• 中国科技期刊卓越行动计划项目资助期刊
  • 中国精品科技期刊
  • 首都科技期刊卓越行动计划
  • EI
  • Scopus
  • CAB Abstracts
  • Global Health
  • 北大核心期刊
  • DOAJ
  • EBSCO
  • 中国核心学术期刊RCCSE A+
  • 中国科技核心期刊CSTPCD
  • JST China
  • FSTA
  • 中国农林核心期刊
  • 中国开放获取期刊数据库COAJ
  • CA
  • WJCI
  • 食品科学与工程领域高质量科技期刊分级目录第一方阵T1
中国精品科技期刊2020
韩倩,周童欣,李英溥,等. 魔芋葡甘露聚糖对淀粉性能的影响及其在功能性食品中的应用进展J. 食品工业科技,2023,44(6):441−447. doi: 10.13386/j.issn1002-0306.2022050116.
引用本文: 韩倩,周童欣,李英溥,等. 魔芋葡甘露聚糖对淀粉性能的影响及其在功能性食品中的应用进展J. 食品工业科技,2023,44(6):441−447. doi: 10.13386/j.issn1002-0306.2022050116.
HAN Qian, ZHOU Tongxin, LI Yingpu, et al. Effects on Starch Properties and Application in Functional Foods of Konjac GlucomannanJ. Science and Technology of Food Industry, 2023, 44(6): 441−447. (in Chinese with English abstract). doi: 10.13386/j.issn1002-0306.2022050116.
Citation: HAN Qian, ZHOU Tongxin, LI Yingpu, et al. Effects on Starch Properties and Application in Functional Foods of Konjac GlucomannanJ. Science and Technology of Food Industry, 2023, 44(6): 441−447. (in Chinese with English abstract). doi: 10.13386/j.issn1002-0306.2022050116.

魔芋葡甘露聚糖对淀粉性能的影响及其在功能性食品中的应用进展

Effects on Starch Properties and Application in Functional Foods of Konjac Glucomannan

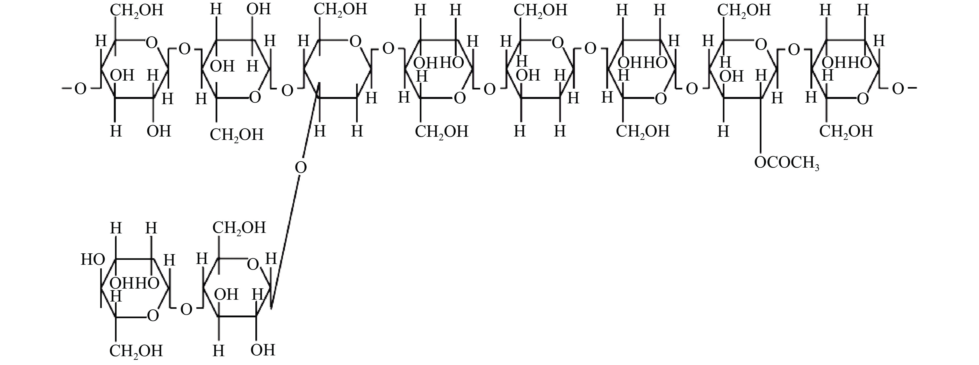
  • 摘要: 魔芋葡甘露聚糖是一种性能优良的食品添加剂,也可用于生物大分子的改性。淀粉是为人体供能的重要天然大分子,但具有易回生、抗剪切性弱、热不稳定等缺点。物理法具有便捷、环保、低成本的特点,常用来改良淀粉性能,广泛应用于食品行业中。本文介绍了近年来魔芋葡甘露聚糖对天然淀粉物理改性的研究进展,总结了KGM对淀粉流变特性、回生特性、消化特性等方面的改良,此外,本文还对KGM在在活性物质运送、减肥塑身、预防疾病等功能性食品中的应用研究进行综述。本论文为KGM改性淀粉提供可参考的科学依据,为功能性食品的开发提供新的思路。

     

    Abstract: Konjac glucomannan (KGM) is a kind of excellent food additive and also be used for the modification of biological macromolecules. Starch is an important natural macromolecule that provides energy for the human body, while it has regenerate easily, weak shear resistance, heat instability and other defects. Physical method has the characteristics of convenience, environmental protection and low cost, and is commonly used to modify starch properties in food industry. Herein, this paper introduces the research progress of starch modification by KGM, and summarizes the beneficial improvements of rheological properties, regeneration properties and digestive properties of starch modification by KGM. In addition, the application of KGM in functional foods, such as active substance delivery, diet food, and disease-prevention food are also systematically reviewed. This work would provide a scientific basis for starch modification by KGM and a new strategy for the development of functional foods.

     

/

返回文章
返回