• 中国科技期刊卓越行动计划项目资助期刊
  • 中国精品科技期刊
  • 首都科技期刊卓越行动计划
  • EI
  • Scopus
  • CAB Abstracts
  • Global Health
  • 北大核心期刊
  • DOAJ
  • EBSCO
  • 中国核心学术期刊RCCSE A+
  • 中国科技核心期刊CSTPCD
  • JST China
  • FSTA
  • 中国农林核心期刊
  • 中国开放获取期刊数据库COAJ
  • CA
  • WJCI
  • 食品科学与工程领域高质量科技期刊分级目录第一方阵T1
中国精品科技期刊2020
秦楠,王辉敏,杨金梅,等. 复合沙棘原液对高脂血症大鼠的降脂作用J. 食品工业科技,2023,44(7):352−358. doi: 10.13386/j.issn1002-0306.2022050091.
引用本文: 秦楠,王辉敏,杨金梅,等. 复合沙棘原液对高脂血症大鼠的降脂作用J. 食品工业科技,2023,44(7):352−358. doi: 10.13386/j.issn1002-0306.2022050091.
QIN Nan, WANG Huimin, YANG Jinmei, et al. Lipid-lowering Effect of Compound Seabuckthorn Concentrate on Hyperlipidemic RatsJ. Science and Technology of Food Industry, 2023, 44(7): 352−358. (in Chinese with English abstract). doi: 10.13386/j.issn1002-0306.2022050091.
Citation: QIN Nan, WANG Huimin, YANG Jinmei, et al. Lipid-lowering Effect of Compound Seabuckthorn Concentrate on Hyperlipidemic RatsJ. Science and Technology of Food Industry, 2023, 44(7): 352−358. (in Chinese with English abstract). doi: 10.13386/j.issn1002-0306.2022050091.

复合沙棘原液对高脂血症大鼠的降脂作用

Lipid-lowering Effect of Compound Seabuckthorn Concentrate on Hyperlipidemic Rats

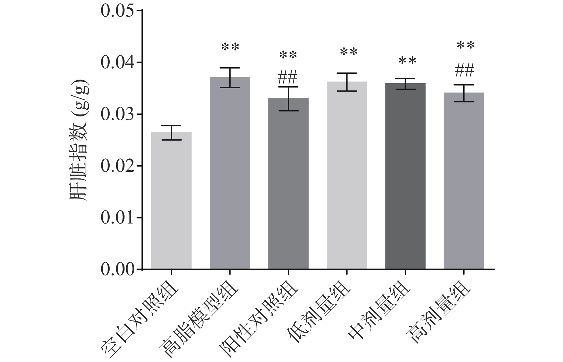
  • 摘要: 目的:探究复合沙棘原液对高脂血症模型大鼠的降血脂作用的影响。方法:将60只Wistar大鼠随机分为空白对照组、高脂模型组、阳性对照组(洛伐他汀胶囊1.80 mg/kg·bw)、复合沙棘原液低(3.57 mL/kg·bw)、中(7.14 mL/kg·bw)、高(14.28 mL/kg·bw)剂量组,并通过高脂饲料喂养法构建高脂血症大鼠模型。空白对照组和高脂模型组灌胃等量生理盐水,实验组大鼠分别灌胃相应剂量的复合沙棘原液及洛伐他汀混悬液。给药28 d后,观察与分析各组大鼠的体重、Lee’s指数、血清血脂水平、抗氧化水平、肝脏指数及肝脏病理形态。结果:与空白对照组相比,高脂模型组大鼠体重、Lee’s指数均极显著升高(P<0.01),表明模型构建成功;阳性对照组、复合沙棘原液高剂量组与高脂模型组相比血清中总胆固醇(total cholesterol,TC)、甘油三酯(triglyceride,TG)、低密度脂蛋白胆固醇(low-density lipoprotein cholesterol,LDL-C)、丙二醛(malondialdehyde, MDA)含量均降低,高密度脂蛋白胆固醇(high-density lipoprotein cholesterol,HDL-C)显著含量上升,超氧化物歧化酶(superoxide dismutase, SOD)活性显著增加(P<0.01,P<0.05);各实验组的肝脏肿胀程度相对减小,胞质中脂肪空泡也明显减少。结论:复合沙棘原液能够改善高脂血症模型大鼠血脂水平,且具有一定抗氧化、护肝的作用。

     

    Abstract: Objective: To explore the lipid-lowering effect of compound seabuckthorn concentrate in hyperlipidemia model rats. Methods: Sixty Wistar rats were randomly divided into blank-control group, high-fat diet group, positive control group (lovastatin capsules 1.80 mg/kg·bw), compound seabuckthorn concentrate low (3.57 mL/kg·bw), medium (7.14 mL/kg·bw), high (14.28 mL/kg·bw) dose groups. The hyperlipidemia rat models were established by feeding high-fat diet. The blank-control group and the high-fat diet group were given the same amount of normal saline by gavage, and the rats of experimental groups were given the corresponding dose of compound seabuckthorn concentrate and lovastatin suspension by gavage, respectively. After 28 days of administration, the body weight, Lee's index, serum lipid level, antioxidant level, liver index and liver pathological morphology of rats in each group were observed and analyzed. Results: Compared with the blank-control group, the body weight and Lee's index of the high-fat diet group were significantly increased (P<0.01), indicating that the models were successfully constructed. The contents of total cholesterol (TC), triglyceride (TG), low-density lipoprotein cholesterol (LDL-C) and malondialdehyde (MDA) in serum of the positive control group and the compound seabuckthorn concentrate high dose group were lower than those of the high-fat diet group, while the contents of high-density lipoprotein cholesterol (HDL-C) and superoxide dismutase (SOD) were significantly increased (P<0.01, P<0.05). The degree of liver swelling was relatively decreased in each experimental group. Fat vacuoles were also significantly reduced in the cytoplasm. Conclusion: Compound seabuckthorn concentrate can improve the lipid level of hyperlipidemia rats and have antioxidant and liver protection effects.

     

/

返回文章
返回