• 中国科技期刊卓越行动计划项目资助期刊
  • 中国精品科技期刊
  • 首都科技期刊卓越行动计划
  • EI
  • Scopus
  • CAB Abstracts
  • Global Health
  • 北大核心期刊
  • DOAJ
  • EBSCO
  • 中国核心学术期刊RCCSE A+
  • 中国科技核心期刊CSTPCD
  • JST China
  • FSTA
  • 中国农林核心期刊
  • 中国开放获取期刊数据库COAJ
  • CA
  • WJCI
  • 食品科学与工程领域高质量科技期刊分级目录第一方阵T1
中国精品科技期刊2020
田怀香,杨睿,荣绍丰,等. 内酯类香料的微生物法转化制备及其调控研究进展J. 食品工业科技,2022,43(13):9−16. doi: 10.13386/j.issn1002-0306.2021090325.
引用本文: 田怀香,杨睿,荣绍丰,等. 内酯类香料的微生物法转化制备及其调控研究进展J. 食品工业科技,2022,43(13):9−16. doi: 10.13386/j.issn1002-0306.2021090325.
TIAN Huaixiang, YANG Rui, RONG Shaofeng, et al. Preparation and Biological Regulation of Lactones by Microbial Transformation: A ReviewJ. Science and Technology of Food Industry, 2022, 43(13): 9−16. (in Chinese with English abstract). doi: 10.13386/j.issn1002-0306.2021090325.
Citation: TIAN Huaixiang, YANG Rui, RONG Shaofeng, et al. Preparation and Biological Regulation of Lactones by Microbial Transformation: A ReviewJ. Science and Technology of Food Industry, 2022, 43(13): 9−16. (in Chinese with English abstract). doi: 10.13386/j.issn1002-0306.2021090325.

内酯类香料的微生物法转化制备及其调控研究进展

Preparation and Biological Regulation of Lactones by Microbial Transformation: A Review

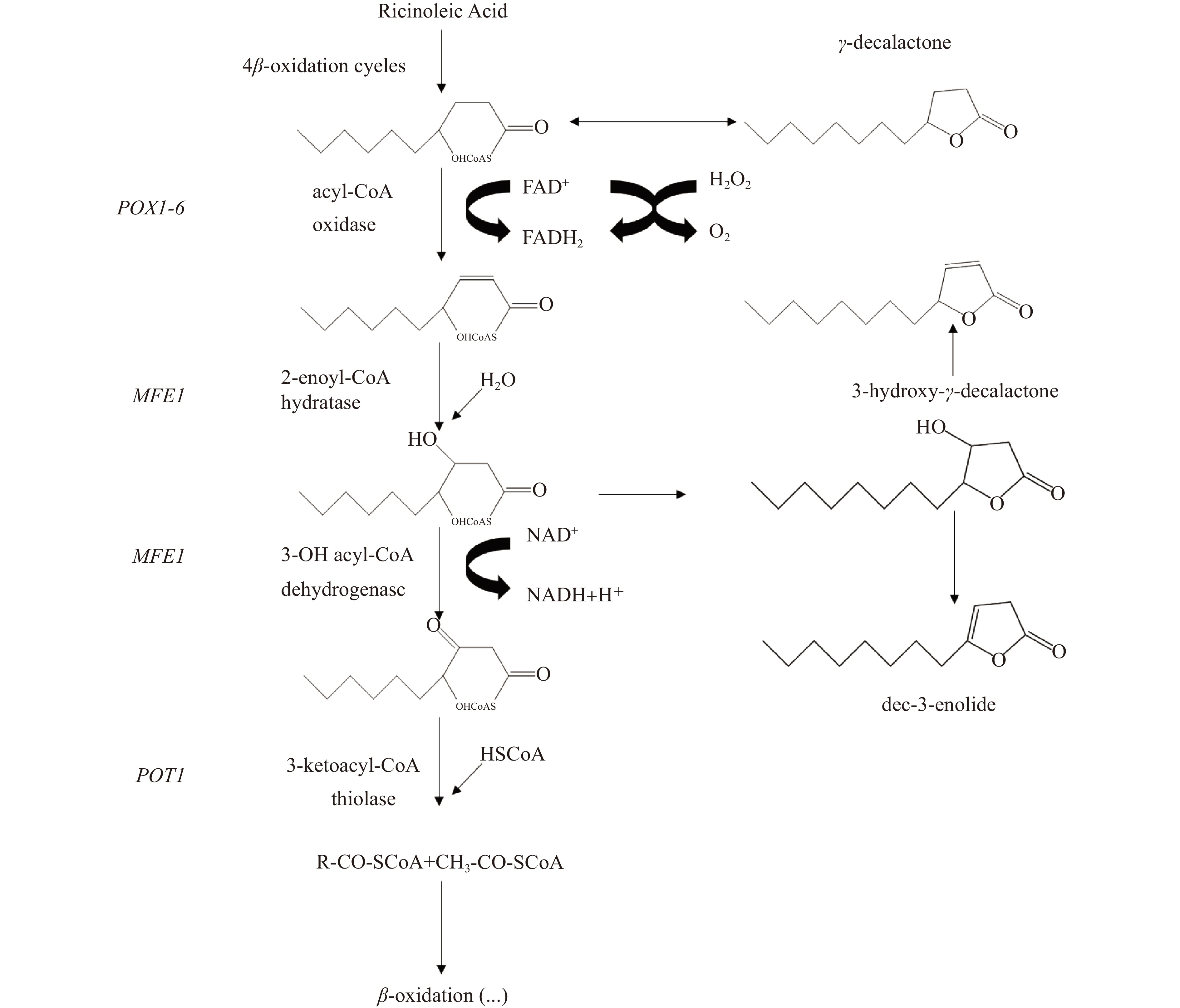
  • 摘要: 内酯类香料因具有典型奶香和花果香气,被广泛地应用于糖果、饮料、乳制品、烘焙等食品中。得益于近些年来消费者对于产品天然特性的喜爱,内酯类香料的微生物法转化制备备受关注。本文综述了γ-δ-两类内酯的微生物法转化机理包括脂肪酸进入线粒体方式、β-氧化、环化过程和降解代谢途径。对目前已有的生物转化法调控方式如基于基因组学的基因调控、溶氧氧合、底物分批培养、细胞固定化、菌种诱变等进行了总结,展望了内酯类香料的调控研究方向,为更经济高效的生物法转化内酯类香料提供借鉴。

     

    Abstract: Lactones are widely used in confectionery, beverages, dairy products, baking and other foods due to their typical creamy, floral and fruity aromas. In recent years, because consumers prefer the natural properties of products, the preparation and biological regulation of lactones by microbial transformation has attracted much attention. The microbial transformation mechanisms of γ- and δ-lactones are reviewed in this paper, including the way of fatty acids entering mitochondria, β-oxidation, cyclization and degradation metabolic pathways. The existing regulation methods of microbial transformation are also summarized, such as gene regulation based on genomics, dissolved oxygen, substrate batch culture, cell immobilization and strain mutagenesis. The research direction of regulation of lactones is prospected, which can provide reference for more economical and efficient microbial transformation of lactones.

     

/

返回文章
返回