• 中国科技期刊卓越行动计划项目资助期刊
  • 中国精品科技期刊
  • 首都科技期刊卓越行动计划
  • EI
  • Scopus
  • CAB Abstracts
  • Global Health
  • 北大核心期刊
  • DOAJ
  • EBSCO
  • 中国核心学术期刊RCCSE A+
  • 中国科技核心期刊CSTPCD
  • JST China
  • FSTA
  • 中国农林核心期刊
  • 中国开放获取期刊数据库COAJ
  • CA
  • WJCI
  • 食品科学与工程领域高质量科技期刊分级目录第一方阵T1
中国精品科技期刊2020
闫溢哲,薛欣欢,彭百祥,等. 等离子体活化水韧化处理对蜡质玉米淀粉和玉米淀粉结构及性能的影响J. 食品工业科技,2023,44(5):36−42. doi: 10.13386/j.issn1002-0306.2022050109.
引用本文: 闫溢哲,薛欣欢,彭百祥,等. 等离子体活化水韧化处理对蜡质玉米淀粉和玉米淀粉结构及性能的影响J. 食品工业科技,2023,44(5):36−42. doi: 10.13386/j.issn1002-0306.2022050109.
YAN Yizhe, XUE Xinhuan, PENG Baixiang, et al. Effects of Plasma-activated Water and Annealing on Structure and Properties of Waxy Maize Starch and Maize StarchJ. Science and Technology of Food Industry, 2023, 44(5): 36−42. (in Chinese with English abstract). doi: 10.13386/j.issn1002-0306.2022050109.
Citation: YAN Yizhe, XUE Xinhuan, PENG Baixiang, et al. Effects of Plasma-activated Water and Annealing on Structure and Properties of Waxy Maize Starch and Maize StarchJ. Science and Technology of Food Industry, 2023, 44(5): 36−42. (in Chinese with English abstract). doi: 10.13386/j.issn1002-0306.2022050109.

等离子体活化水韧化处理对蜡质玉米淀粉和玉米淀粉结构及性能的影响

Effects of Plasma-activated Water and Annealing on Structure and Properties of Waxy Maize Starch and Maize Starch

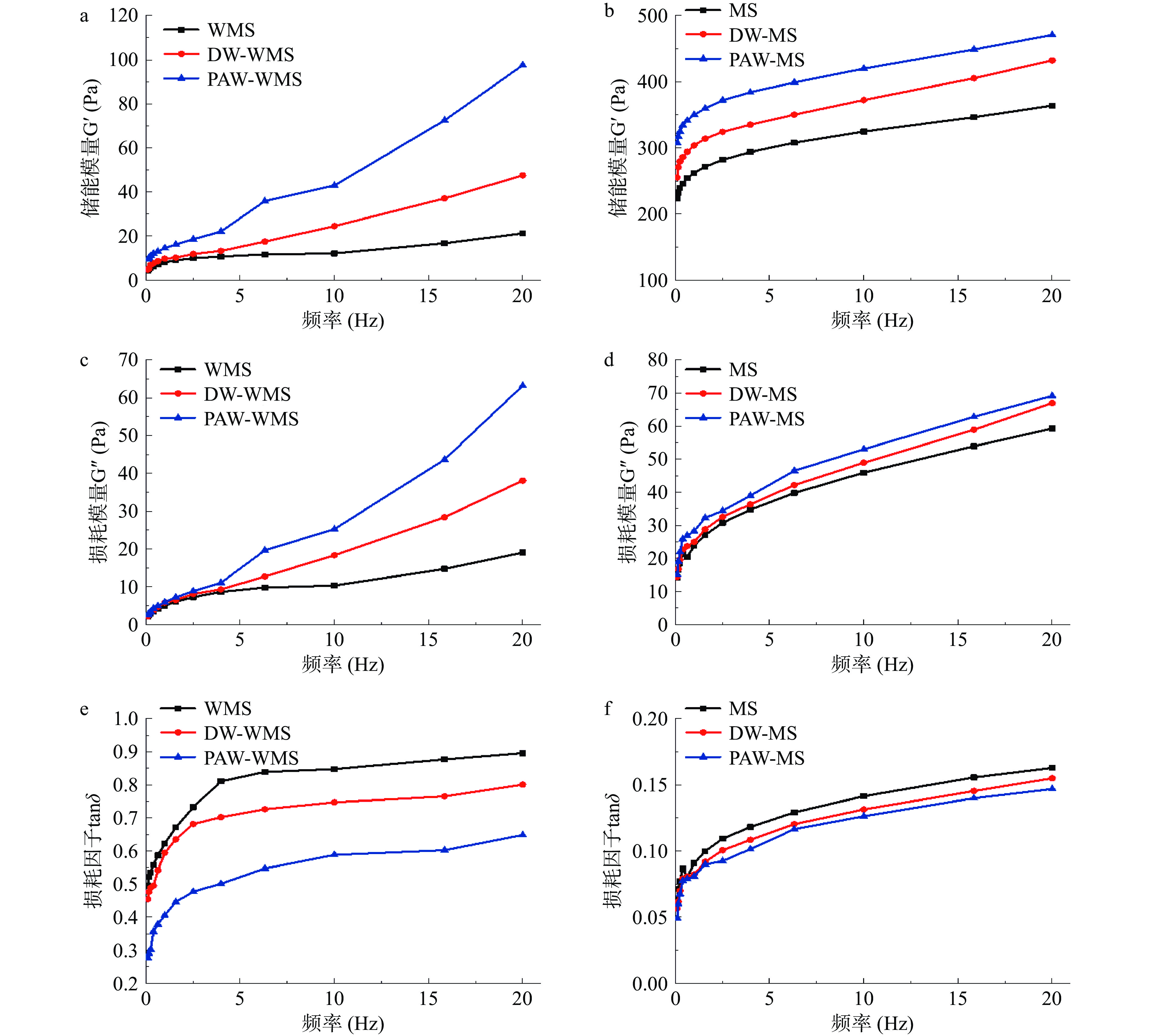
  • 摘要: 本文研究了等离子体活化水(plasma-activated water,PAW)协同韧化处理对蜡质玉米淀粉(waxy maize starch,WMS)和玉米淀粉(maize starch,MS)结构及性能的影响。结果表明,与常规韧化处理相比,PAW韧化没有改变WMS和MS的结晶类型,但降低了相对结晶度。WMS的相对结晶度从37.1%降低到25.9%,MS的相对结晶度从30.3%降低到27.7%。PAW韧化没有使淀粉分子产生新的官能团,但导致WMS和MS的短程有序性降低。PAW韧化降低了WMS和MS的糊化焓(WMS:13.33~12.10 J/g、MS:10.76~10.26 J/g)、峰值黏度和黏弹性,提高了淀粉糊的凝胶强度。PAW协同韧化处理提供了一种淀粉双重物理改性的新方法,在淀粉基凝胶领域具有潜在的应用。

     

    Abstract: In this study, the effect of annealing (ANN) with plasma-activated water (PAW) on the structure and properties of waxy maize starch (WMS) and maize starch (MS) was investigated. The results showed that PAW-ANN did not change the crystallinity type of WMS and MS, but decreased the relative crystallinity compared with the conventional ANN. The relative crystallinity of WMS decreased from 37.1% to 25.9%, and the relative crystallinity of MS decreased from 30.3% to 27.7%. PAW-ANN did not induce starch molecules to generate new functional groups, but resulted in a reduction in the short-range order of WMS and MS. PAW-ANN decreased the gelatinization enthalpy (WMS: 13.33~12.10 J/g, MS: 10.76~10.26 J/g), peak viscosity, and viscoelasticity of WMS and MS, and improved the gel strength of starch pastes. PAW combined with annealing provides a novel dual physical modification method of starch, which has potential applications in the field of starch-based hydrogels.

     

/

返回文章
返回