• 中国科技期刊卓越行动计划项目资助期刊
  • 中国精品科技期刊
  • 首都科技期刊卓越行动计划
  • EI
  • Scopus
  • CAB Abstracts
  • Global Health
  • 北大核心期刊
  • DOAJ
  • EBSCO
  • 中国核心学术期刊RCCSE A+
  • 中国科技核心期刊CSTPCD
  • JST China
  • FSTA
  • 中国农林核心期刊
  • 中国开放获取期刊数据库COAJ
  • CA
  • WJCI
  • 食品科学与工程领域高质量科技期刊分级目录第一方阵T1
中国精品科技期刊2020
黄玉兰,谢远红,王芳,等. 水产品中鱼药残留检测研究进展J. 食品工业科技,2023,44(5):437−450. doi: 10.13386/j.issn1002-0306.2022040275.
引用本文: 黄玉兰,谢远红,王芳,等. 水产品中鱼药残留检测研究进展J. 食品工业科技,2023,44(5):437−450. doi: 10.13386/j.issn1002-0306.2022040275.
HUANG Yulan, XIE Yuanhong, WANG Fang, et al. Research Progress of Fish Drug Residues Detection in Aquatic ProductsJ. Science and Technology of Food Industry, 2023, 44(5): 437−450. (in Chinese with English abstract). doi: 10.13386/j.issn1002-0306.2022040275.
Citation: HUANG Yulan, XIE Yuanhong, WANG Fang, et al. Research Progress of Fish Drug Residues Detection in Aquatic ProductsJ. Science and Technology of Food Industry, 2023, 44(5): 437−450. (in Chinese with English abstract). doi: 10.13386/j.issn1002-0306.2022040275.

水产品中鱼药残留检测研究进展

Research Progress of Fish Drug Residues Detection in Aquatic Products

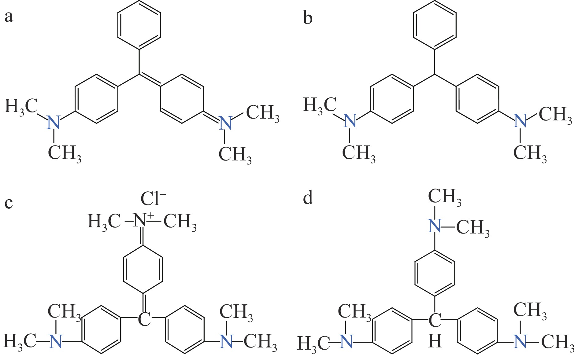
  • 摘要: 孔雀石绿和结晶紫、氯霉素、硝基呋喃类药物曾被广泛用于抑制微生物生长、预防或治疗细菌性疾病。在养殖过程中,仍存在非法使用鱼药的现象。为了防止受污染的产品在食物链中流通,事先实施分析是一项重要的水产品安全保护措施。本文综述了水产品中孔雀石绿和结晶紫、氯霉素、硝基呋喃类药物及其代谢物残留的检测方法,介绍了色谱法、表面增强拉曼光谱、免疫分析法及电化学传感器在该领域的应用,对前处理和验证结果进行了归纳,并讨论了每种方法的优缺点,旨在为监测残留物提供新的思路。具体而言,基于大型仪器的方法检测限低,但固有的缺陷限制了其发展。随着新型纳米材料的发展,表面增强拉曼光谱、免疫分析法、电化学传感器必将成为评估水产品中鱼药残留的有效工具。

     

    Abstract: Malachite green, crystal violet, chloramphenicol and nitrofurans have been widely used to inhibit the growth of microorganisms and to prevent or treat the emergence and spread of bacterial diseases. The above three types of drugs are carcinogenic, teratogenic and mutagenic, which have been banned in many countries. However, due to their advantages of low cost and significant effect, they are still used illegally in the aquaculture process. In order to prevent contaminated products circulating in the food chain and endangering consumer health. Advance analysis of aquatic products is an essential safety protection measure. This paper reviews the analytical methods concerning malachite green, crystal violet, chloramphenicol, nitrofuran and their metabolites residues in aquatic products, describes the application of chromatography, surface-enhanced Raman spectroscopy, enzyme-linked immunosorbent assay, immu-nochromatography assay, chemiluminescence enzyme immunoassay and electrochemical sensors in this field, and systematically summarizes the sample pretreatment procedures, chromatographic conditions and validation results, and discusses the advantages and disadvantages of each method. The aim of this work is to provide new ideas for monitoring residues and to present a thorough overview of current trends in this field. To be specific, high performance liquid chromatography and liquid chromatography tandem-mass spectrometry have low detection limits, yet they require cumbersome pretreatment procedures, expensive instruments and professional labor, which limit the development of this technique. With the development of new nanomaterials, surface-enhance Raman spectroscopy, immunoassay and electrochemical sensors have excellent prospects in assessing fish drug residues, which do not require large instruments, are easy to operate, and can be used for rapid detection in the field, and they will certainly become the effective tools for monitoring illegal fish drugs in aquatic products.

     

/

返回文章
返回