• 中国科技期刊卓越行动计划项目资助期刊
  • 中国精品科技期刊
  • 首都科技期刊卓越行动计划
  • EI
  • Scopus
  • CAB Abstracts
  • Global Health
  • 北大核心期刊
  • DOAJ
  • EBSCO
  • 中国核心学术期刊RCCSE A+
  • 中国科技核心期刊CSTPCD
  • JST China
  • FSTA
  • 中国农林核心期刊
  • 中国开放获取期刊数据库COAJ
  • CA
  • WJCI
  • 食品科学与工程领域高质量科技期刊分级目录第一方阵T1
中国精品科技期刊2020
袁楚珊,黄余年,董欣瑞,等. 不同贮藏温度对黄桃采后品质和抗氧化能力的影响J. 食品工业科技,2023,44(3):356−364. doi: 10.13386/j.issn1002-0306.2022040176.
引用本文: 袁楚珊,黄余年,董欣瑞,等. 不同贮藏温度对黄桃采后品质和抗氧化能力的影响J. 食品工业科技,2023,44(3):356−364. doi: 10.13386/j.issn1002-0306.2022040176.
YUAN Chushan, HUANG Yunian, DONG Xinrui, et al. Effect of Different Storage Temperatures on Postharvest Quality and Antioxidant Capacity of Yellow-fleshed PeachJ. Science and Technology of Food Industry, 2023, 44(3): 356−364. (in Chinese with English abstract). doi: 10.13386/j.issn1002-0306.2022040176.
Citation: YUAN Chushan, HUANG Yunian, DONG Xinrui, et al. Effect of Different Storage Temperatures on Postharvest Quality and Antioxidant Capacity of Yellow-fleshed PeachJ. Science and Technology of Food Industry, 2023, 44(3): 356−364. (in Chinese with English abstract). doi: 10.13386/j.issn1002-0306.2022040176.

不同贮藏温度对黄桃采后品质和抗氧化能力的影响

Effect of Different Storage Temperatures on Postharvest Quality and Antioxidant Capacity of Yellow-fleshed Peach

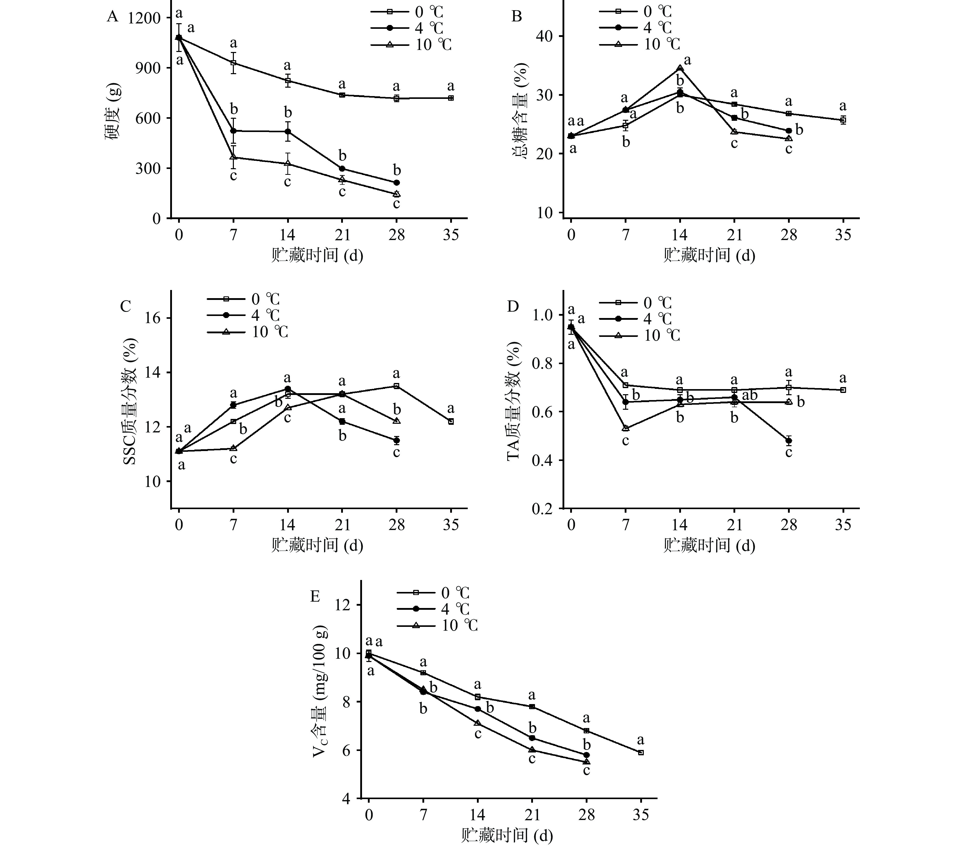
  • 摘要: 本文主要研究了低温贮藏对黄桃果实贮藏品质和抗氧化能力的影响。黄桃采后预冷12 h,在0、4和10 ℃三个不同低温条件下进行贮藏。结果表明,0 ℃贮藏的黄桃采后腐烂率和褐变率均为0,显著低于4和10 ℃(P<0.05)。与4和10 ℃相比,0 ℃贮藏还可以明显抑制膜透率的升高,且贮藏期品质、抗氧化酶活性以及总抗氧化能力均保持在较高水平。在0 ℃下贮藏,果实能够维持较好的硬度、总糖、可溶性固形物、可滴定酸、维生素C、总酚和总黄酮的含量;同时0 ℃贮藏抑制了多酚氧化酶和过氧化物酶活力,而且有利于抗氧化酶维持较高的活性,缓解果实冷害。4和10 ℃下,硬度和维生素C含量显著下降(P<0.05),丙二醛含量显著上升(P<0.05)。采用聚类分析和主成分分析进行数据分析,聚类分析可以将19种生理和品质指标分为两个明显的独立簇,与主成分分析的结果大体一致,即14~21 d是不同温度贮藏的品质劣变点,且第一主成分可以很好地将硬度、维生素含量、可滴定酸含量与其他指标分开,这体现出黄桃果实品质指标和生理指标间的相似性与差异性。因此,0 ℃贮藏可以显著保持黄桃采后品质和抗氧化能力。

     

    Abstract: The effect of low temperature storage on the postharvest quality and antioxidant capacity of yellow-fleshed peach (YFP) was investigated. The YFP fruits were pre-cooled for 12 h after harvesting, and grouped and stored at 0, 4 and 10 ℃ in refrigeration. The quality parameters and antioxidant enzyme activities were determined. The results showed that the decay rate and browning index of YFP stored at 0 ℃ were 0, which were significantly lower than those of fruit stored at 4 and 10 ℃ (P<0.05). And membrane permeability of YFP stored at 0 ℃ was significantly suppressed. Compared with 4 and 10 ℃, the quality, total antioxidant capacity and antioxidant enzyme activity stored at 0 ℃ were all maintained at a higher level at the end of storage. The fruit hardness, contents of total sugar, soluble solid content (SSC), titratable acid (TA), vitamin C (VC), total phenol and total flavonoids were better maintained at 0 ℃. At the same time, the activities of polyphenol oxidase and peroxidase were inhibited and the fruit chilling injury was reduced at 0 ℃. At 4 and 10 ℃, hardness and VC content decreased significantly (P<0.05), while malondialdehyde (MDA) content increased rapidly (P<0.05). At present, the 19 physiological and biochemical parameters were separated into two distinct independent clusters were observed by hierarchical clustering analysis (HCA), which were generally consistent with the results of principal component analysis (PCA), the periods of 14~21 d were the quality deterioration points stored at different temperatures, and the first principal component (PC1) could well separate the hardness, VC content, TA and other indicators. The result could indicate the similarity and difference between physiological and biochemical indexes of YFP. Thus, the storage temperature on 0 ℃ can promote the quality and antioxidant ability of yellow-fleshed peach.

     

/

返回文章
返回