• 中国科技期刊卓越行动计划项目资助期刊
  • 中国精品科技期刊
  • 首都科技期刊卓越行动计划
  • EI
  • Scopus
  • CAB Abstracts
  • Global Health
  • 北大核心期刊
  • DOAJ
  • EBSCO
  • 中国核心学术期刊RCCSE A+
  • 中国科技核心期刊CSTPCD
  • JST China
  • FSTA
  • 中国农林核心期刊
  • 中国开放获取期刊数据库COAJ
  • CA
  • WJCI
  • 食品科学与工程领域高质量科技期刊分级目录第一方阵T1
中国精品科技期刊2020
邵影,张鸿伟,高瑞刚,等. 超高压液相色谱-高分辨质谱法同时筛查蓝莓中90种农药残留J. 食品工业科技,2023,44(5):230−240. doi: 10.13386/j.issn1002-0306.2022040026.
引用本文: 邵影,张鸿伟,高瑞刚,等. 超高压液相色谱-高分辨质谱法同时筛查蓝莓中90种农药残留J. 食品工业科技,2023,44(5):230−240. doi: 10.13386/j.issn1002-0306.2022040026.
SHAO Ying, ZHANG Hongwei, GAO Ruigang, et al. Simultaneous Screening of 90 Pesticides in Blueberry by Ultra-high Pressure Liquid Chromatography Coupled to High Resolution Mass SpectrometryJ. Science and Technology of Food Industry, 2023, 44(5): 230−240. (in Chinese with English abstract). doi: 10.13386/j.issn1002-0306.2022040026.
Citation: SHAO Ying, ZHANG Hongwei, GAO Ruigang, et al. Simultaneous Screening of 90 Pesticides in Blueberry by Ultra-high Pressure Liquid Chromatography Coupled to High Resolution Mass SpectrometryJ. Science and Technology of Food Industry, 2023, 44(5): 230−240. (in Chinese with English abstract). doi: 10.13386/j.issn1002-0306.2022040026.

超高压液相色谱-高分辨质谱法同时筛查蓝莓中90种农药残留

Simultaneous Screening of 90 Pesticides in Blueberry by Ultra-high Pressure Liquid Chromatography Coupled to High Resolution Mass Spectrometry

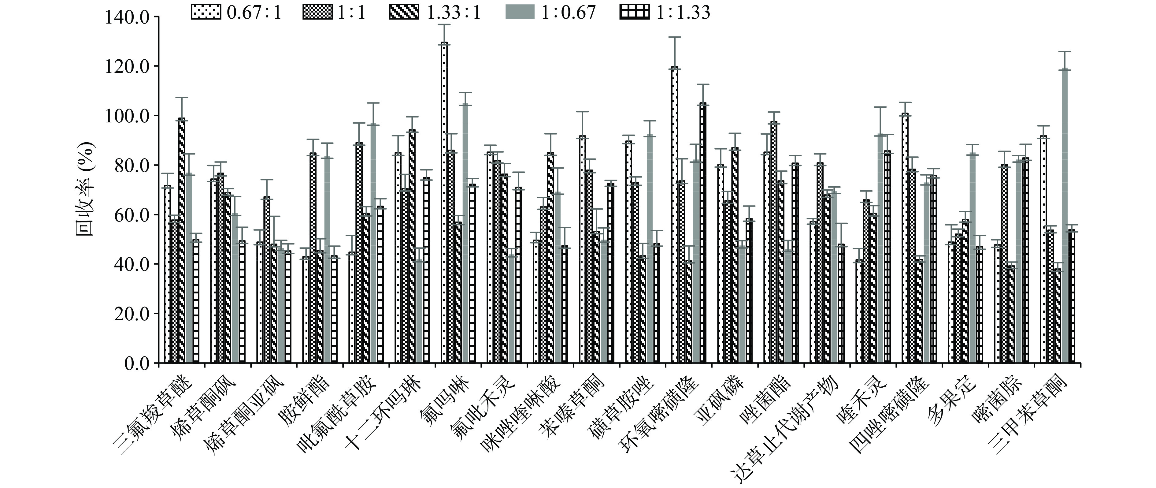
  • 摘要: 建立了超高压液相色谱-高分辨质谱同时筛查蓝莓中90种农药残留的方法。采用改良的QuEChERS方法提取目标物残留,超高压液相色谱-四极杆/离子回旋轨道阱高分辨质谱正负离子模式全扫描-数据依赖性碎片离子采集,代表性基质匹配标准工作曲线定量。结果显示:改良的QuEChERS净化填料中,PSA和C18净化粉的用量均在150 mg时净化效果最好;方法检出限和定量限分别为0.1~18.7 μg/kg和0.2~20.2 μg/kg,90种农药在0.005~0.1 mg/kg范围内,线性关系良好,决定系数R2≥0.992;在0.01、0.05和0.1 mg/kg浓度水平进行基质添加回收实验,回收率50.1%~130.9%,相对标准偏差为1.0%~14.9%。在对实际样品的筛查中,检测到5种农药残留显示了方法的实际应用效能。本方法前处理简便、目标分析物覆盖范围广、在筛查定量基础上可同时完成高精度定性分析,可有效用于蓝莓中常用农药残留的监测。

     

    Abstract: A method for simultaneous screening of 90 pesticide residues in blueberries by ultra-high pressure liquid chromatography high resolution mass spectrometry was developed. Target residues in blueberries were extracted by an improved QuEChERS protocol. Ultra-high pressure liquid chromatography coupled to quadrupole/orbitrap high-resolution mass spectrometry was employed for screening analysis with full mass scanning trigged data dependent fragment ion acquisition in positive and negative mode. The analytes were quantified by representative matrix-matched standard curve. The results showed that the optimized ratio of PSA vs C18 was 1:1 with amount of 150 mg respectively in the improved QuEChERS protocol. The limits of detection and limits of quantitation of the method were 0.1~18.7 μg/kg and 0.2~20.2 μg/kg as well. The linearities for 90 pesticides were fitted by regression calculation at the range of 0.005~0.1 mg/kg with determination coefficient R2≥0.992. With calibration of the representative matrix-matched standard curve, recoveries were calculated ranging from 50.1% to 130.9% and relative standard deviations were varied in the scope of 1.0%~14.9% at the three spiking levels of 0.01, 0.05 and 0.1 mg/kg. Five pesticides were detected in the real-life blueberry samples purchased in the market, evidencing the applicability of the developed method. The proposed approach is applicable for routine pesticide monitoring in blueberries with simple sample preparation, broad analyte coverage and powerful capability of quantification and qualification.

     

/

返回文章
返回