• 中国科技期刊卓越行动计划项目资助期刊
  • 中国精品科技期刊
  • 首都科技期刊卓越行动计划
  • EI
  • Scopus
  • CAB Abstracts
  • Global Health
  • 北大核心期刊
  • DOAJ
  • EBSCO
  • 中国核心学术期刊RCCSE A+
  • 中国科技核心期刊CSTPCD
  • JST China
  • FSTA
  • 中国农林核心期刊
  • 中国开放获取期刊数据库COAJ
  • CA
  • WJCI
  • 食品科学与工程领域高质量科技期刊分级目录第一方阵T1
中国精品科技期刊2020
薛新花,李婷婷,刘盼,等. QuEChERS-气相色谱串联质谱法同时测定番茄中46种农药残留J. 食品工业科技,2023,44(4):337−344. doi: 10.13386/j.issn1002-0306.2022040136.
引用本文: 薛新花,李婷婷,刘盼,等. QuEChERS-气相色谱串联质谱法同时测定番茄中46种农药残留J. 食品工业科技,2023,44(4):337−344. doi: 10.13386/j.issn1002-0306.2022040136.
XUE Xinhua, LI Tingting, LIU Pan, et al. Simultaneous Determination of 46 Pesticide Residues in Tomatoes by QuEChERS Method Combined with Gas Chromatography-Mass SpectrometryJ. Science and Technology of Food Industry, 2023, 44(4): 337−344. (in Chinese with English abstract). doi: 10.13386/j.issn1002-0306.2022040136.
Citation: XUE Xinhua, LI Tingting, LIU Pan, et al. Simultaneous Determination of 46 Pesticide Residues in Tomatoes by QuEChERS Method Combined with Gas Chromatography-Mass SpectrometryJ. Science and Technology of Food Industry, 2023, 44(4): 337−344. (in Chinese with English abstract). doi: 10.13386/j.issn1002-0306.2022040136.

QuEChERS-气相色谱串联质谱法同时测定番茄中46种农药残留

Simultaneous Determination of 46 Pesticide Residues in Tomatoes by QuEChERS Method Combined with Gas Chromatography-Mass Spectrometry

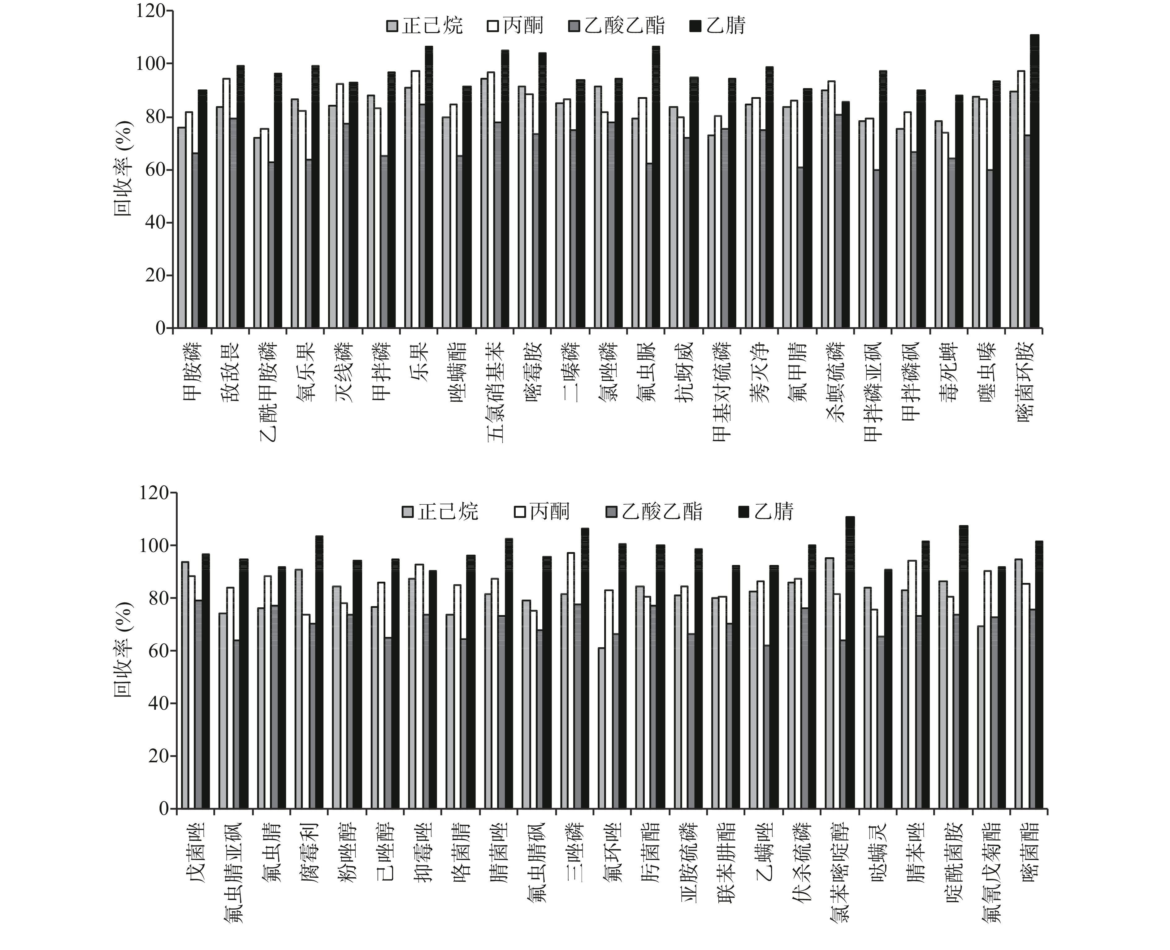
  • 摘要: 建立一种QuEChERS结合气相色谱-串联质谱同时检测番茄中46种杀菌剂和杀虫剂残留的分析方法。样品用乙腈提取,经PSA、C18、无水MgSO4净化,HP-5MS色谱柱分离,采用多反映监测(MRM)模式检测,基质匹配外标法定量。结果表明,46种农药在0.005~0.500 μg/mL的浓度范围内线性关系良好(R2>0.999),方法检出限和定量限分别在0.07~2.63 μg/kg和0.21~8.39 μg/kg之间;在0.0025、0.025、0.25 mg/kg的加标水平下,46种农药化合物平均加标回收率在70.40%~115.08%范围内,相对标准偏差为0.22%~4.89%。50批次番茄样品中9批次检出毒死蜱和嘧菌酯残留,含量范围在0.0043~0.0365 mg/kg,均未超出GB 2763-2021标准规定的限量值。本方法快速、简单、灵敏、准确,能够满足番茄中多农药残留的检测。

     

    Abstract: An analysis method for simultaneous determination of 46 kinds of fungicides and insecticides residues in tomatoes by QuEChERS method combined with gas chromatography-mass spectrometry was established. The samples were extracted with acetonitrile, then purified up with PSA, C18 and anhydrous MgSO4, separated by a HP-5MS chromatographic column, analyzed using multiple reflection monitoring (MRM) mode, and quantified by matrix-matched external standard method. The result showed that, the 46 kinds of pesticides showed good linearity when they were in 0.005~0.500 μg/mL (R2>0.999). The limits of detection of the 46 kinds of pesticides were in 0.07~2.63 μg/kg, and the limits of quantitation were in 0.21~8.39 μg/kg. The average recoveries were 70.40%~115.08% with the relative standard deviations of 0.22%~4.89% at the spiked levels of 0.0025, 0.025 and 0.25 mg/kg. Residues of chlorpyrifos and azoxystrobin were detected in 9 of the 50 batches of tomato samples, with the content ranging from 0.0043~0.0365 mg/kg, which did not exceed the limit value specified in GB 2763-2021. The method was rapid, simple, sensitive and accurate, which could meet the detection of multiple pesticide residues in tomato.

     

/

返回文章
返回