• 中国科技期刊卓越行动计划项目资助期刊
  • 中国精品科技期刊
  • 首都科技期刊卓越行动计划
  • EI
  • Scopus
  • CAB Abstracts
  • Global Health
  • 北大核心期刊
  • DOAJ
  • EBSCO
  • 中国核心学术期刊RCCSE A+
  • 中国科技核心期刊CSTPCD
  • JST China
  • FSTA
  • 中国农林核心期刊
  • 中国开放获取期刊数据库COAJ
  • CA
  • WJCI
  • 食品科学与工程领域高质量科技期刊分级目录第一方阵T1
中国精品科技期刊2020
孙姚瑶,杨晓瑞,金爽,等. 纤维素催化转化为葡萄糖及多元醇的研究进展J. 食品工业科技,2023,44(6):459−467. doi: 10.13386/j.issn1002-0306.2022050326.
引用本文: 孙姚瑶,杨晓瑞,金爽,等. 纤维素催化转化为葡萄糖及多元醇的研究进展J. 食品工业科技,2023,44(6):459−467. doi: 10.13386/j.issn1002-0306.2022050326.
SUN Yaoyao, YANG Xiaorui, JIN Shuang, et al. Research Progress on Catalytic Conversion of Cellulose to Glucose and PolyolsJ. Science and Technology of Food Industry, 2023, 44(6): 459−467. (in Chinese with English abstract). doi: 10.13386/j.issn1002-0306.2022050326.
Citation: SUN Yaoyao, YANG Xiaorui, JIN Shuang, et al. Research Progress on Catalytic Conversion of Cellulose to Glucose and PolyolsJ. Science and Technology of Food Industry, 2023, 44(6): 459−467. (in Chinese with English abstract). doi: 10.13386/j.issn1002-0306.2022050326.

纤维素催化转化为葡萄糖及多元醇的研究进展

Research Progress on Catalytic Conversion of Cellulose to Glucose and Polyols

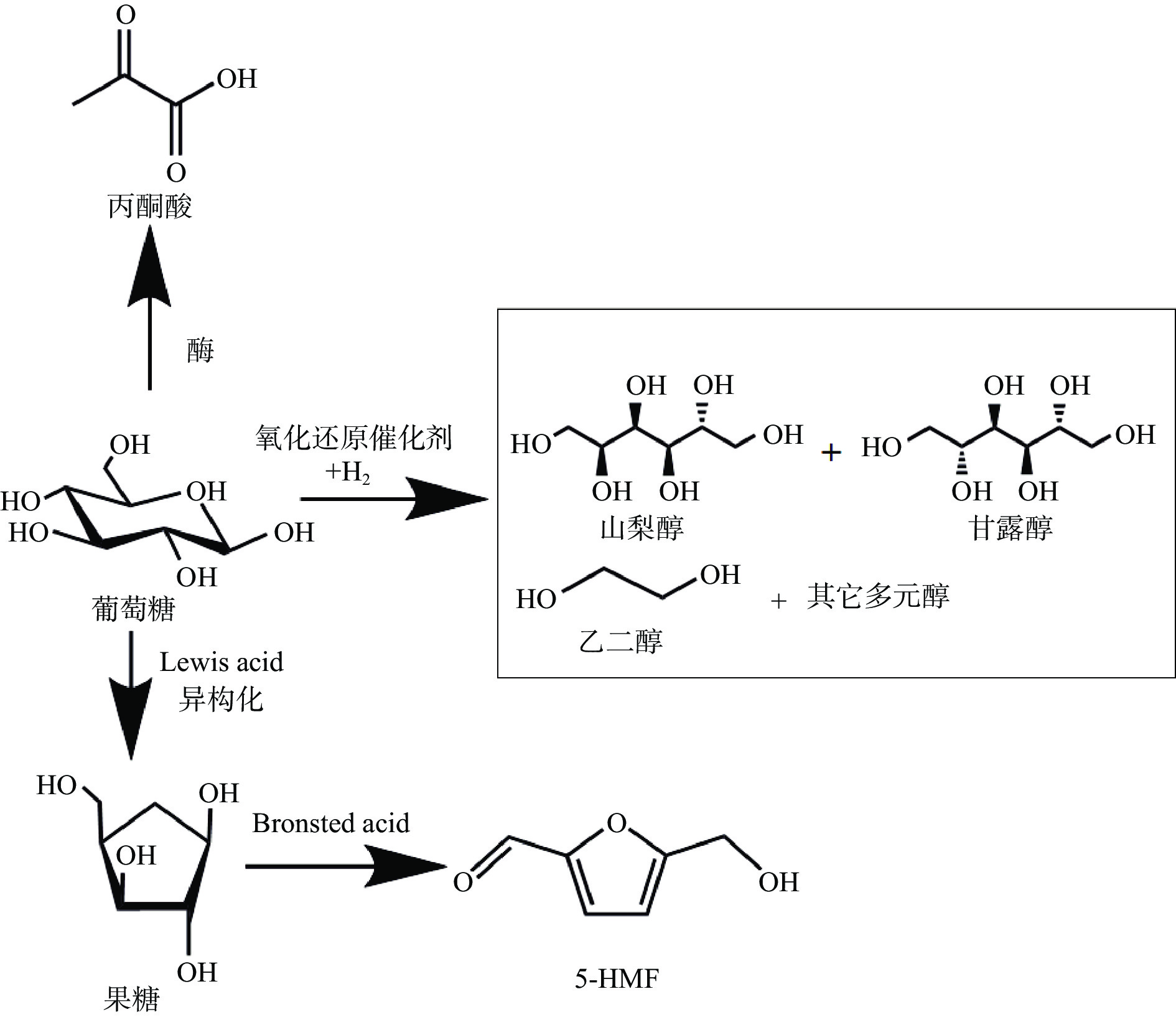
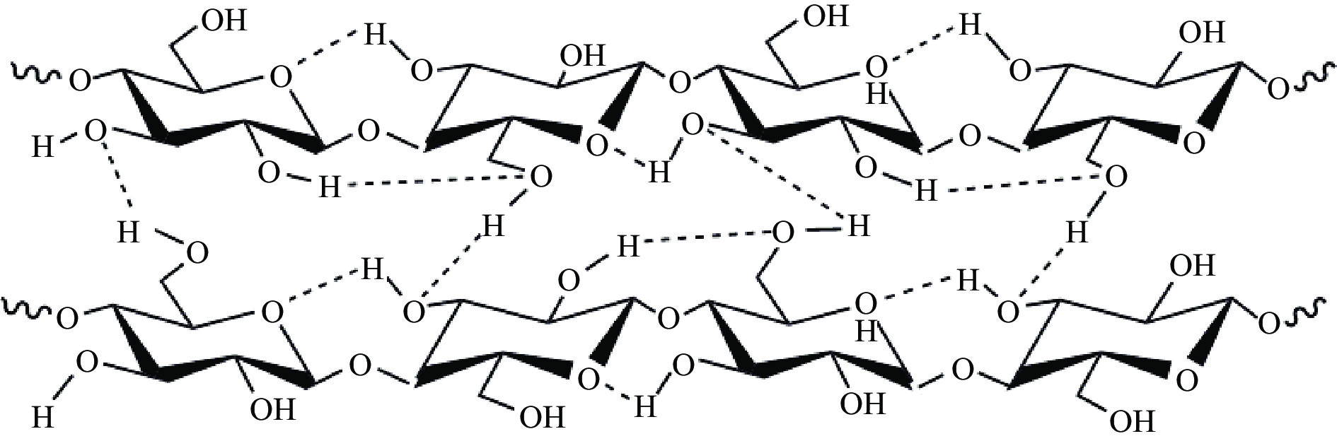
  • 摘要: 自然界中含量最丰富的纤维素,是一种清洁可再生的碳资源,可以替代石油等不可再生资源催化转化为高附加值的平台化合物。本文简要介绍了纤维素的结构,指出了纤维素水解及高效转化的关键步骤,并全面综述了纤维素转化为葡萄糖、山梨醇和乙二醇的工艺条件(如催化剂种类、反应温度、反应时间等)及催化机理,并展望了各工艺过程中催化剂的研究方向,旨在为纤维素催化转化为小分子平台化合物的生产提供参考。

     

    Abstract: As a clean and renewable carbon resource, cellulose is an alternative for non-renewable resources such as oil and can convert into high value adding molecule platform chemicals. This paper briefly overviews the structure of cellulose and points out the critical steps of cellulose hydrolysis and efficient conversion, and reviewes the process conditions and catalytic mechanism comprehensively for the conversion of cellulose into glucose, sorbitol and ethylene glycol (such as catalyst types, reaction temperature, reaction time, etc.). The research direction of catalysts in each process is prospected, which would be the reference for the catalytic conversion of cellulose into small molecule platform compounds in future.

     

/

返回文章
返回