• 中国科技期刊卓越行动计划项目资助期刊
  • 中国精品科技期刊
  • EI
  • Scopus
  • CAB Abstracts
  • Global Health
  • 北大核心期刊
  • DOAJ
  • EBSCO
  • 中国核心学术期刊RCCSE A+
  • 中国科技核心期刊CSTPCD
  • JST China
  • FSTA
  • 中国农林核心期刊
  • 中国开放获取期刊数据库COAJ
  • CA
  • WJCI
  • 食品科学与工程领域高质量科技期刊分级目录第一方阵T1
中国精品科技期刊2020
陈絮蒙,田星,郭亦杰,等. 不同比例酸枣仁-茯苓水提物对大鼠焦虑样行为的影响[J]. 食品工业科技,2023,44(2):408−416. doi: 10.13386/j.issn1002-0306.2022030341.
引用本文: 陈絮蒙,田星,郭亦杰,等. 不同比例酸枣仁-茯苓水提物对大鼠焦虑样行为的影响[J]. 食品工业科技,2023,44(2):408−416. doi: 10.13386/j.issn1002-0306.2022030341.
CHEN Xumeng, TIAN Xing, GUO Yijie, et al. Influence of the Aqueous Extracts of Ziziphi Spinosae Semen and Poria cocos with Different Ratios on Anxiety-related Behavior of Rats[J]. Science and Technology of Food Industry, 2023, 44(2): 408−416. (in Chinese with English abstract). doi: 10.13386/j.issn1002-0306.2022030341.
Citation: CHEN Xumeng, TIAN Xing, GUO Yijie, et al. Influence of the Aqueous Extracts of Ziziphi Spinosae Semen and Poria cocos with Different Ratios on Anxiety-related Behavior of Rats[J]. Science and Technology of Food Industry, 2023, 44(2): 408−416. (in Chinese with English abstract). doi: 10.13386/j.issn1002-0306.2022030341.

不同比例酸枣仁-茯苓水提物对大鼠焦虑样行为的影响

Influence of the Aqueous Extracts of Ziziphi Spinosae Semen and Poria cocos with Different Ratios on Anxiety-related Behavior of Rats

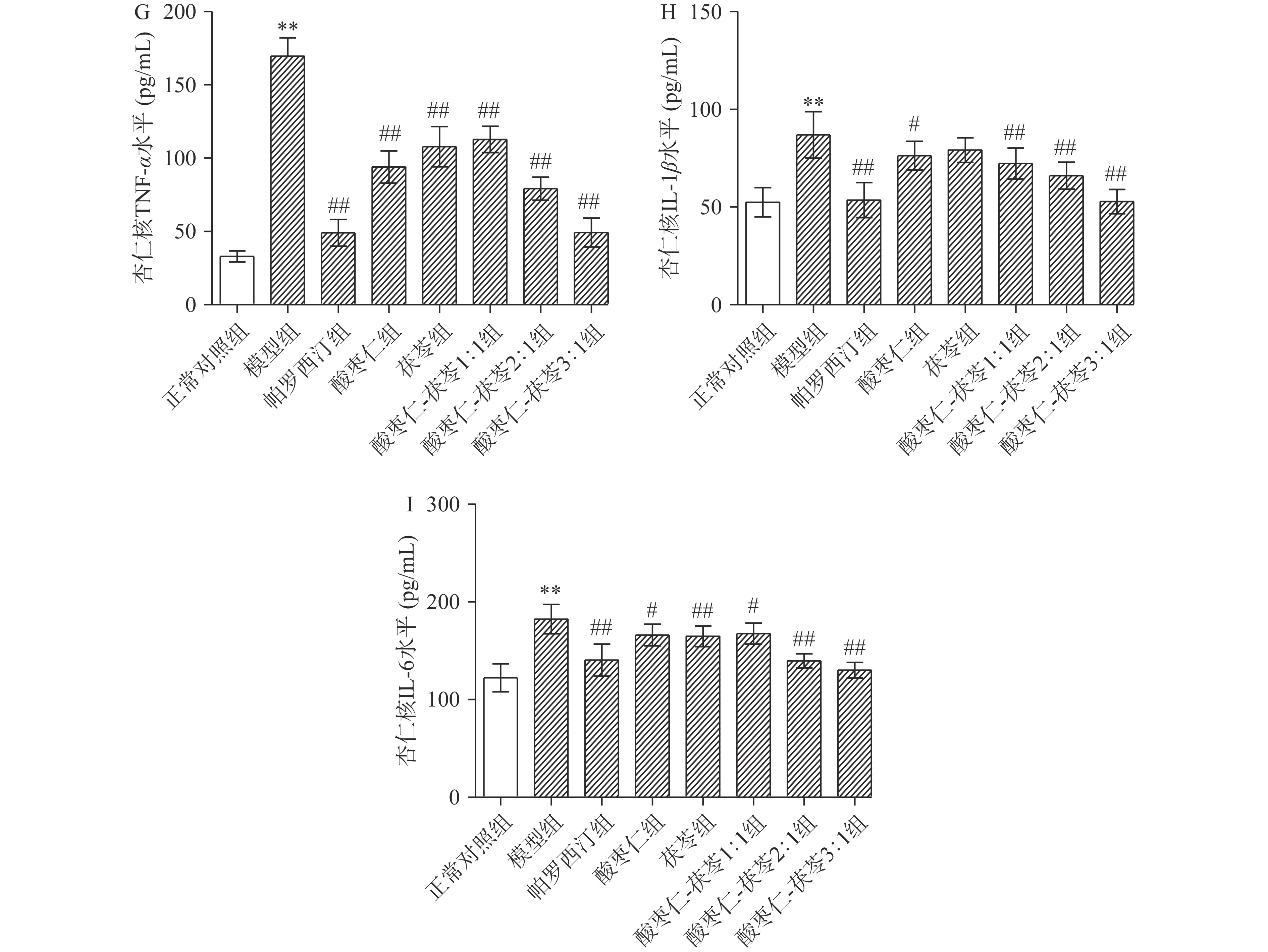
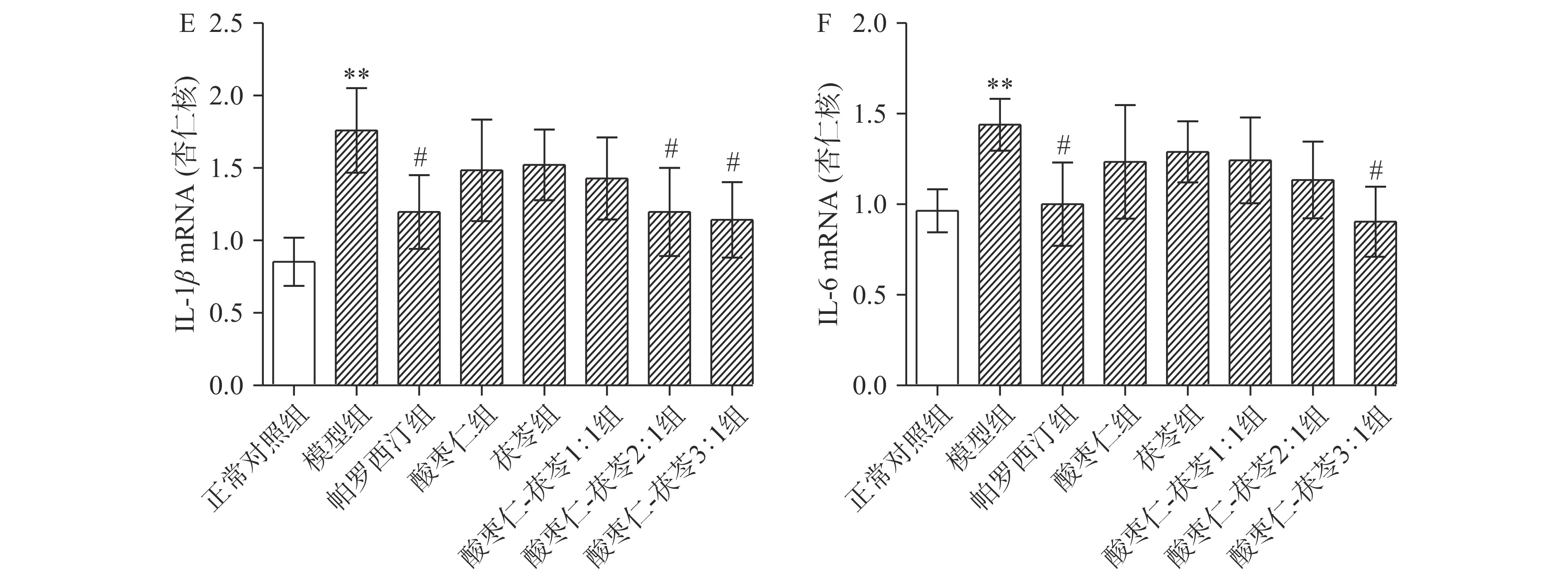
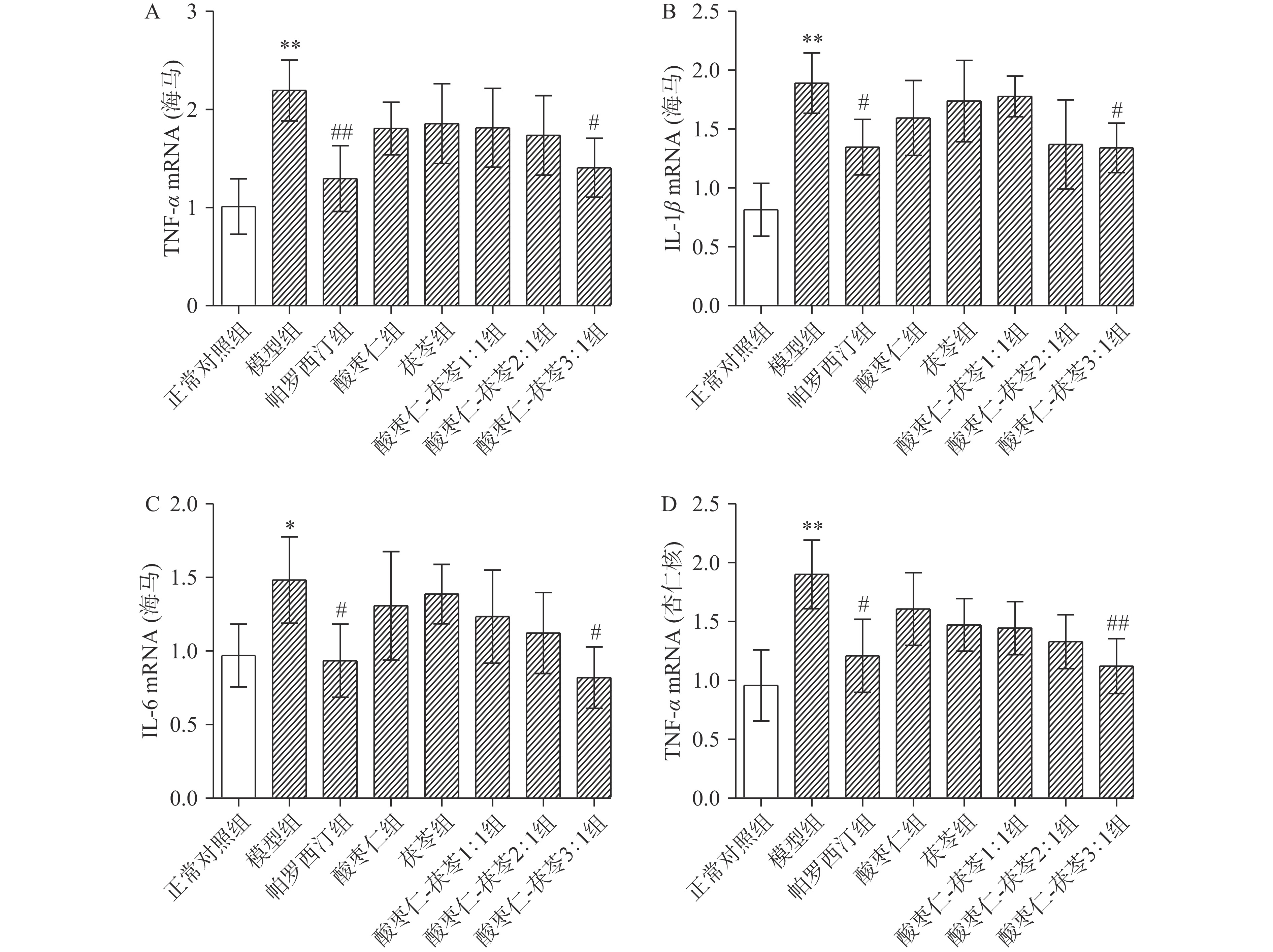
  • 摘要: 目的:观察不同比例酸枣仁-茯苓混合后水提物的抗焦虑作用并探讨其机制。方法:64只SD大鼠随机分成8组:正常对照组、模型组、帕罗西汀组、酸枣仁组、茯苓组、酸枣仁-茯苓1:1组、酸枣仁-茯苓2:1组、酸枣仁-茯苓3:1组。28 d慢性束缚加孤养方法建立大鼠焦虑症模型,动态观察动物基本形态及体质量变化,造模第8 d起连续给药21 d。高架十字迷宫及旷场实验评价大鼠焦虑样行为;酶联免疫吸附法及荧光实时定量PCR检测大鼠血清、海马及杏仁核组织中肿瘤坏死因子(TNF-α)、白细胞介素-1β(IL-1β)、白细胞介素-6(IL-6)含量及mRNA表达的相对量。结果:与模型组相比,不同比例酸枣仁-茯苓均能有效改善大鼠形态、体质量、焦虑样行为并调节血清及组织炎症因子水平(P<0.05,P<0.01)。其中酸枣仁-茯苓3:1复配使用可极显著提高动物造模28 d后体质量(P<0.01),提高高架十字迷宫总穿臂次数、进入开放臂次数比例、开放臂停留时间比例(P<0.01),提高旷场水平运动次数、垂直运动次数(P<0.01),降低大鼠血清、海马及杏仁核组织中炎症因子TNF-α、IL-1β、IL-6水平(P<0.01)及mRNA表达(P<0.05,P<0.01),效果优于酸枣仁-茯苓1:1或1:2复配及酸枣仁或茯苓单独使用。结论:酸枣仁-茯苓复配使用能有效改善焦虑模型大鼠形态、体质量及行为学表现,且酸枣仁-茯苓3:1配比效果最佳。其抗焦虑作用机制可能与降低外周与中枢炎症水平有关。

     

    Abstract: Objective: To observe the anti-anxiety effect of the water extracts of the mixture of Ziziphi Spinosae Semen (SZS) and Poria cocos (PC) with different ratios and to investigate the mechanism. Methods: Sixty-four SD rats were randomly divided into 8 groups, paroxetine group, SZS group, PC group, and the extracts with the different ratios of SZS to PC, which ranged from 1:1, 2:1 to 3:1. The anxiety model was established by chronic restraint and solitary which lasted for 28 days. During this period, the basic morphological features and body mass were observed. After 8 days of this treatment, paroxetine and different extracts were administrated. Elevated plus maze (EPM) and the open field test (OFT) were used to examine potential anxiolytic effects. It was determined by ELISA and quantitative real-time PCR for the total amount of tumor necrosis factor-α (TNF-α), interleukin-1β (IL-1β), and interleukin-6 (IL-6) in serum, hippocampus, and amygdala tissues of rats, and the relative amount of mRNA expression. Results: Compared with the control group, the experimental groups that employed different proportions of SZS and PC could effectively improve the condition of morphological features, body mass, dysphoric behavior and regulate the level of inflammatory factors in serum and tissues (P<0.05, P<0.01). Among them, the combination of SZS-PC 3:1 could significantly improve the body weight of animals after 28 days of modeling (P<0.01). This treatment increased the total time of arm penetrations. At the same time, the ratio of the times of rats to enter the open arm was elevated. So was the ratio of the open arm stay time in the elevated plus-maze (P<0.01). And this treatment increased horizontal and vertical movements in the open field (P<0.01). Meanwhile, this treatment decreased the levels of inflammatory factors TNF-α, IL-1β, IL-6 (P<0.01), and mRNA expressions in serum, hippocampus, and amygdala tissue of rats (P<0.05, P<0.01). To sum up, the 3:1 group was better than SZS-PC 1:1 or 1:2 compound and SZS or PC alone. Conclusion: The combination of SZC and PC could effectively improve the condition of the treated rats, which includes the morphological features, body mass, and behavioral features. And the best group was 3:1 (SZS to PC). The mechanism of its anxiolytic effect might be related to the reduced levels of inflammation in peripheral and central areas.

     

/

返回文章
返回