• 中国科技期刊卓越行动计划项目资助期刊
  • 中国精品科技期刊
  • 首都科技期刊卓越行动计划
  • EI
  • Scopus
  • CAB Abstracts
  • Global Health
  • 北大核心期刊
  • DOAJ
  • EBSCO
  • 中国核心学术期刊RCCSE A+
  • 中国科技核心期刊CSTPCD
  • JST China
  • FSTA
  • 中国农林核心期刊
  • 中国开放获取期刊数据库COAJ
  • CA
  • WJCI
  • 食品科学与工程领域高质量科技期刊分级目录第一方阵T1
中国精品科技期刊2020
蔡帅,郭秋爽,刘炎,等. 响应面法优化弗托氏葡糖酸杆菌产羟基乙酸工艺条件J. 食品工业科技,2022,43(12):138−145. doi: 10.13386/j.issn1002-0306.2021090342.
引用本文: 蔡帅,郭秋爽,刘炎,等. 响应面法优化弗托氏葡糖酸杆菌产羟基乙酸工艺条件J. 食品工业科技,2022,43(12):138−145. doi: 10.13386/j.issn1002-0306.2021090342.
CAI Shuai, GUO Qiushuang, LIU Yan, et al. Optimization of the Technological Conditions for Glycolic Acid Production by Gluconobacter frateurii Using Response Surface MethodologyJ. Science and Technology of Food Industry, 2022, 43(12): 138−145. (in Chinese with English abstract). doi: 10.13386/j.issn1002-0306.2021090342.
Citation: CAI Shuai, GUO Qiushuang, LIU Yan, et al. Optimization of the Technological Conditions for Glycolic Acid Production by Gluconobacter frateurii Using Response Surface MethodologyJ. Science and Technology of Food Industry, 2022, 43(12): 138−145. (in Chinese with English abstract). doi: 10.13386/j.issn1002-0306.2021090342.

响应面法优化弗托氏葡糖酸杆菌产羟基乙酸工艺条件

Optimization of the Technological Conditions for Glycolic Acid Production by Gluconobacter frateurii Using Response Surface Methodology

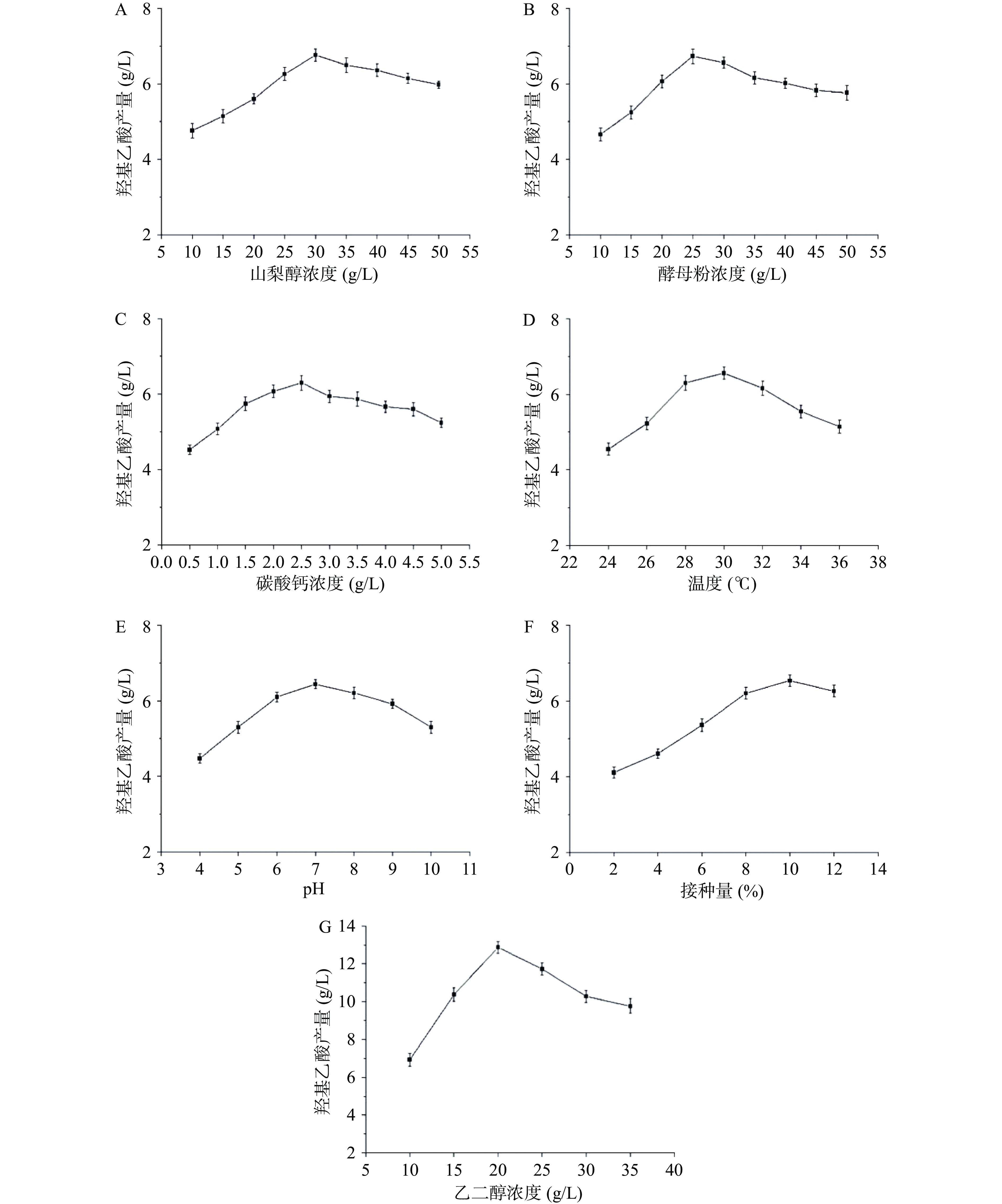
  • 摘要: 采用响应面法对弗托氏葡糖酸杆菌产羟基乙酸的工艺条件进行了优化。首先利用单因素实验、Plackett-Burman试验设计筛选出影响羟基乙酸产量的3个主要因素:山梨醇浓度、酵母粉浓度、乙二醇浓度。在这个基础上用最陡爬坡法来逼近最大响应值范围,然后利用响应面分析法确定这几个主要因素之间的交互作用和最佳条件。结果表明,山梨醇浓度40.30 g/L、酵母粉浓度36.90 g/L、CaCO3浓度2.50 g/L、乙二醇浓度28.14 g/L、发酵温度30 ℃、pH7、接种量10%(v/v)、转速200 r/min、发酵时间48 h,在此优化条件下,经过三次重复平行试验求平均值,Gluconobacter frateurii HD924羟基乙酸产量达到21.04 g/L,与响应面预测产量相近,与优化前相比,羟基乙酸转化率提高了28.25%,转化率达到了74.77%,生产强度为10.52 g/(L·d)。

     

    Abstract: The response surface methodology was employed to optimize the process conditions of Gluconobacter frateurii for producing glycolic acid. First, single factor test and Plackett-Burman test design were used to screen out the three main factors affecting the production of glycolic acid: Sorbitol concentration, yeast powder concentration, and ethylene glycol concentration. On this basis, the steepest climbing path method was used to approach the maximum response value range, and the response surface methodology was used to determine the interaction and optimal conditions between these main factors. The results showed that the optimization concentration were: Sorbitol 40.30 g/L, yeast powder 36.90 g/L, CaCO3 2.50 g/L, ethylene glycol 28.14 g/L, culture temperature 30 °C, pH7, inoculum size 10% (v/v), rotating speed 200 r/min, fermentation period 48 h. Under the optimized condition, the titer of glycolic acid reached 21.04 g/L. After three parallel experiments, the actual average titer was close to the predicted titer. The conversion rate of glycolic acid was increased by 28.25%, reaching 74.77%, and the productivity was 10.52 g/(L·d).

     

/

返回文章
返回