• 中国科技期刊卓越行动计划项目资助期刊
  • 中国精品科技期刊
  • 首都科技期刊卓越行动计划
  • EI
  • Scopus
  • CAB Abstracts
  • Global Health
  • 北大核心期刊
  • DOAJ
  • EBSCO
  • 中国核心学术期刊RCCSE A+
  • 中国科技核心期刊CSTPCD
  • JST China
  • FSTA
  • 中国农林核心期刊
  • 中国开放获取期刊数据库COAJ
  • CA
  • WJCI
  • 食品科学与工程领域高质量科技期刊分级目录第一方阵T1
中国精品科技期刊2020
朱艳美,陈亨业,邓高琼,等. 高温大曲白酒中吡嗪类化合物的检测、来源、香气和功能活性研究进展J. 食品工业科技,2023,44(5):420−428. doi: 10.13386/j.issn1002-0306.2022040256.
引用本文: 朱艳美,陈亨业,邓高琼,等. 高温大曲白酒中吡嗪类化合物的检测、来源、香气和功能活性研究进展J. 食品工业科技,2023,44(5):420−428. doi: 10.13386/j.issn1002-0306.2022040256.
ZHU Yanmei, CHEN Hengye, DENG Gaoqiong, et al. Research Progress of the Detection, Source, Aroma and Functional Activity of Pyrazine Compounds in High Temperature Daqu BaijiuJ. Science and Technology of Food Industry, 2023, 44(5): 420−428. (in Chinese with English abstract). doi: 10.13386/j.issn1002-0306.2022040256.
Citation: ZHU Yanmei, CHEN Hengye, DENG Gaoqiong, et al. Research Progress of the Detection, Source, Aroma and Functional Activity of Pyrazine Compounds in High Temperature Daqu BaijiuJ. Science and Technology of Food Industry, 2023, 44(5): 420−428. (in Chinese with English abstract). doi: 10.13386/j.issn1002-0306.2022040256.

高温大曲白酒中吡嗪类化合物的检测、来源、香气和功能活性研究进展

Research Progress of the Detection, Source, Aroma and Functional Activity of Pyrazine Compounds in High Temperature Daqu Baijiu

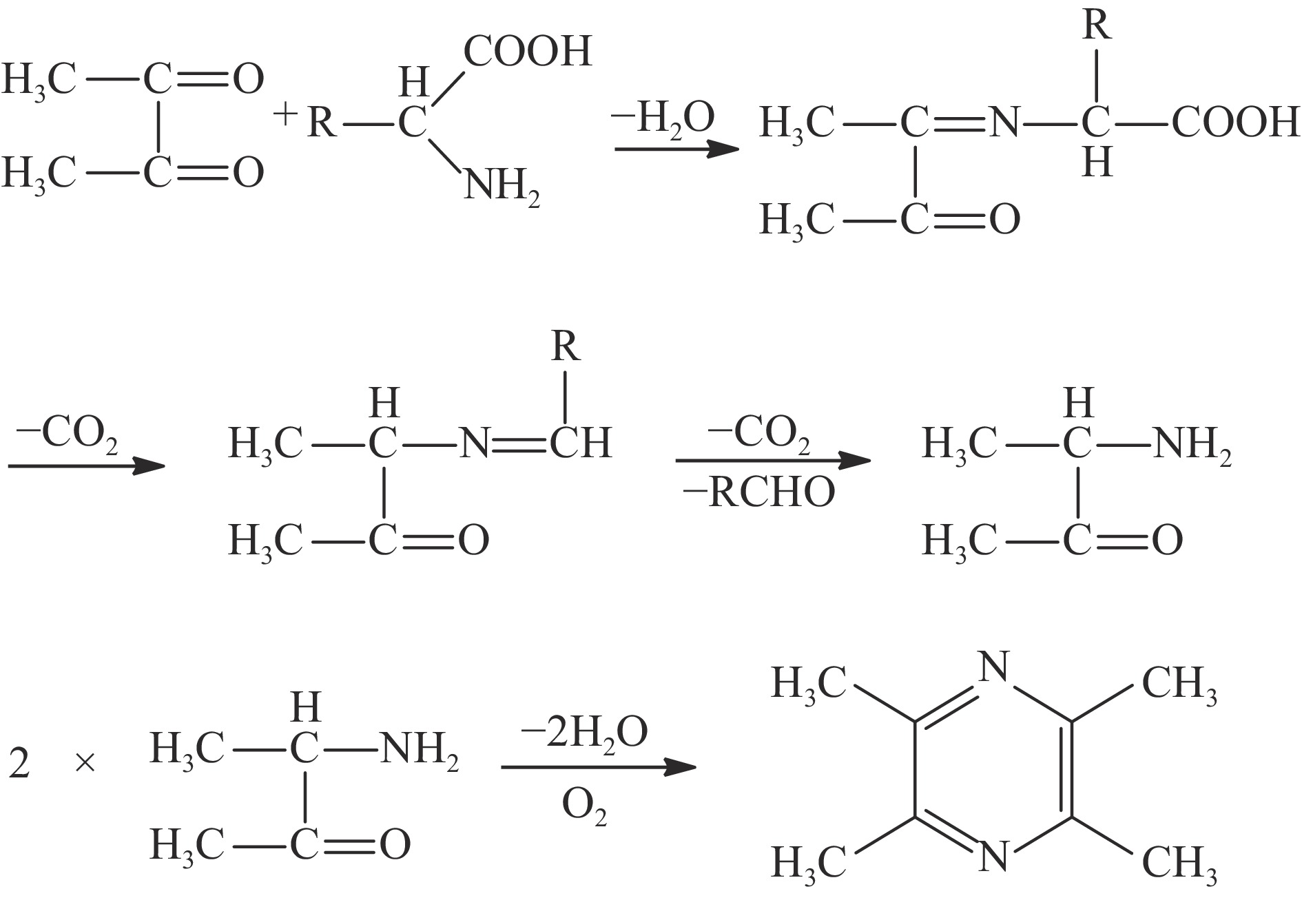
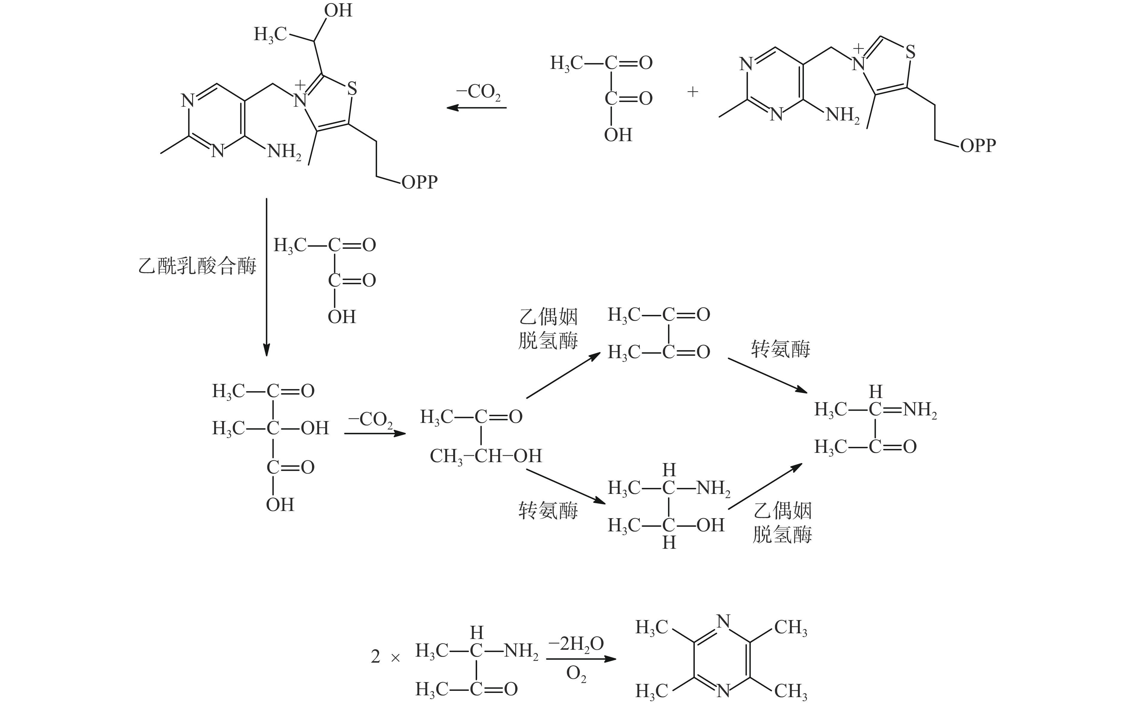
  • 摘要: 白酒风味与品质差异形成的关键因素——微量化合物,是当前白酒研究领域的热点之一。吡嗪类化合物是一类对白酒风味形成有重要贡献的微量化合物,也是白酒中重要的功能性成分。该文详细综述了高温大曲白酒中已知吡嗪类化合物的种类、含量及其常用检测方法,并对其来源(微生物合成和美拉德反应)、香气和功能活性等方面进行了探讨,作为高温大曲白酒中兼具风味和功能活性,又与白酒微生物发酵和酿造工艺密切相关的吡嗪类化合物,其在白酒生产、质量控制和掺假鉴别等领域将有广阔应用,该文可为白酒中吡嗪类化合物的研究提供理论参考。

     

    Abstract: Microcompounds, the key factors for the difference of flavor and quality in Baijiu, are one of the hot topics in the research field of Baijiu. Pyrazine compounds are a kind of microcompounds which contribute to the formation of the flavor in Baijiu, and are also important functional components in Bajiu. In this review, the types and contents of pyrazine compounds known in high temperature Daqu Baijiu and their common detection methods are reviewed in detail. And the source (microbial synthesis and Maillard reaction), aroma and functional activities of pyrazines are also discussed. Pyrazines, which have both flavor and functional activities in high temperature Daqu Baijiu and are closely related to the microbial fermentation and brewing process of Baijiu, will be widely used in the production, quality control and adulteration identification for Baijiu. This review can provide theoretical reference for the study of pyrazines in Baijiu.

     

/

返回文章
返回