• 中国科技期刊卓越行动计划项目资助期刊
  • 中国精品科技期刊
  • 首都科技期刊卓越行动计划
  • EI
  • Scopus
  • CAB Abstracts
  • Global Health
  • 北大核心期刊
  • DOAJ
  • EBSCO
  • 中国核心学术期刊RCCSE A+
  • 中国科技核心期刊CSTPCD
  • JST China
  • FSTA
  • 中国农林核心期刊
  • 中国开放获取期刊数据库COAJ
  • CA
  • WJCI
  • 食品科学与工程领域高质量科技期刊分级目录第一方阵T1
中国精品科技期刊2020
葛耀进,黎雨浩,彭盛峰,等. 均质压力对亚麻籽油体乳液稳定性及体外消化的影响J. 食品工业科技,2023,44(3):84−94. doi: 10.13386/j.issn1002-0306.2022040202.
引用本文: 葛耀进,黎雨浩,彭盛峰,等. 均质压力对亚麻籽油体乳液稳定性及体外消化的影响J. 食品工业科技,2023,44(3):84−94. doi: 10.13386/j.issn1002-0306.2022040202.
GE Yaojin, LI Yuhao, PENG Shengfeng, et al. Effect of Homogenization Pressure on the Stability and in Vitro Digestion of Flaxseed Oil EmulsionJ. Science and Technology of Food Industry, 2023, 44(3): 84−94. (in Chinese with English abstract). doi: 10.13386/j.issn1002-0306.2022040202.
Citation: GE Yaojin, LI Yuhao, PENG Shengfeng, et al. Effect of Homogenization Pressure on the Stability and in Vitro Digestion of Flaxseed Oil EmulsionJ. Science and Technology of Food Industry, 2023, 44(3): 84−94. (in Chinese with English abstract). doi: 10.13386/j.issn1002-0306.2022040202.

均质压力对亚麻籽油体乳液稳定性及体外消化的影响

Effect of Homogenization Pressure on the Stability and in Vitro Digestion of Flaxseed Oil Emulsion

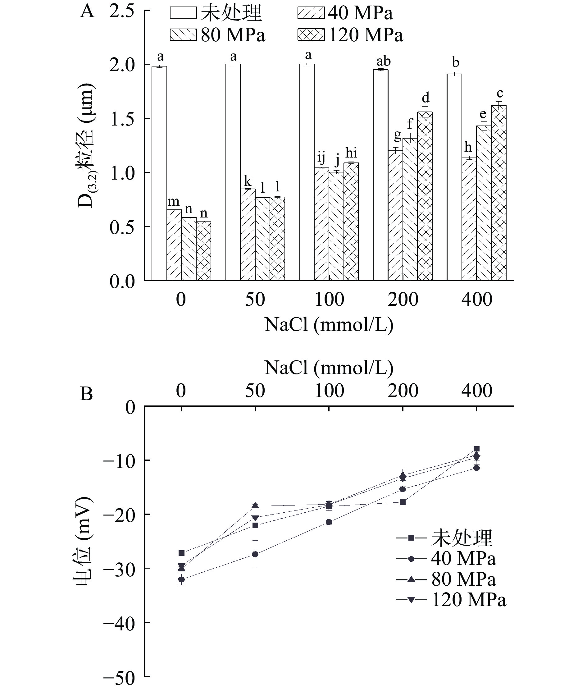
  • 摘要: 本实验以亚麻籽油体为研究对象,通过对其进行均质处理,得到了稳定的富含α-亚麻酸的亚麻籽油体乳液,为居民在日常膳食中提高 -3不饱和脂肪酸摄入量提供了新的途径。在保持均质时间相同的条件下(3 min),对亚麻籽油体进行不同均质压力(40、80、120 MPa)与均质次数(1~3次)处理,考察均质处理对亚麻籽油体乳液的性质、环境稳定性(pH、离子强度、热、氧化稳定性)、储藏稳定性和消化特性的影响。结果表明,FOB在120 MPa下均质处理3次,电位绝对值增加,粒径显著减小(P<0.05)。均质处理后的亚麻籽油体乳液在50~90 ℃下热处理30 min,粒径、电位稳定,且表现出更好的氧化稳定性和储藏稳定性(P<0.05)。均质处理亚麻籽油体并不影响其对pH4~5和离子强度不稳定(P>0.05)。消化结果表明,均质处理后的亚麻籽油体乳液具有更快的脂肪酸释放速率(FFA)。综上,均质处理显著了减小亚麻籽油体乳液的粒径,增强了亚麻籽油体的储藏稳定性和氧化稳定性,且加快了脂肪酸释放速率。

     

    Abstract: In this study, flaxseed oil body was taken as the research object, and stable flaxseed oil body emulsion rich in α-linolenic acid was obtained through homogenization treatment, which provides a new way for residents to increase the intake of ω-3 unsaturated fatty acids in daily diet. Under the same homogenous conditions (3 min) each time, changing the homogenization pressure (40, 80, 120 MPa) and the number of times (1~3 times) of flaxseed oil emulsions, the effects of homogenization on the properties, environmental stability ( pH, ionic strength, thermal, oxidation stability) and storage stability, and digestive properties of flaxseed oil emulsions were investigated. The results showed that the absolute value of potential zeta potential increased and the particle size decreased significantly when flaxseed oil body was homogenized at 120 MPa for three times (P<0.05). After heat treatment at 50~90 ℃ for 30 min, the particle size and potential of homogenized flaxseed oil emulsions were stable, and it showed better oxidation stability and storage stability (P<0.05). With or without homogenization, flaxseed oil bodies were still unstable to pH4~5 and ionic conditions (P>0.05). The results of digestion showed that the homogenized flaxseed oil body emulsion had a higher release rate of fatty acids (FFA). In conclusion, the homogenization treatment significantly reduced the particle size of flaxseed oil emulsion, enhanced the storage stability and oxidation stability of flaxseed oil body, and accelerated the release rate of fatty acid.

     

/

返回文章
返回