• 中国科技期刊卓越行动计划项目资助期刊
  • 中国精品科技期刊
  • EI
  • Scopus
  • CAB Abstracts
  • Global Health
  • 北大核心期刊
  • DOAJ
  • EBSCO
  • 中国核心学术期刊RCCSE A+
  • 中国科技核心期刊CSTPCD
  • JST China
  • FSTA
  • 中国农林核心期刊
  • 中国开放获取期刊数据库COAJ
  • CA
  • WJCI
  • 食品科学与工程领域高质量科技期刊分级目录第一方阵T1
中国精品科技期刊2020
谭戈,朱新贵,李学伟,等. 强化鲁氏接合酵母对酱油品质的影响J. 食品工业科技,2022,43(13):86−93. doi: 10.13386/j.issn1002-0306.2021100083.
引用本文: 谭戈,朱新贵,李学伟,等. 强化鲁氏接合酵母对酱油品质的影响J. 食品工业科技,2022,43(13):86−93. doi: 10.13386/j.issn1002-0306.2021100083.
TAN Ge, ZHU Xingui, LI Xuewei, et al. Effect of Fortified Zygosaccharomyces rouxii on the Quality of Soy SauceJ. Science and Technology of Food Industry, 2022, 43(13): 86−93. (in Chinese with English abstract). doi: 10.13386/j.issn1002-0306.2021100083.
Citation: TAN Ge, ZHU Xingui, LI Xuewei, et al. Effect of Fortified Zygosaccharomyces rouxii on the Quality of Soy SauceJ. Science and Technology of Food Industry, 2022, 43(13): 86−93. (in Chinese with English abstract). doi: 10.13386/j.issn1002-0306.2021100083.

强化鲁氏接合酵母对酱油品质的影响

Effect of Fortified Zygosaccharomyces rouxii on the Quality of Soy Sauce

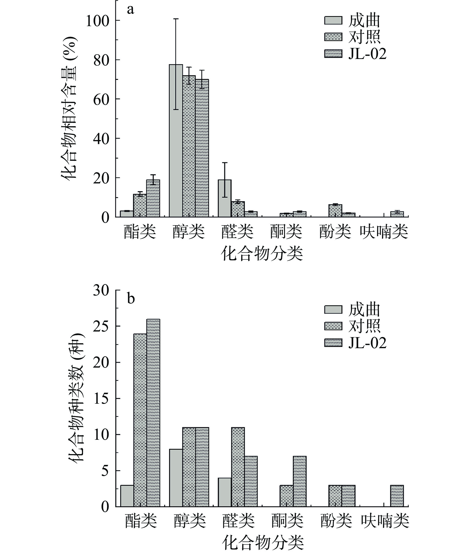
  • 摘要: 为了研究强化鲁氏接合酵母(JL-02)对酱油品质的影响。通过测定JL-02菌株耐盐性、成曲pH和中性酶活力、不同酿造工艺两种酱油的理化指标以及挥发性风味物质并进行分析。结果表明,JL-02菌株耐盐性高达16%,成曲pH为6.85±0.08,中性蛋白酶活力为(2109.2±45.2)U/g;强化鲁氏接合酵母后的酱油总酸含量为(1.14±0.01)g/100 mL,较对照组有所增加,而还原糖含量为(1.06±0.01)g/100 mL,pH为5.09±0.03,均较对照组有所降低,氨基态氮含量并无明显差异,均达到特级酱油标准。同时成曲、对照组和实验组挥发性风味物质分别为15、52和57种,而后者新增呋喃类风味物质(2-正戊基呋喃、4-甲氧基-2,5-二甲基-3(2H)-呋喃酮和2,3-二氢苯并呋喃),对三组样品挥发性风味物质进行主成分分析,聚类分析结果良好。本研究为今后酱油企业进行强化酵母菌株酿造酱油工艺提供一定的思路和技术方法。

     

    Abstract: To study the effect of fortified Zygosaccharomyces rouxii (JL-02) on the quality of soy sauce, salt tolerance characteristic of strain JL-02, pH and neutral proteinase activity of koji, the physicochemical properties and volatile flavor substances of two soy sauces in different brewing processes were analyzed. The results showed that salt tolerance of the strain JL-02 was up to 16%, the pH of koji was 6.85±0.08, and the neutral proteinase activity reached to (2109.2±45.2) U/g. Compared with the control group, the soy sauce treated with fortified Zygosaccharomyces rouxii exhibited the increased total acid content ((1.14±0.01) g/100 mL), decreased reducing sugar content ((1.06±0.01) g/100 mL) and pH value (5.09±0.03). But there was no significant difference in the content of amino nitrogen, and all samples reached the standard of special grade soy sauce. In addition, there were 15, 52 and 57 volatile flavor compounds in the koji, control group, and experimental group, respectively. And the furan flavor substances (2-pentylfuran, 4-methoxy-2,5-dimethyl-3(2H)-furanone and 2,3-dihydrobenzofuran) were increased in the experimental group. The principal component analysis of the volatile flavor compounds in the three groups of samples showed a good result. This research provides a theoretical basis and technical reference for the soy sauce enterprises to carry out the intensified yeast strain brewing soy sauce technology in the future.

     

/

返回文章
返回