• 中国科技期刊卓越行动计划项目资助期刊
  • 中国精品科技期刊
  • 首都科技期刊卓越行动计划
  • EI
  • Scopus
  • CAB Abstracts
  • Global Health
  • 北大核心期刊
  • DOAJ
  • EBSCO
  • 中国核心学术期刊RCCSE A+
  • 中国科技核心期刊CSTPCD
  • JST China
  • FSTA
  • 中国农林核心期刊
  • 中国开放获取期刊数据库COAJ
  • CA
  • WJCI
  • 食品科学与工程领域高质量科技期刊分级目录第一方阵T1
中国精品科技期刊2020
郝毫,范殊琮,陈琛. 基于文献计量的食品天然多酚研究进展分析J. 食品工业科技,2023,44(3):325−335. doi: 10.13386/j.issn1002-0306.2022040303.
引用本文: 郝毫,范殊琮,陈琛. 基于文献计量的食品天然多酚研究进展分析J. 食品工业科技,2023,44(3):325−335. doi: 10.13386/j.issn1002-0306.2022040303.
HAO Hao, FAN Shucong, CHEN Chen. Bibliometric Analysis on Research Status of Food Sourced Natural PolyphenolsJ. Science and Technology of Food Industry, 2023, 44(3): 325−335. (in Chinese with English abstract). doi: 10.13386/j.issn1002-0306.2022040303.
Citation: HAO Hao, FAN Shucong, CHEN Chen. Bibliometric Analysis on Research Status of Food Sourced Natural PolyphenolsJ. Science and Technology of Food Industry, 2023, 44(3): 325−335. (in Chinese with English abstract). doi: 10.13386/j.issn1002-0306.2022040303.

基于文献计量的食品天然多酚研究进展分析

Bibliometric Analysis on Research Status of Food Sourced Natural Polyphenols

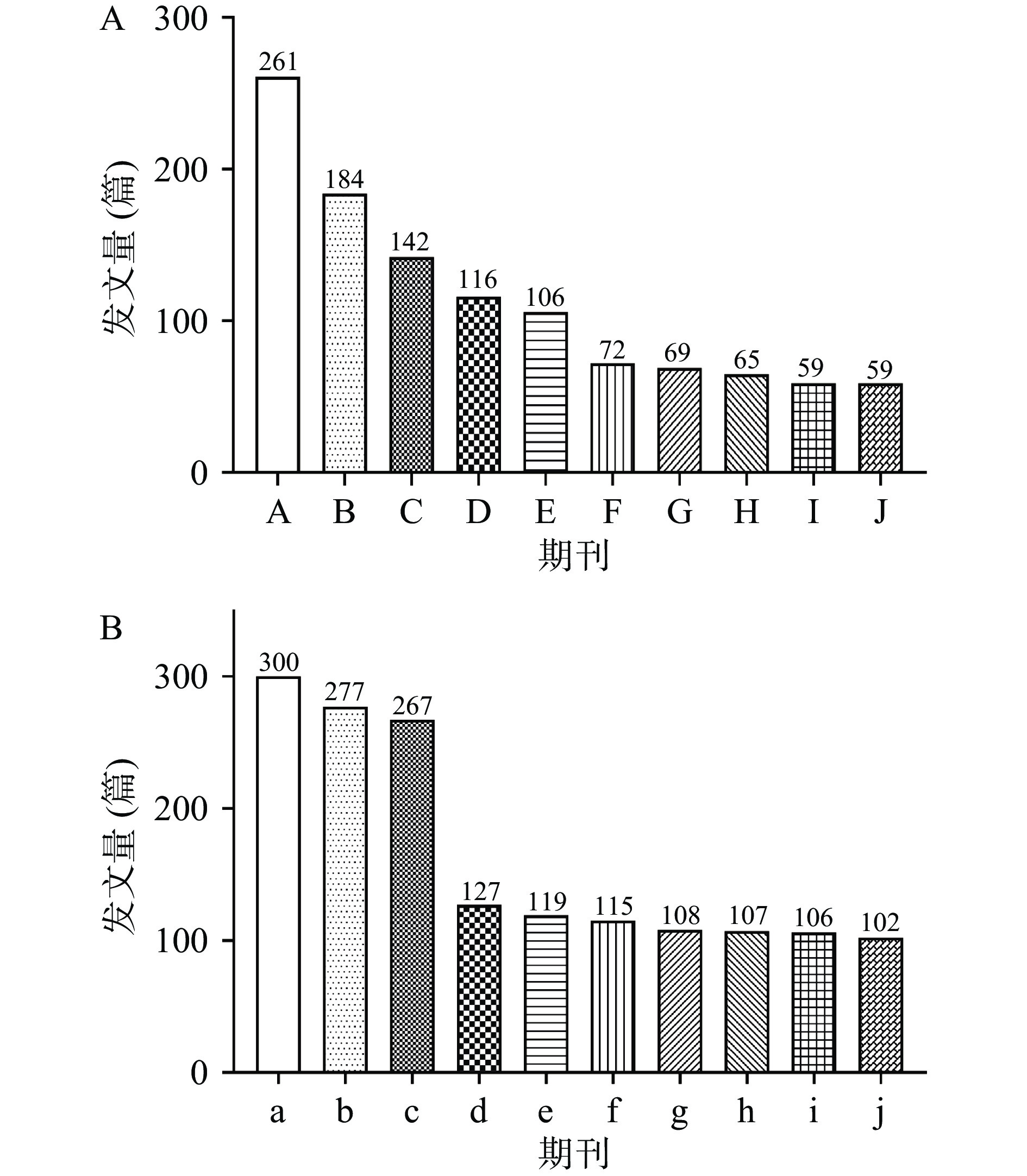
  • 摘要: 食品中天然多酚是具有强效抗氧化特性的植物代谢物,可预防氧化应激引起的各种慢性疾病,越来越受到人们的青睐。本文通过对与食品相关的天然多酚文献数据进行分析,挖掘食品和天然多酚的研究热点和未来研究方向。通过使用CiteSpace V5.8.R3、VOSviewer 1.6.15和Note Express 3.6.0.9178对中国知网和美国国家生物技术信息中心PubMed数据库中与食品相关的天然多酚研究文献进行分布特征分析。结果显示,全球范围内的食品和天然多酚的文献数量持续增加;轻工业/手工业学科发表的文献占全部中文文献的73.18%,相关文献发表最多的期刊是食品工业科技(中国)和Journal of Agricultural and Food Chemistry(美国),发文量处于世界领先地位的国家为中国,主要的研究机构为西南大学(中国)和Indian Institute of Technology(印度),作者励建荣和Shela Gorinstein具有较高的发文量和中心地位。单篇被引频次中文最高为173次,英文最高为2269次。高频关键词突现表明未来的热点将聚集在多酚提取纯化的工艺优化和体外消化以及植物提取研究方面。食品和天然多酚的研究前景广阔,本文可为从事与食品相关的天然多酚研究学者提供数据参考。

     

    Abstract: Natural polyphenols are plant metabolites usually with strong antioxidant properties, based on the analysis of the literature of natural polyphenols related to food, this paper discussed the hot spots and future research directions of food and natural polyphenols. CiteSpace V5.8.R3, VOSviewer 1.6.15, Note Express 3.6.0.9178 were used to analyze the distribution characteristics of research articles on food-related natural polyphenols in CNKI and PubMed database. The results showed that the number of articles on food and natural polyphenols grows continuely. Chinese literature accounts for 73.18% in the field of light industry/handicraft. The most published journals are Science and Technology of Food Industry (China) and Journal of Agricultural and Food Chemistry (USA). China is the leading country in terms of the number of published articles. The main research institutions are Southwest University (China) and the Indian Institute of Technology (India). The number of articles published by Li Jianrong and Shela Goeringstein is relatively high. The citation frequency of a single article in Chinese is the highest 173 times, and that in English is the highest 2269 times. The high-frequency keyword emergence indicated that the hot spots in the future would focus on the process optimization and in vitro digestion of polyphenol extraction and purification, as well as plant extraction. This paper can provide a data reference for scholars who are engaged in the study on food-related natural polyphenols.

     

/

返回文章
返回