• 中国科技期刊卓越行动计划项目资助期刊
  • 中国精品科技期刊
  • 首都科技期刊卓越行动计划
  • EI
  • Scopus
  • CAB Abstracts
  • Global Health
  • 北大核心期刊
  • DOAJ
  • EBSCO
  • 中国核心学术期刊RCCSE A+
  • 中国科技核心期刊CSTPCD
  • JST China
  • FSTA
  • 中国农林核心期刊
  • 中国开放获取期刊数据库COAJ
  • CA
  • WJCI
  • 食品科学与工程领域高质量科技期刊分级目录第一方阵T1
中国精品科技期刊2020
赵星全,高媛媛,廖良坤,等. 草果精油微胶囊的制备工艺优化及性质研究J. 食品工业科技,2023,44(4):198−208. doi: 10.13386/j.issn1002-0306.2022050017.
引用本文: 赵星全,高媛媛,廖良坤,等. 草果精油微胶囊的制备工艺优化及性质研究J. 食品工业科技,2023,44(4):198−208. doi: 10.13386/j.issn1002-0306.2022050017.
ZHAO Xingquan, GAO Yuanyuan, LIAO Liangkun, et al. Optimization of Preparation Technology and Properties of Amomum tsaoko Essential Oil MicrocapsuleJ. Science and Technology of Food Industry, 2023, 44(4): 198−208. (in Chinese with English abstract). doi: 10.13386/j.issn1002-0306.2022050017.
Citation: ZHAO Xingquan, GAO Yuanyuan, LIAO Liangkun, et al. Optimization of Preparation Technology and Properties of Amomum tsaoko Essential Oil MicrocapsuleJ. Science and Technology of Food Industry, 2023, 44(4): 198−208. (in Chinese with English abstract). doi: 10.13386/j.issn1002-0306.2022050017.

草果精油微胶囊的制备工艺优化及性质研究

Optimization of Preparation Technology and Properties of Amomum tsaoko Essential Oil Microcapsule

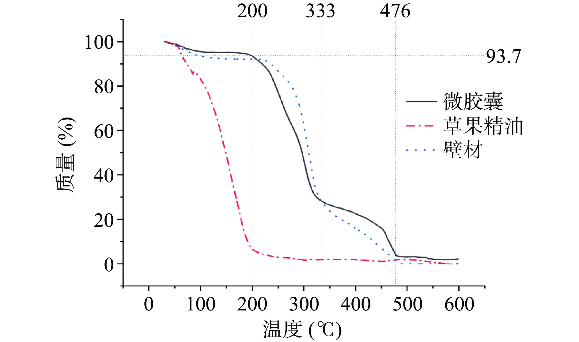
  • 摘要: 草果精油易挥发、不稳定的特点限制其应用范围。为了有效提高草果精油利用率,本文对草果精油微胶囊的制备工艺进行优化并对其性质进行探究。以草果精油、乳化剂为芯材,辛烯基琥珀酸酐淀粉钠(Octenyl Succinic Anhydride Starch,OSA淀粉)、麦芽糊精、胶体为壁材,采用喷雾干燥法制备草果精油微胶囊。通过单因素和正交实验优化其制备工艺,并研究了草果精油微胶囊的物理性质、形貌特征、热稳定性。结果表明:最佳工艺配方为草果精油30%(w/w)、单,双甘油脂肪酸酯1%(w/w)、N-CREAMER 46型号OSA淀粉15%(w/w)、阿拉伯胶0.2%(w/w),喷雾干燥制备的草果精油微胶囊包埋率81.07%±3.20%,负载率64.43%±5.32%,水分含量3.40%±0.08%,复水后平均粒径(226.37±3.06) nm,微胶囊产品呈干燥粉末状,复水溶解迅速,包埋效果较好。经过同步热重差热分析,包埋后的草果精油的热稳定性得到了明显提高,扫描电镜观察草果精油微胶囊颗粒分布均匀。本研究可为喷雾干燥法制备草果精油微胶囊的工业生产提供一定技术参考。

     

    Abstract: Amomum tsaoko essential oil (AEO) has the characteristics of volatility and instability, so it is difficult to be widely used in the food industry. Therefore, the essential oil was embedded in microcapsules to improve its undesirable properties. The AEO microcapsules were prepared by spray drying utilizing AEO and emulsifier as the core materials and octenyl succinic anhydride starch (OSA starch), maltodextrin, and hydrocolloids as the wall materials. The optimal preparation process was obtained via single factor and orthogonal experiment, and the physical properties, morphology structure, thermostability were also investigated. The results showed that the optimum conditions of AEO microcapsules was as follows: AEO 30% (w/w), glycerin monostearate 1% (w/w), OSA starch (N-CREAMER 46) 15% (w/w), gum arabic 0.2% (w/w). Under these conditions, the embedding rate of AEO microcapsules was 81.07%±3.20%, loading rate was 64.43%±5.32%, water content was 3.40%±0.08%, and an average particle size was (226.37±3.06) nm after rehydration. The AEO microcapsules were a dry powder and could be dissolved fast in the water. Additionally, the thermal stability of embedded AEO was obviously improved by synchronous thermogravimetric differential thermal analysis, and scanning electron microscopy demonstrated that the particles of AEO microcapsules were dispersed equally. This work could offer technological references for the industrial production of spray-dried AEO microcapsules.

     

/

返回文章
返回