were 0.44 and 1.40 mg/mL, respectively. It also could reduce iron in vitro. The in vivo antioxidant and anti-aging activity results showed that the average life span of female and male D. melanogasterwere prolonged by 9.61% and 13.91% in 1.0% Ziziphus jujuba extract group compared with the control group (P<0.01). Also Ziziphus jujuba extract treatment improved the negative geotaxis ability in older female and male D. melanogaster (P<0.05 or P<0.01), decreased the MAD content (P<0.05 or P<0.01) and increased the SOD and CAT activity (P<0.05 or P<0.01). Conclusion: The Ziziphus jujuba extract has good antioxidant and anti-aging capacity in vivo and in vitro.

     

/

返回文章
返回