• 中国科技期刊卓越行动计划项目资助期刊
  • 中国精品科技期刊
  • 首都科技期刊卓越行动计划
  • EI
  • Scopus
  • CAB Abstracts
  • Global Health
  • 北大核心期刊
  • DOAJ
  • EBSCO
  • 中国核心学术期刊RCCSE A+
  • 中国科技核心期刊CSTPCD
  • JST China
  • FSTA
  • 中国农林核心期刊
  • 中国开放获取期刊数据库COAJ
  • CA
  • WJCI
  • 食品科学与工程领域高质量科技期刊分级目录第一方阵T1
中国精品科技期刊2020
张艳艳,郭朋磊,张予涵,等. 超声波辅助冷冻对面团中小麦淀粉理化特性及分子结构的影响J. 食品工业科技,2023,44(7):53−59. doi: 10.13386/j.issn1002-0306.2022050083.
引用本文: 张艳艳,郭朋磊,张予涵,等. 超声波辅助冷冻对面团中小麦淀粉理化特性及分子结构的影响J. 食品工业科技,2023,44(7):53−59. doi: 10.13386/j.issn1002-0306.2022050083.
ZHANG Yanyan, GUO Penglei, ZHANG Yuhan, et al. Effects of Ultrasonic Assisted Freezing on Physicochemical Properties and Molecular Structure of Wheat Starch in DoughJ. Science and Technology of Food Industry, 2023, 44(7): 53−59. (in Chinese with English abstract). doi: 10.13386/j.issn1002-0306.2022050083.
Citation: ZHANG Yanyan, GUO Penglei, ZHANG Yuhan, et al. Effects of Ultrasonic Assisted Freezing on Physicochemical Properties and Molecular Structure of Wheat Starch in DoughJ. Science and Technology of Food Industry, 2023, 44(7): 53−59. (in Chinese with English abstract). doi: 10.13386/j.issn1002-0306.2022050083.

超声波辅助冷冻对面团中小麦淀粉理化特性及分子结构的影响

Effects of Ultrasonic Assisted Freezing on Physicochemical Properties and Molecular Structure of Wheat Starch in Dough

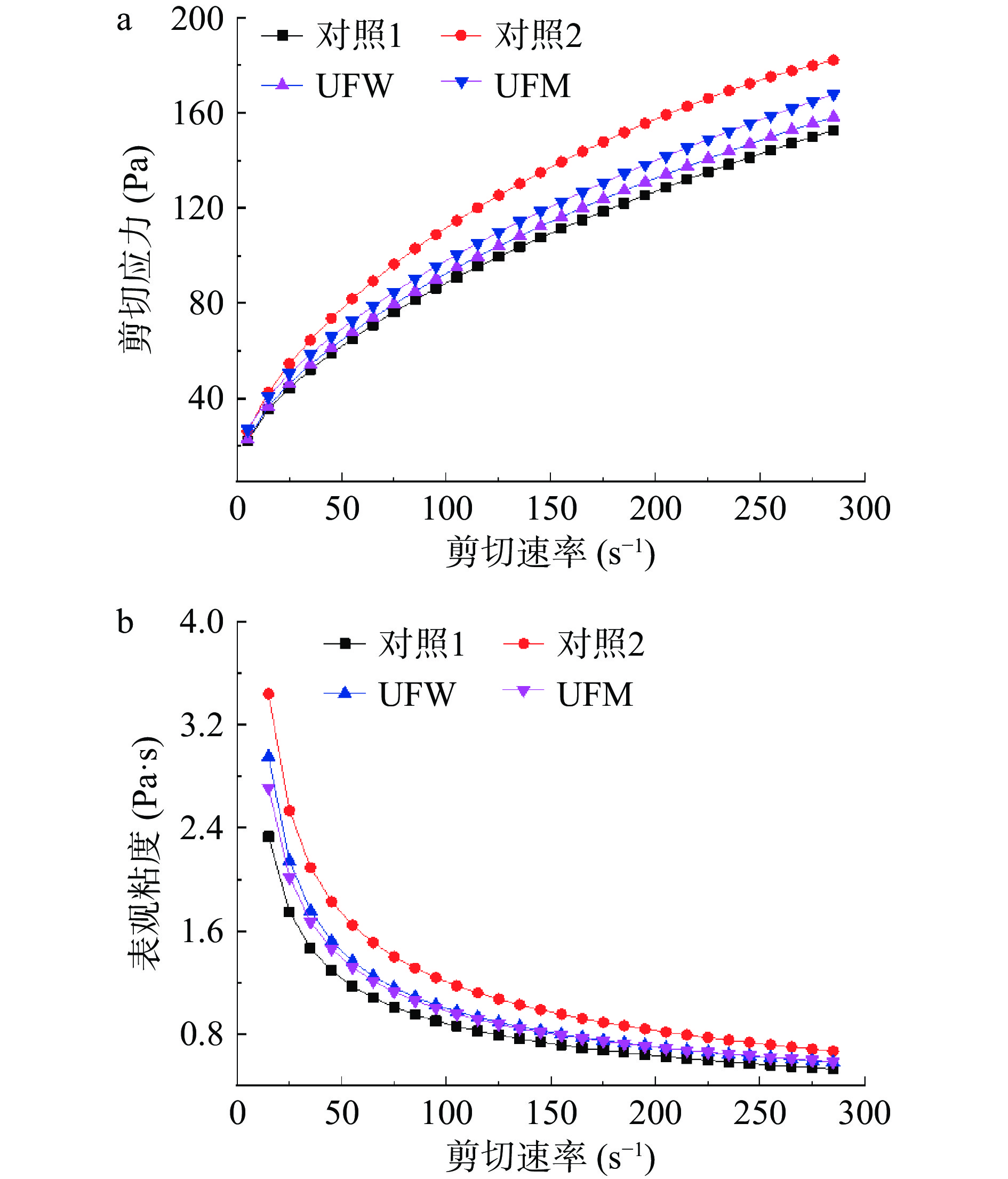
  • 摘要: 本研究在面团冷冻的全过程和最大冰晶生成带分别施加超声波,探讨超声辅助冷冻对面团中小麦淀粉理化特性与分子结构的影响。结果显示:与未超声的冷冻对照样品相比,在最大冰晶生成带和全过程施加超声分别使得面团中小麦淀粉的峰值粘度降低了8.6%和14.5%,谷值粘度降低了17.1%和13.7%,终值粘度升高了11.3%和−3.6%;在面团的最大冰晶生成带和全过程施加超声均在一定程度上改变了小麦淀粉体系的稠度系数和抗剪切能力,分别使得淀粉的稠度系数降低了19.0%和23.3%,剪切结构恢复力提高了4.0%和7.2%。与未超声的冷冻样品相比,经过超声处理的面团中小麦淀粉相对结晶度降低,并在一定程度上降低了淀粉分子的短程有序化结构。综上,超声场的施加细化了冰晶,减缓了冷冻过程对面团中小麦淀粉内部结构的破坏,比较两种超声过程可看出,在面团冷冻的全过程施加超声的效果优于在最大冰晶生成带施加超声。

     

    Abstract: In this study, ultrasonication was applied in the whole process of dough freezing and in the maximum ice crystal formation zone, respectively, to explore the effects of ultrasonic-assisted freezing on the physicochemical and structural properties of wheat starch in dough. The results showed that compared with the frozen samples without ultrasonication, the peak viscosity of wheat starch in the dough decreased by 8.6% and 14.5%, the trough viscosity reduced by 17.1% and 13.7%, and the final viscosity increased by 11.3% and −3.6%, respectively, when ultrasonic-assisted freezing was applied in the maximum ice crystal formation zone and the whole process. The consistency coefficient and shear resistance of wheat starch system in dough were maintained to a certain extent by applying ultrasonic in the maximum ice crystal formation zone and the whole process. The consistency coefficient of starch decreased by 19.0% and 23.3%, and the shear structure resilience increased by 4.0% and 7.2%, respectively. Compared with the frozen samples without ultrasonication, the relative crystallinity of wheat starch in the sonicated dough was reduced, and the short-range ordered structure of starch molecules was reduced to a certain extent. In summary, the application of ultrasonic field refines the ice crystals and slows down the damage to the internal structure of wheat starch in the dough during the freezing process. A comparison between the two ultrasound processes, it can be speculated that the effect of ultrasonic application in the whole process of dough-freezing is significantly better than that in the maximum ice crystal formation zone.

     

/

返回文章
返回