• 中国科技期刊卓越行动计划项目资助期刊
  • 中国精品科技期刊
  • EI
  • Scopus
  • CAB Abstracts
  • Global Health
  • 北大核心期刊
  • DOAJ
  • EBSCO
  • 中国核心学术期刊RCCSE A+
  • 中国科技核心期刊CSTPCD
  • JST China
  • FSTA
  • 中国农林核心期刊
  • 中国开放获取期刊数据库COAJ
  • CA
  • WJCI
  • 食品科学与工程领域高质量科技期刊分级目录第一方阵T1
中国精品科技期刊2020
倪俊,袁彩莲,佘容,等. 细胞代次对t-BHP诱导Caco-2细胞构建氧化应激模型的影响[J]. 食品工业科技,2023,44(5):60−66. doi: 10.13386/j.issn1002-0306.2022050222.
引用本文: 倪俊,袁彩莲,佘容,等. 细胞代次对t-BHP诱导Caco-2细胞构建氧化应激模型的影响[J]. 食品工业科技,2023,44(5):60−66. doi: 10.13386/j.issn1002-0306.2022050222.
NI Jun, YUAN Cailian, SHE Rong, et al. Effect of Cell Generations on t-BHP-induced Oxidative Stress Model of Caco-2 Cells[J]. Science and Technology of Food Industry, 2023, 44(5): 60−66. (in Chinese with English abstract). doi: 10.13386/j.issn1002-0306.2022050222.
Citation: NI Jun, YUAN Cailian, SHE Rong, et al. Effect of Cell Generations on t-BHP-induced Oxidative Stress Model of Caco-2 Cells[J]. Science and Technology of Food Industry, 2023, 44(5): 60−66. (in Chinese with English abstract). doi: 10.13386/j.issn1002-0306.2022050222.

细胞代次对t-BHP诱导Caco-2细胞构建氧化应激模型的影响

Effect of Cell Generations on t-BHP-induced Oxidative Stress Model of Caco-2 Cells

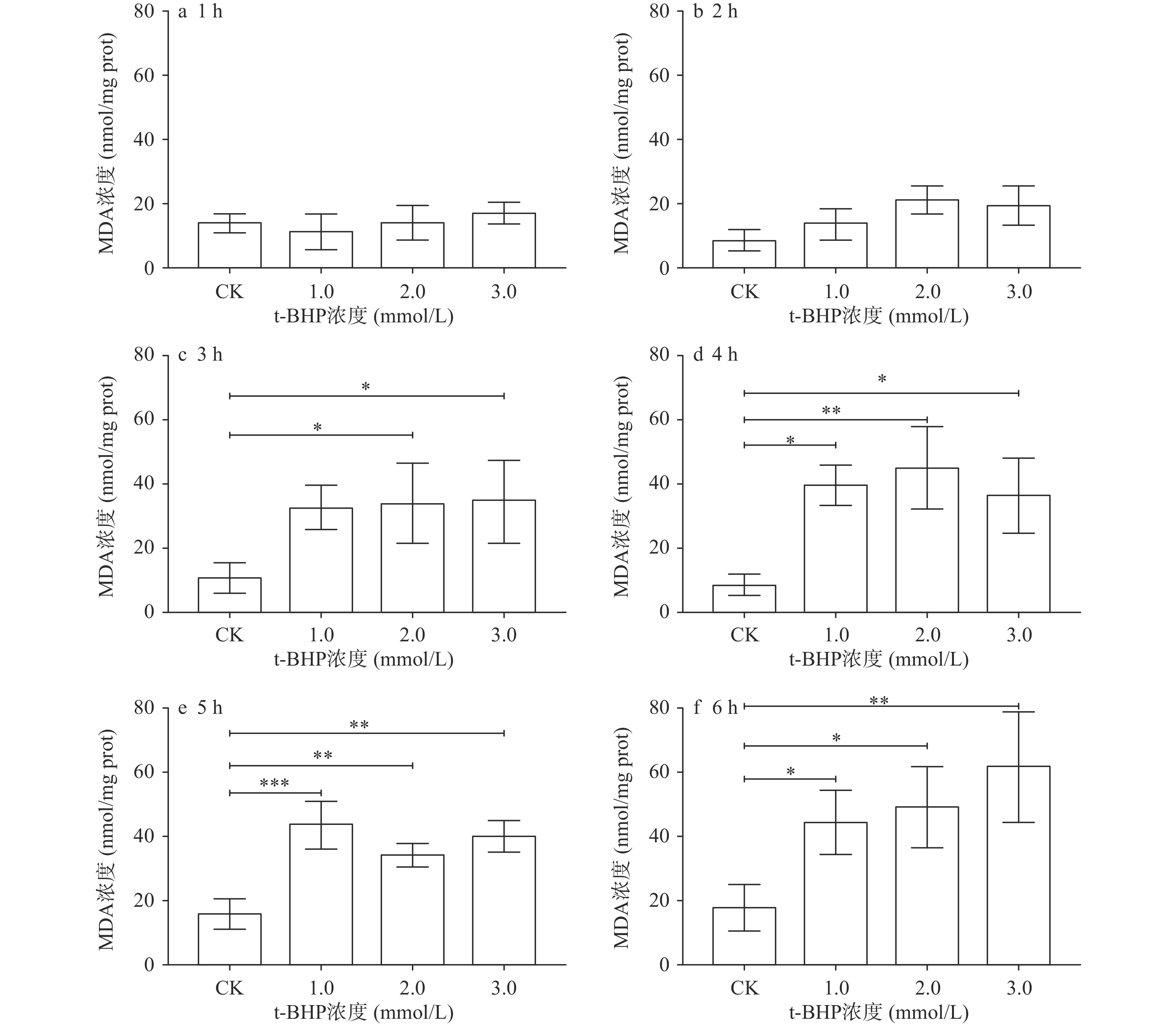
  • 摘要: 目的:探究细胞代次对叔丁基过氧化氢(t-BHP)诱导构建人克隆结肠腺癌细胞(Caco-2)氧化应激模型的影响。方法:以不同浓度t-BHP(1、2和3 mmol/L)处理第F15代Caco-2细胞1、2、3、4、5和6 h后测定不同处理下细胞丙二醛(MDA)和8-羟基脱氧鸟苷(8-OHdG)的含量,以确定构建Caco-2细胞氧化应激模型的基础条件。再以8-OHdG为分子标志物,探究细胞代次(F14、F15、F18、F19和F20)对Caco-2细胞氧化应激模型构建的影响。结果:采用1、2和3 mmol/L t-BHP处理F15代Caco-2细胞3~6 h均可稳定构建氧化应激模型。当以2.0 mmol/L t-BHP处理不同代次Caco-2细胞5 h后,F14、F15和F18代细胞的8-OHdG浓度均显著高于对照(P<0.05),而F19和F20代细胞的8-OHdG浓度与对照无显著差异。结论:Caco-2细胞代次会影响其氧化应激模型的构建,F19代之前的Caco-2细胞采用2 mmol/L t-BHP处理细胞5 h可稳定构建氧化应激模型。

     

    Abstract: Objective: To investigate the effects of cell passage number on the establishment of an oxidative stress model in human colon adenocarcinoma cells (Caco-2) caused by tert-butyl hydroperoxide (t-BHP). Methods: First, by applying various t-BHP concentrations (1, 2 and 3 mmol/L) to the F15 generation of Caco-2 cells for 1, 2, 3, 4, 5 and 6 hours, the content of malondialdehyde (MDA) and 8-hydroxydeoxyguanosine (8-OHdG) in different treatment groups were measured to determine the basic conditions for constructing the oxidative stress model of Caco-2 cells. Then, based on the fundamental parameters, the effect of cell passage number (F14, F15, F18, F19 and F20) on the development of oxidative stress model was investigated using the content of 8-OHdG as an index. Results: When exposed to 1, 2 and 3 mmol/L of t-BHP for 3 to 6 hours, the oxidative stress model of Caco-2 cells from the F15 generation could be established steadily. The content of 8-OHdG in Caco-2 cells of the F14, F15 and F18 generations was significantly higher than that in control group (which had not been treated with t-BHP) after being exposed to 2.0 mmol/L t-BHP for 5 hours (P<0.05), whereas there was no significant difference between the F19 and F20 generations and the control group. Conclusion: The development of the oxidative stress model of Caco-2 cells will be strongly impacted by cell passage number. By subjecting Caco-2 cells prior to F19 to 2 mmol/L t-BHP for 5 hours, the oxidative stress model may be successfully constructed.

     

/

返回文章
返回