• 中国科技期刊卓越行动计划项目资助期刊
  • 中国精品科技期刊
  • 首都科技期刊卓越行动计划
  • EI
  • Scopus
  • CAB Abstracts
  • Global Health
  • 北大核心期刊
  • DOAJ
  • EBSCO
  • 中国核心学术期刊RCCSE A+
  • 中国科技核心期刊CSTPCD
  • JST China
  • FSTA
  • 中国农林核心期刊
  • 中国开放获取期刊数据库COAJ
  • CA
  • WJCI
  • 食品科学与工程领域高质量科技期刊分级目录第一方阵T1
中国精品科技期刊2020
戈瑞,杨雪,陈全胜,等. MIL-88A功能化聚氨酯复合材料脱除海带多糖中砷的研究J. 食品工业科技,2022,43(24):54−61. doi: 10.13386/j.issn1002-0306.2022030073.
引用本文: 戈瑞,杨雪,陈全胜,等. MIL-88A功能化聚氨酯复合材料脱除海带多糖中砷的研究J. 食品工业科技,2022,43(24):54−61. doi: 10.13386/j.issn1002-0306.2022030073.
GE Rui, YANG Xue, CHEN Quansheng, et al. Removal of Arsenic from Kelp Polysaccharide by MIL-88A Functionalized PolyurethaneJ. Science and Technology of Food Industry, 2022, 43(24): 54−61. (in Chinese with English abstract). doi: 10.13386/j.issn1002-0306.2022030073.
Citation: GE Rui, YANG Xue, CHEN Quansheng, et al. Removal of Arsenic from Kelp Polysaccharide by MIL-88A Functionalized PolyurethaneJ. Science and Technology of Food Industry, 2022, 43(24): 54−61. (in Chinese with English abstract). doi: 10.13386/j.issn1002-0306.2022030073.

MIL-88A功能化聚氨酯复合材料脱除海带多糖中砷的研究

Removal of Arsenic from Kelp Polysaccharide by MIL-88A Functionalized Polyurethane

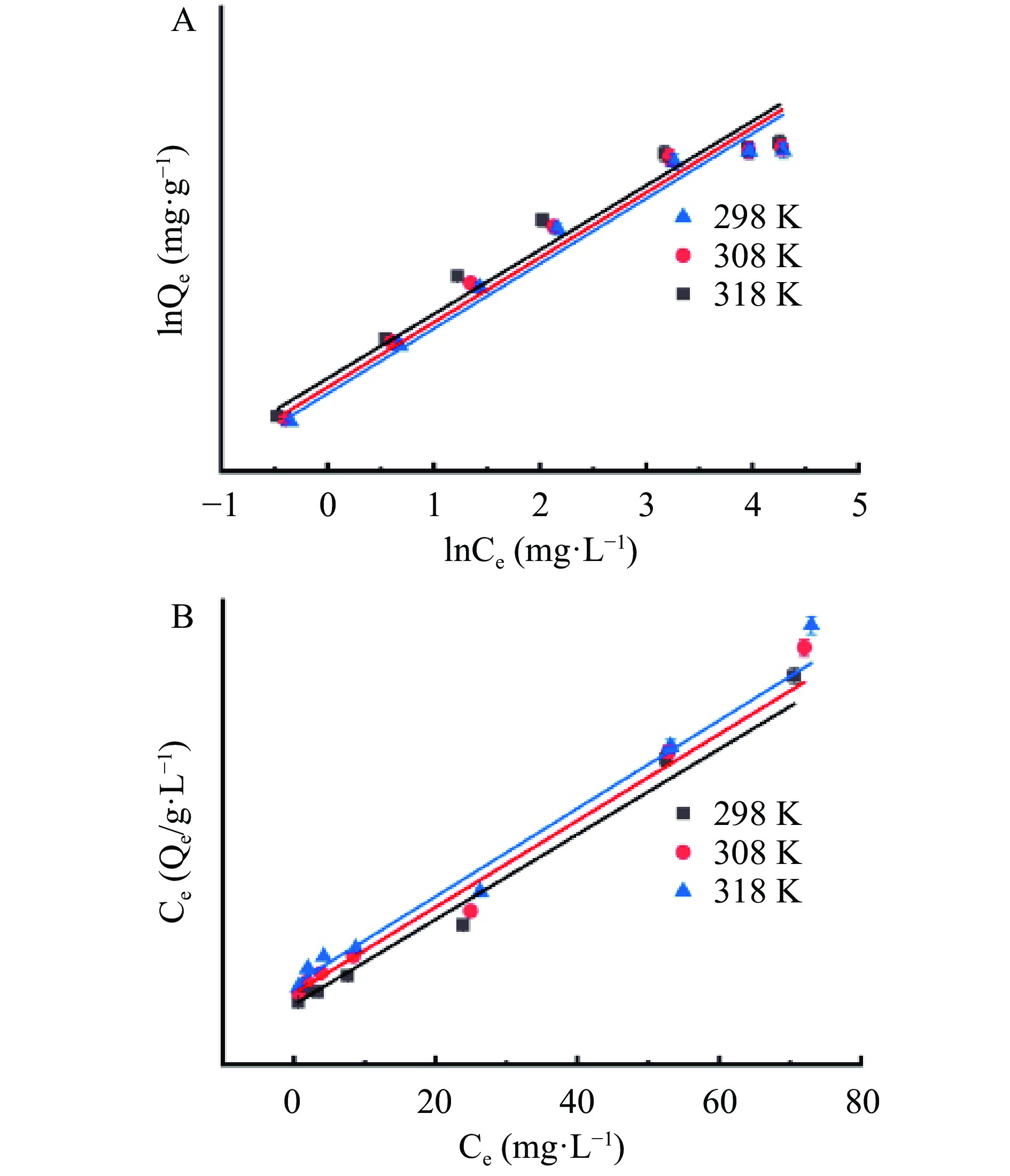
  • 摘要: 针对海带多糖中砷(As)高残留的问题,建立了一种高效脱除海带多糖中As的方法。首先制备来瓦希尔骨架(MIL-88A)功能化的聚氨酯泡沫(PU)复合材料,通过扫描电子显微镜、傅里叶红外光谱、X射线衍射谱表征MIL-88A/PU材料的形貌及表面官能团结构,再利用原子荧光光谱法考察MIL-88A/PU对As的脱除能力。结果表明,MIL-88A成功负载在PU上,MIL-88A/PU材料含有丰富的活性位点,在吸附温度为298 K,pH5.0,吸附时间为240 min时,对As(III)的最大吸附容量为107.52 mg/g。经MIL-88A/PU处理后,海带多糖中总As、无机As的去除率分别为70.43%、73.33%,而对多糖、蛋白质含量的保存率分别为90.47%、73.76%。因此,将海带多糖通过MIL-88A/PU复合材料处理,可有效降低海带多糖中的As含量,提高海带多糖的食用安全性。

     

    Abstract: This work focused on the problem of high arsenic (As) residues in kelp polysaccharides and develops an effective method for removing As from kelp polysaccharides. Lavoisier Frameworks material (MIL-88A) was assembled with Polyurethane foam (PU). Scanning electron microscopy (SEM), Fourier infrared spectroscopy (FTIR), and X-ray diffraction spectroscopy (XRD) were used to characterize the morphology and surface functional group of MIL-88A/PU materials, and then atomic fluorescence spectroscopy (AFS) was used to investigate the ability of MIL-88A/PU to remove As. Results showed that MIL-88A was successfully loaded on PU, and the MIL-88A/PU possesses abundant active sites. The maximum adsorption capacity for As (III) was 107.52 mg/g when the absorption conditions maintained at 298 K, pH5.0, and 240 min. After treating by MIL-88A/PU, the amount of As in kelp polysaccharides were effectively reduced, and the removal rate of total As and inorganic As was 70.43% and 73.33%, respectively. Moreover, the preservation rates of polysaccharide and protein content in kelp polysaccharides were 90.47% and 73.76%, respectively. Remarkably, dealing kelp polysaccharides with MIL-88A/PU significantly reduced the amount of As, which would improve the economic benefit of the kelp polysaccharides.

     

/

返回文章
返回