• 中国科技期刊卓越行动计划项目资助期刊
  • 中国精品科技期刊
  • 首都科技期刊卓越行动计划
  • EI
  • Scopus
  • CAB Abstracts
  • Global Health
  • 北大核心期刊
  • DOAJ
  • EBSCO
  • 中国核心学术期刊RCCSE A+
  • 中国科技核心期刊CSTPCD
  • JST China
  • FSTA
  • 中国农林核心期刊
  • 中国开放获取期刊数据库COAJ
  • CA
  • WJCI
  • 食品科学与工程领域高质量科技期刊分级目录第一方阵T1
中国精品科技期刊2020
魏嵘,王振,李怀平,等. 酸枣仁茯苓粉、大豆肽粉对失眠模型小鼠的改善睡眠作用J. 食品工业科技,2023,44(7):359−366. doi: 10.13386/j.issn1002-0306.2022050374.
引用本文: 魏嵘,王振,李怀平,等. 酸枣仁茯苓粉、大豆肽粉对失眠模型小鼠的改善睡眠作用J. 食品工业科技,2023,44(7):359−366. doi: 10.13386/j.issn1002-0306.2022050374.
WEI Rong, WANG Zhen, LI Huaiping, et al. Study on the Effect of Ziziphi spinosae Semen Poria cocos Powder and Soybean Peptide Powder on Improving Sleep in Insomnia Model MiceJ. Science and Technology of Food Industry, 2023, 44(7): 359−366. (in Chinese with English abstract). doi: 10.13386/j.issn1002-0306.2022050374.
Citation: WEI Rong, WANG Zhen, LI Huaiping, et al. Study on the Effect of Ziziphi spinosae Semen Poria cocos Powder and Soybean Peptide Powder on Improving Sleep in Insomnia Model MiceJ. Science and Technology of Food Industry, 2023, 44(7): 359−366. (in Chinese with English abstract). doi: 10.13386/j.issn1002-0306.2022050374.

酸枣仁茯苓粉、大豆肽粉对失眠模型小鼠的改善睡眠作用

Study on the Effect of Ziziphi spinosae Semen Poria cocos Powder and Soybean Peptide Powder on Improving Sleep in Insomnia Model Mice

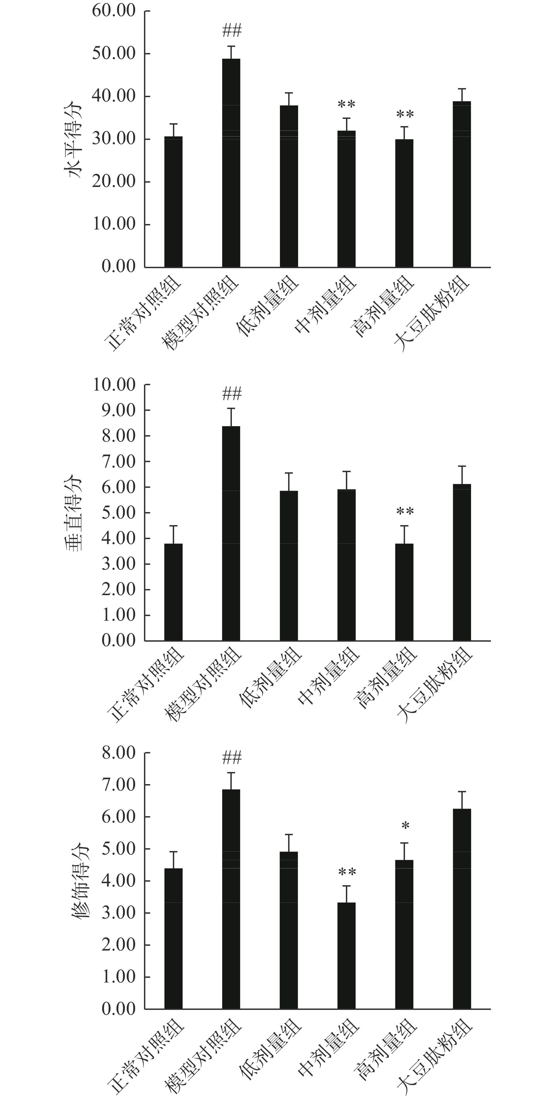
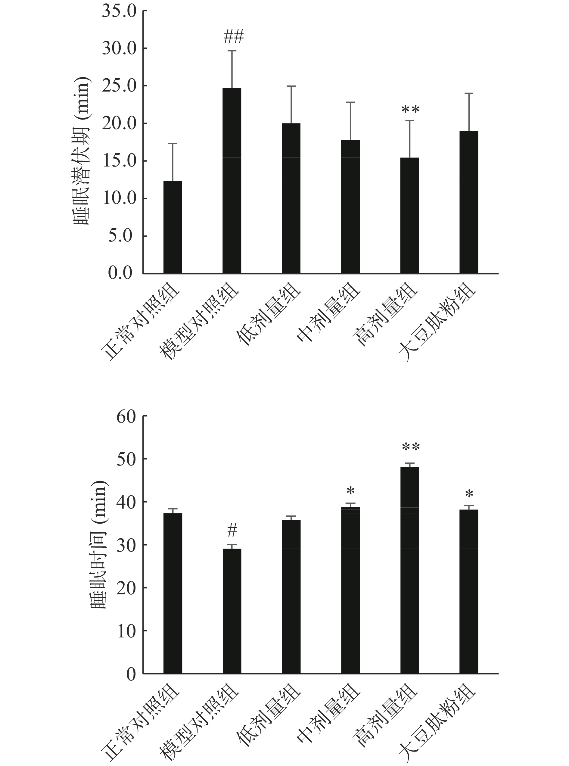
  • 摘要: 目的:研究酸枣仁茯苓粉和大豆肽粉对对氯苯丙氨酸(PCPA)诱导的失眠模型小鼠的睡眠改善作用。方法:180只SPF级雄性BALB/c小鼠,先选取90只随机分为6组(正常对照组,模型对照组,酸枣仁茯苓粉低、中、高剂量组,大豆肽粉组),进行戊巴比妥钠诱导小鼠睡眠实验,另选90只随机分为6组(分组同上),进行旷场实验并测定下丘脑5-羟色胺(5-HT)、5-羟吲哚乙酸(5-HIAA)、去甲肾上腺素(NE)以及海马中的γ-氨基丁酸(GABA)和谷氨酸(Glu)的含量。正常对照组和模型对照组均灌胃无菌水;酸枣仁茯苓粉低、中、高剂量组分别灌胃0.67、1.33、4.00 g/kg BW的受试物;大豆肽粉组灌胃1.15 g/kg BW的受试物,小鼠的灌胃体积均为20 mL/kg BW。睡眠实验共计灌胃36 d,矿场实验共计灌胃37 d。在灌胃的第29和30 d时,除正常对照组外,其余小鼠通过腹腔注射PCPA(350 mg/kg BW)诱导失眠模型,之后两批动物分别再继续灌胃6、7 d。结果:与模型对照组相比酸枣仁茯苓粉能显著缩短戊巴比妥钠诱导的睡眠潜伏期,延长睡眠时间,降低失眠模型小鼠自主活动能力,包括减少水平得分、垂直得分、修饰得分,显著提高下丘脑5-HT、5-HIAA含量,降低NE含量,降低海马中Glu含量,提高海马中GABA含量,调节海马中Glu/GABA比值,保持Glu/GABA平衡。大豆肽粉能显著延长睡眠时间,保持Glu/GABA平衡。结论:酸枣仁茯苓粉对失眠模型小鼠睡眠具有一定地改善作用,主要通过提高失眠小鼠下丘脑组织中的单胺类神经递质5-HT含量,降低NE含量,促使失眠小鼠的睡眠-觉醒状态向正常恢复,调节海马中Glu和GABA含量,维持Glu和GABA的稳态平衡。

     

    Abstract: Objective: To study the sleep-improving effect of Ziziphi spinosae Semen Poria cocos powder and soybean peptide powder on insomnia model mice induced by p-chlorophenylalanine (PCPA). Methods: One hundred eighty SPF male BALB/c mice were purchased. First, ninety of them were randomly divided into six groups (normal control group, model control group, low, medium and high dose groups of Ziziphi spinosae Semen Poria cocos powder, soybean peptide powder group) for the pentobarbital sodium-induced sleep test. The remaining 90 mice were randomly divided into six groups (same group as above) for the open field test, the contents of hypothalamic 5-hydroxytryptamine (5-HT), 5-hydroxyindoleacetic acid (5-HIAA) and norepinephrine (NE) in the hypothalamus were measured and the contents of γ-aminobutyric acid (GABA) and glutamic acid (Glu) in the hippocampus were measured. The normal control group and the model control group were administered with sterile water while the low, medium and high dose groups of Ziziphi spinosae Semen Poria cocos powder were administered with 0.67, 1.33, 4.00 g/kg BW solution and the soybean peptide powder groupwas administered with 1.15 g/kg BW solution. The gavage volume of rats was 20 mL/kg BW. The sleep test lasted for 36 days and the open field test lasted for 37 days. On the 29th and 30th day, except the normal control group, the other mice were given intraperitoneal injection of PCPA (350 mg/kg BW) to construct an insomnia model and then continued to be administered for 6, 7 d. Results: Compared with the model control group, Ziziphi spinosae Semen Poria cocos powder could significantly shorten the sleep latency induced by pentobarbital sodium, prolong sleep time, reduce horizontal score, vertical score and modified score, significantly increase the contents of 5-HT and 5-HIAA in the hypothalamus, reducing NE content, reduce Glu content in the hippocampus, improve the hippocampal GABA content, regulate the Glu/GABA ratio and maintain Glu/GABA balance in the hippocampus. Soybean peptide powder could significantly prolong sleep time and maintain Glu/GABA balance. Conclusion: Ziziphi spinosae Semen Poria cocos powder has a certain ameliorative effect on sleep in insomnia model mice by elevating monoamine neurotransmitter 5-HT content and reducing NE content in the hypothalamic of insomnia mice, promoting the sleep wake state of insomnia mice toward normal recovery. It also can regulate Glu and GABA content in the hippocampal and maintain the homeostatic balance of Glu and GABA.

     

/

返回文章
返回