• 中国科技期刊卓越行动计划项目资助期刊
  • 中国精品科技期刊
  • 首都科技期刊卓越行动计划
  • EI
  • Scopus
  • CAB Abstracts
  • Global Health
  • 北大核心期刊
  • DOAJ
  • EBSCO
  • 中国核心学术期刊RCCSE A+
  • 中国科技核心期刊CSTPCD
  • JST China
  • FSTA
  • 中国农林核心期刊
  • 中国开放获取期刊数据库COAJ
  • CA
  • WJCI
  • 食品科学与工程领域高质量科技期刊分级目录第一方阵T1
中国精品科技期刊2020
李若敏,张焕新,盘赛昆,等. 牡丹籽粕蛋白提取工艺优化和功能性质分析J. 食品工业科技,2023,44(8):197−204. doi: 10.13386/j.issn1002-0306.2022050251.
引用本文: 李若敏,张焕新,盘赛昆,等. 牡丹籽粕蛋白提取工艺优化和功能性质分析J. 食品工业科技,2023,44(8):197−204. doi: 10.13386/j.issn1002-0306.2022050251.
LI Ruomin, ZHANG Huanxin, PAN Saikun, et al. Process Optimization and Functional Properties of Peony Seeds ProteinJ. Science and Technology of Food Industry, 2023, 44(8): 197−204. (in Chinese with English abstract). doi: 10.13386/j.issn1002-0306.2022050251.
Citation: LI Ruomin, ZHANG Huanxin, PAN Saikun, et al. Process Optimization and Functional Properties of Peony Seeds ProteinJ. Science and Technology of Food Industry, 2023, 44(8): 197−204. (in Chinese with English abstract). doi: 10.13386/j.issn1002-0306.2022050251.

牡丹籽粕蛋白提取工艺优化和功能性质分析

Process Optimization and Functional Properties of Peony Seeds Protein

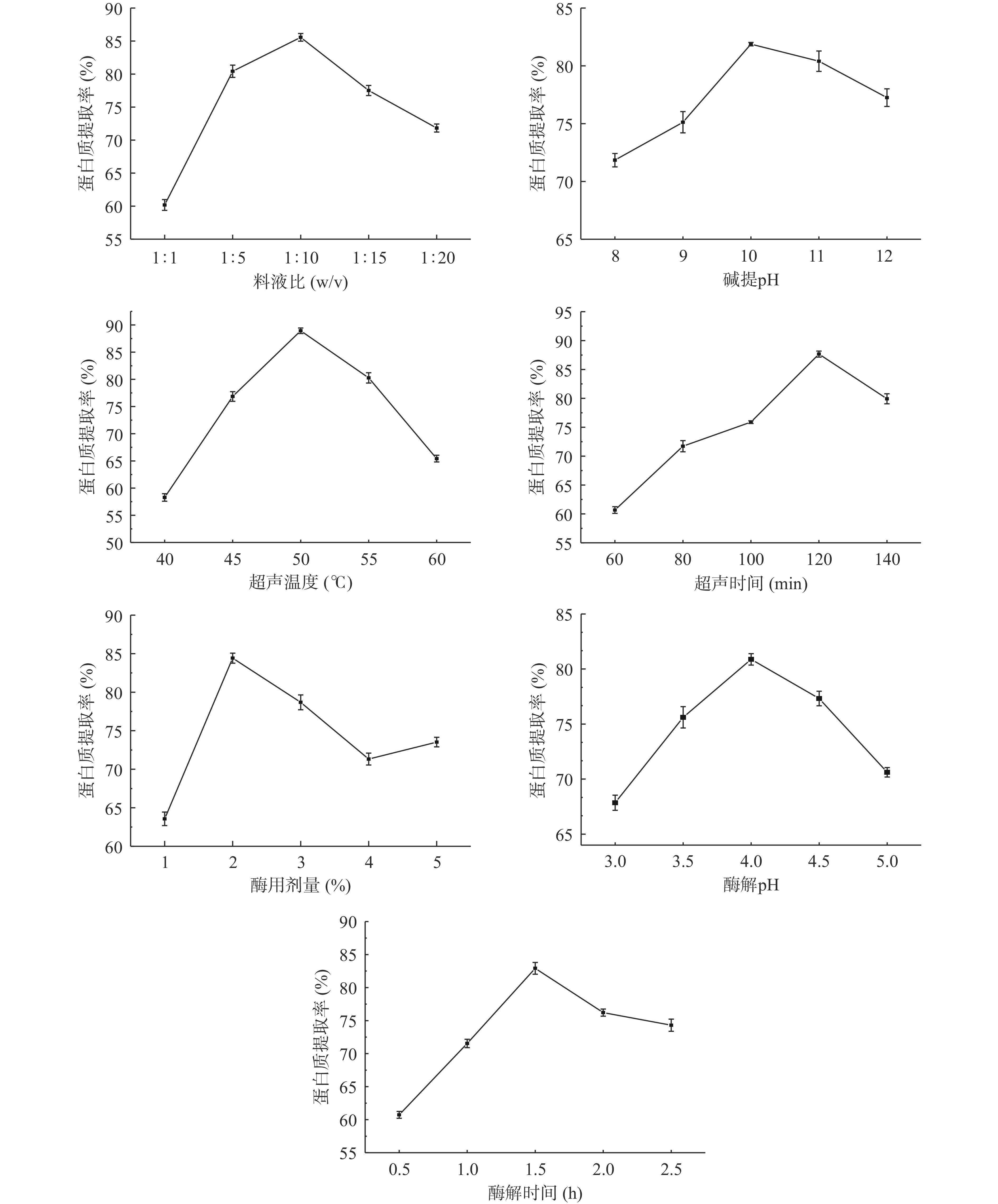
  • 摘要: 以酶水解-超声辅助碱溶酸沉法提取蛋白工艺为基础,初步对牡丹籽中粗蛋白进行分离提取。通过单因素实验和响应面试验,考察料液比、超声温度、酶用剂量、超声时间四个因素对牡丹籽粕蛋白提取率的影响,确定最佳提取工艺,并测定其功能特性。结果表明,酶水解-超声辅助碱溶酸沉法提取牡丹籽粕蛋白最优工艺条件为:料液比为1:9.8(w/v),超声温度为49.5 ℃,酶用剂量为1.9%,超声时间为119 min。在此条件下,蛋白质提取率达到90.95%。此时所得蛋白与常规法提取蛋白相比,氨基酸种类齐全、必需氨基酸含量均有所提高,功能特性如持水性、吸油性、乳化性皆优于常规法提取蛋白的功能特性,且乳化的稳定性更优,由此推测可作为食品加工乳化剂。因此酶水解-超声辅助碱溶酸沉法提取的牡丹籽粕蛋白具有更高的营养价值和更好的功能特性。

     

    Abstract: On the basis of enzymatic hydrolysis and ultrasound-assisted extraction of protein by alkaline solution and acid precipitation, the crude protein from peony seeds was initially separated and extracted. The effects of solid-liquid ratio, ultrasonic temperature, enzyme dosage and ultrasonic time on the extraction rate of peony seed meal protein were investigated by single factor experiments and response surface experiment. The optimal extraction process was determined and its functional characteristics were determined. The optimal extraction conditions of peony seed meal protein by enzymatic hydrolysis and ultrasound-assisted alkaline solubilization and acid precipitation were as follows: Solid-liquid ratio was 1:9.8, ultrasonic temperature was 49.5 ℃, enzyme dosage was 1.9%, and ultrasonic time was 119 min. Under these conditions, the extraction yield of protein reached 90.95%. At this time, compared with the conventional method of protein extraction, the protein obtained had a complete range of amino acids, the content of essential amino acids was improved, and the functional properties such as water holding capacity, oil absorption and emulsification were better than those of the conventional method, and the emulsification stability was better. Therefore, it was speculated that the protein could be used as a food processing emulsifier. Therefore, the peony seed meal protein extracted by enzymatic hydrolysis and ultrasound-assisted alkaline solution and acid precipitation method had higher nutritional value and better functional characteristics.

     

/

返回文章
返回