• 中国科技期刊卓越行动计划项目资助期刊
  • 中国精品科技期刊
  • EI
  • Scopus
  • CAB Abstracts
  • Global Health
  • 北大核心期刊
  • DOAJ
  • EBSCO
  • 中国核心学术期刊RCCSE A+
  • 中国科技核心期刊CSTPCD
  • JST China
  • FSTA
  • 中国农林核心期刊
  • 中国开放获取期刊数据库COAJ
  • CA
  • WJCI
  • 食品科学与工程领域高质量科技期刊分级目录第一方阵T1
中国精品科技期刊2020
崔柯鑫,孙永,佟利惠,等. 不同干制方式对蓝点马鲛脂肪氧化和挥发性风味成分的影响[J]. 食品工业科技,2023,44(5):10−20. doi: 10.13386/j.issn1002-0306.2022040209.
引用本文: 崔柯鑫,孙永,佟利惠,等. 不同干制方式对蓝点马鲛脂肪氧化和挥发性风味成分的影响[J]. 食品工业科技,2023,44(5):10−20. doi: 10.13386/j.issn1002-0306.2022040209.
CUI Kexin, SUN Yong, TONG Lihui, et al. Effects of Different Drying Methods on Lipid Oxidation and Volatile Flavor Components of Spanish Mackerel (Scomberomorus niphonius)[J]. Science and Technology of Food Industry, 2023, 44(5): 10−20. (in Chinese with English abstract). doi: 10.13386/j.issn1002-0306.2022040209.
Citation: CUI Kexin, SUN Yong, TONG Lihui, et al. Effects of Different Drying Methods on Lipid Oxidation and Volatile Flavor Components of Spanish Mackerel (Scomberomorus niphonius)[J]. Science and Technology of Food Industry, 2023, 44(5): 10−20. (in Chinese with English abstract). doi: 10.13386/j.issn1002-0306.2022040209.

不同干制方式对蓝点马鲛脂肪氧化和挥发性风味成分的影响

Effects of Different Drying Methods on Lipid Oxidation and Volatile Flavor Components of Spanish Mackerel (Scomberomorus niphonius)

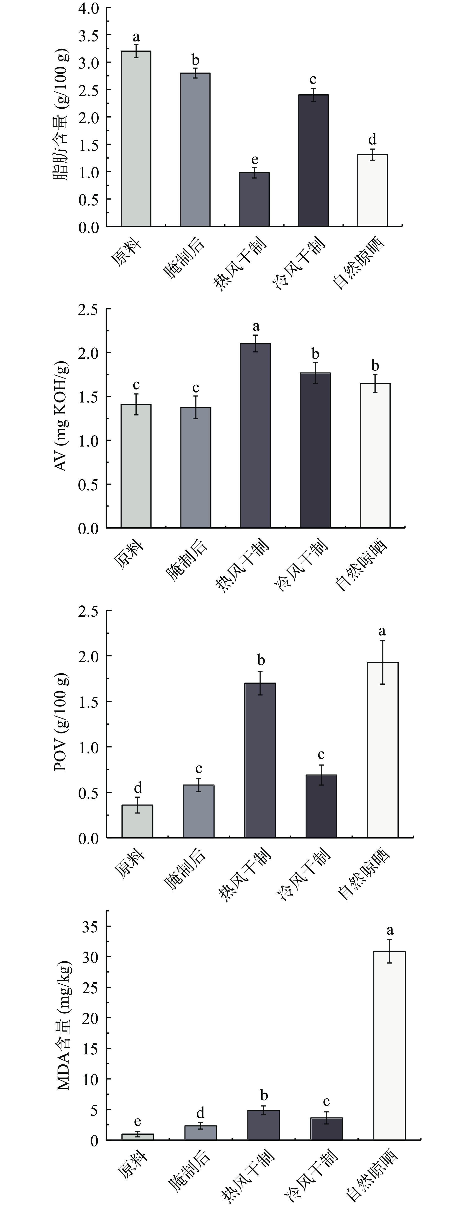
  • 摘要: 为探究不同干制方式对水产品脂肪氧化与挥发性风味物质组成的影响,以蓝点马鲛(Scomberomorus niphonius)为原料,采用热风干制、冷风干制和传统自然晾晒法制得对应实验组样品。测定了原料和不同实验组样品的水分质量分数、pH、脂肪含量、酸价(Acid value,AV)、过氧化值(Peroxide value,POV)、丙二醛(Malondialdehyde,MDA)、脂肪酸组成和挥发性风味物质等指标。结果显示:三种干制方式制得的样品的水分质量分数均在30%左右;pH始终保持在6以上;冷风干制组的AV、POV和MDA含量整体较低(P<0.05);热风干制组中脂肪含量下降最多,AV含量最高,POV和MDA含量显著低于自然晾晒组(P<0.05);自然晾晒组中AV含量最低,POV和MDA含量显著高于其他组别(P<0.05)。干制样品中不饱和脂肪酸尤其是ω-3多不饱和脂肪酸含量下降显著(P<0.05),其中自然晾晒组下降最为明显。原料和干制样品中共检出了8大类120种挥发性风味成分,主要由醛类、醇类和酯类构成。经主成分分析3个主成分对风味的累计贡献率达99.9%,其中自然晾晒组的总体评分最高。结果表明干制方式对蓝点马鲛的脂肪氧化程度和风味均有较大的影响,其中自然晾晒组风味更佳。本研究为传统的水产品加工行业的技术转型提供有效的数据支撑和发展方向。

     

    Abstract: To explore the effects of different drying methods on lipid oxidation and volatile flavor components of fishery products, the corresponding experimental groups were prepared by hot-air drying, cold-air drying and traditional natural drying using fresh Spanish mackerel (Scomberomorus niphonius) as raw material. The moisture content, pH value, lipid content, acid value (AV), peroxide value (POV), malondialdehyde (MDA), fatty acid composition and volatile flavor components of raw materials and different dried samples were measured. The results showed that the moisture content of dried samples prepared by three drying methods was about 30% with the pH value above 6. The AV, POV and the contents of MDA in the cold-air drying group were lower than the other groups (P<0.05). In the hot-air drying group, the lipid content decreased the most, and the AV was the highest, the POV and the content of MDA were significantly lower than those of natural drying group (P<0.05). The AV of the natural drying group represented the lowest, the POV and the content of MDA were significantly higher than those of other groups (P<0.05). The content of unsaturated fatty acid, especially the ω-3 polyunsaturated fatty acids decreased significantly (P<0.05), especially in the natural drying group. A total of 120 volatile flavor substances in 8 categories were detected from raw materials and drying samples, mainly composed of aldehydes, alcohols and esters. Principal component analysis revealed that the cumulative contribution rate of the 3 principal components to flavor was 99.9%, and the score of the natural drying group was the highest. The results indicated that the different drying methods had a great influence on the degree of lipid oxidation and flavor of Spanish mackerel, and the natural drying group had the best flavor. This research provides effective data support and development direction for the technological transformation of the traditional aquatic product processing industry.

     

/

返回文章
返回