• 中国科技期刊卓越行动计划项目资助期刊
  • 中国精品科技期刊
  • 首都科技期刊卓越行动计划
  • EI
  • Scopus
  • CAB Abstracts
  • Global Health
  • 北大核心期刊
  • DOAJ
  • EBSCO
  • 中国核心学术期刊RCCSE A+
  • 中国科技核心期刊CSTPCD
  • JST China
  • FSTA
  • 中国农林核心期刊
  • 中国开放获取期刊数据库COAJ
  • CA
  • WJCI
  • 食品科学与工程领域高质量科技期刊分级目录第一方阵T1
中国精品科技期刊2020
杨云,姜国庆,鲁绯,等. 不同低聚糖对变异链球菌、牙龈卟啉单胞菌和具核梭杆菌作用的体外研究J. 食品工业科技,2023,44(5):121−128. doi: 10.13386/j.issn1002-0306.2022060023.
引用本文: 杨云,姜国庆,鲁绯,等. 不同低聚糖对变异链球菌、牙龈卟啉单胞菌和具核梭杆菌作用的体外研究J. 食品工业科技,2023,44(5):121−128. doi: 10.13386/j.issn1002-0306.2022060023.
YANG Yun, JIANG Guoqing, LU Fei, et al. Effect of Different Oligosaccharides on Streptococcus mutans, Porphyromonas gingivalis and Clostridium nucleatus in VitroJ. Science and Technology of Food Industry, 2023, 44(5): 121−128. (in Chinese with English abstract). doi: 10.13386/j.issn1002-0306.2022060023.
Citation: YANG Yun, JIANG Guoqing, LU Fei, et al. Effect of Different Oligosaccharides on Streptococcus mutans, Porphyromonas gingivalis and Clostridium nucleatus in VitroJ. Science and Technology of Food Industry, 2023, 44(5): 121−128. (in Chinese with English abstract). doi: 10.13386/j.issn1002-0306.2022060023.

不同低聚糖对变异链球菌、牙龈卟啉单胞菌和具核梭杆菌作用的体外研究

Effect of Different Oligosaccharides on Streptococcus mutans, Porphyromonas gingivalis and Clostridium nucleatus in Vitro

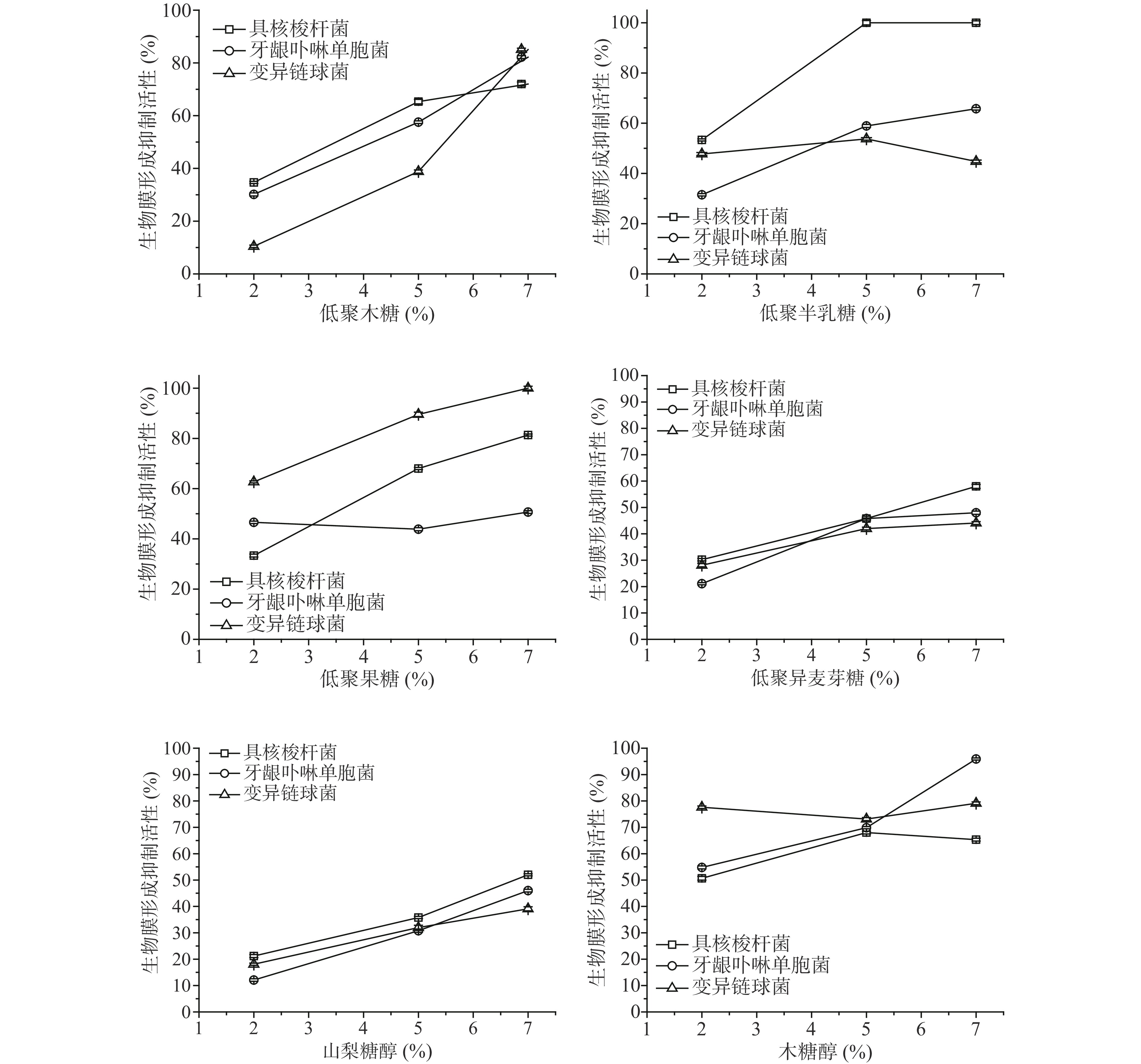
  • 摘要: 为更好地了解功能性低聚糖对口腔微生物的影响,本文采用体外实验方法,研究不同低聚糖对变异链球菌、牙龈卟啉单胞菌和具核梭杆菌生长、产酸、粘附性和生物被膜形成量等的影响。胰蛋白胨大豆肉汤(Trypticase Soy Broth,TSB)培养基中加入不同浓度的低聚半乳糖、低聚木糖、低聚果糖和低聚异麦芽糖制备培养基培养变异链球菌、牙龈卟啉单胞菌和具核梭杆菌,测定细菌在培养基中48 h生长过程中的OD值、pH、黏附能力及生物被膜形成量等指标。比较分析不同低聚糖对细菌发酵前后生长、产酸及黏附能力等特性的影响。结果表明:四种低聚糖对三种病原菌均有不同程度的抑制作用。其中,低聚木糖对三种病原菌的生长抑制效果最强;浓度为0.5%的低聚木糖和低聚半乳糖即能明显抑制三种菌液的产酸能力;相比糖醇和其它低聚糖,低聚木糖浓度≥5%时,对三种病原菌的抑制率均大于60%;7%浓度的四种低聚糖对三种病原菌的黏附率均<50%;低聚半乳糖和低聚木糖浓度>5%时,对三种病原菌生物被膜的形成具有较好的抑制作用。与山梨糖醇相比,复配糖(低聚木糖、木糖醇、低聚半乳糖)对三种病原菌的生长抑制作用更为明显。

     

    Abstract: To provide a theoretical basis for the effects of functional oligosaccharides on the oral microorganisms, the efficacy of several oligosaccharides on the growth, acid production, adherence and biofilm formation of three cariogenic bacteria including Streptococcus mutans, Porphyromonas gingivalis, Fusobacterium nucleatum were investigated. The three cariogenic bacteria were cultured in TSB medium with xylooligosaccharides, galactooligosaccharides, fructooligosaccharide and isomaltooligosaccharide at the different concentrations, and the absorbance, pH, adhesiveness as well as biofilm formation inhibitory activity were measured for 48 h. The effects of different oligosaccharides on bacterial growth, acid production and adhesion were compared and analyzed. The results showed that four oligosaccharides had inhibitory effects on three kinds of cariogenic bacteria, and xylooligosaccharide had the highest inhibitory effect. Xylo-oligosaccharides and galactooligosaccharides at 0.5% concentration could significantly inhibit the acid production of the three cariogenic bacteria. Compared with xylitol and other oligosaccharides, the inhibition rate of xylo-oligosaccharide on the three pathogens was 60% higher when the xylo-oligosaccharide concentration was more than 5%. The adhesion rates of the four oligosaccharides at 7% concentration to the three cariogenic bacteria were all less than 50%. When the concentration of galactooligosaccharides and xylo-oligosaccharide was greater than 5%, the biofilm formation of the three cariogenic bacteria was inhibited well. By comparison with sorbitol, the combination use of xylo-oligosaccharide, xylitol, galactooligosaccharides had more obvious inhibition on the growth of the three pathogenic bacteria.

     

/

返回文章
返回